本文主要是介绍【计算机图形学】直线的两种生成算法(DDA算法、Bresenham算法),希望对大家解决编程问题提供一定的参考价值,需要的开发者们随着小编来一起学习吧!
直线的两种生成算法(DDA算法、Bresenham算法)
文章目录
- 1.计算机绘制直线的原理
- 2.DDA算法的原理与实现(基于matlab)
- 3.Bresenham算法的原理与实现(基于matlab)
1.计算机绘制直线的原理
在计算机中,直线的显示并不是连续的,而是离散的点,这是由光栅化的本质决定 的。我们可以把屏幕理解为阴极射线管光栅显示器,这个显示器是由离散可发光的有线 区域单元(像素)组成的矩阵。确定最佳逼近某直线的像素的过程通常叫做光栅化。对于 水平线、垂直线以及 45°线,选择哪些光栅元素是显而易见的,而对于其他方向的直线, 像素的选择就很困难。因此,选择一个重要的算法来实现直线的绘制显得很有必要。
2.DDA算法的原理与实现(基于matlab)
DDA 算法是直线算法里最为简单的算法,它的基本思想是高数里的微分算法:
d y d x = y 2 − y 1 x 2 − x 1 \frac{\mathrm{d} y}{\mathrm{d} x}=\frac{y_2-y_1}{x_2-x_1} dxdy=x2−x1y2−y1
其有限差分近似解为:
{ x i + 1 = x i + Δ x y i + 1 = y i + y 2 − y 1 x 2 − x 1 Δ x \begin{cases} x_{i+1} = x_i+\varDelta x \\ y_{i+1} = y_i+\frac{y_2-y_1}{x_2-x_1}\varDelta x \end{cases} {xi+1=xi+Δxyi+1=yi+x2−x1y2−y1Δx
根据这个算法,我们可以将某条线段的两个端点作为输入,并利用这两个端点来将此线段进行微分(迭代求值),在每轮迭代中,将微分得到的每个点单独绘制。最终,所有单独绘制的点就构成了我们所需要绘制的直线。
下面给出用matlab实现该算法的完整代码:
function main %测试函数
clc
clear;
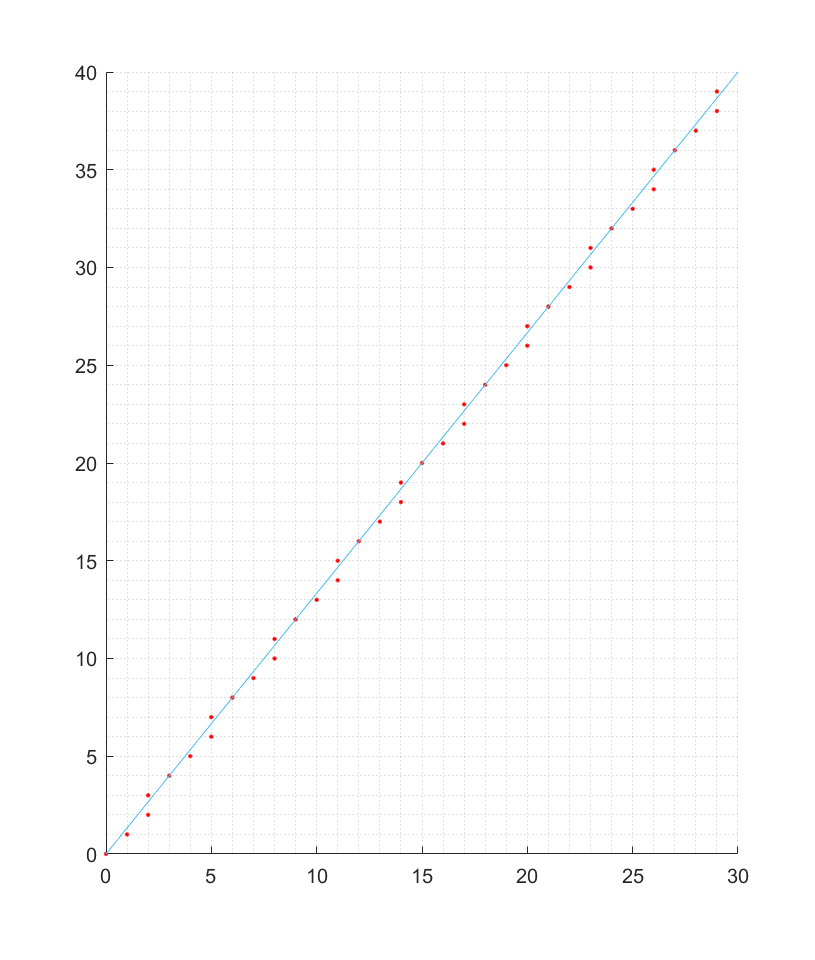
DDA(0,0,30,40,'r') %勾三股四弦五function DDA(x1,y1,x2,y2,color) %DDA算法dx=(x2-x1);dy=(y2-y1);step=max(abs(dx),abs(dy));deltax=dx/step;deltay=dy/step;x=x1;y=y1;hold onfor i=1:stepscatter(round(x),round(y),'.',color) %绘出当前点x=x+deltax; %更新xy=y+deltay; %更新yendplot([x1,x2],[y1,y2]) %直接绘制原线以对比grid minor %添加网格hold off
运行后得到的效果如下:

上图展示的是在给定较短线段时(长度为50个像素),采用DDA算法绘出的直线情形(上图中的红点部分),其中的蓝色线段是这条线段本身(真实线段)
接下来若将该点设置长一些,即将上面的测试代码改为如下:
function main
clc
clear;
DDA(0,0,100,75,'r') %勾三股四弦五
则此时的成像效果如下:

上图中的红点即为DDA算法绘制的给定线段,而其中的黄线则为真实线段
可以发现此时点的密集程度大大增加,成像效果相较于上面也就好一些。
3.Bresenham算法的原理与实现(基于matlab)
原理:
这里仅展示最简单的一种情况(直线斜率在区间 ( 0 , 1 ) (0,1) (0,1) 之间的),其他情况可以类似推导。
设当前像素点为 P ( x p , y p ) P(x_p,y_p) P(xp,yp),下一像素点有两种选择 P 1 P_1 P1 或 P 2 P_2 P2,设 P 1 、 P 2 P_1、P_2 P1、P2 的中点为 M ( x p + 1 , y p + 0.5 ) M(x_{p+1}, y_{p+0.5}) M(xp+1,yp+0.5) , Q Q Q 为所画直线与直线 x = x p + 1 x=x_{p+1} x=xp+1 交点,如下图所示:

当 Q Q Q 在 M M M 上方时,下一像素点取 P 2 P_2 P2;当 Q Q Q 在 M M M 下方时,下一像素点取 P 1 P_1 P1。
实现:
-
首先设待画直线的起点和终点坐标分别为 ( x 1 , y 1 ) , ( x 2 , y 2 ) (x_1,y_1), (x_2,y_2) (x1,y1),(x2,y2),则根据起点和中点坐标可以得到该直线的斜率为 k = y 2 − y 1 x 2 − x 1 k=\frac{y_2-y_1}{x_2-x_1} k=x2−x1y2−y1。我们知道直线方程可以用 F ( x , y ) = a x + b y + c F(x, y)=ax+by+c F(x,y)=ax+by+c 的形式来表达,此时该直线的斜率 k = − a b k=-\frac{a}{b} k=−ba,那也就是说我们可以直接令 a = y 1 − y 2 , b = x 2 − x 1 a=y_1-y_2, b=x_2-x_1 a=y1−y2,b=x2−x1(只要满足商为 − k -k −k 即可)。
此时 F ( x , y ) = x ( y 1 − y 2 ) + y ( x 2 − x 1 ) + c F(x,y)=x(y_1-y_2)+y(x_2-x_1)+c F(x,y)=x(y1−y2)+y(x2−x1)+c,我们再随意带一个点进去(比如 ( x 1 , y 1 ) (x_1, y_1) (x1,y1)),便可求得 c = x 1 y 2 − x 2 y 1 c=x_1y_2-x_2y_1 c=x1y2−x2y1 ,即得到该直线的方程为:
{ F ( x , y ) = a x + b y + c = 0 a = y 1 − y 2 b = x 2 − x 1 c = x 1 y 2 − x 2 y 1 \begin{cases} F(x,y)=ax+by+c=0 \\ a=y_1-y_2 \\ b=x_2-x_1 \\ c=x_1y_2-x_2y_1 \end{cases} ⎩ ⎨ ⎧F(x,y)=ax+by+c=0a=y1−y2b=x2−x1c=x1y2−x2y1 -
对于某个点 ( x , y ) (x,y) (x,y),我们要知道其与直线方程 F ( x , y ) F(x,y) F(x,y) 存在如下关系:
{ F ( x , y ) = 0 , 在直线上 F ( x , y ) > 0 , 在直线上方 F ( x , y ) < 0 , 在直线下方 \begin{cases} F(x,y)=0,& 在直线上 \\ F(x,y)>0,& 在直线上方 \\ F(x,y)<0,& 在直线下方 \\ \end{cases} ⎩ ⎨ ⎧F(x,y)=0,F(x,y)>0,F(x,y)<0,在直线上在直线上方在直线下方
因此,我们可以直接将中点 M ( x p + 1 , y p + 0.5 ) M(x_{p+1},y_{p+0.5}) M(xp+1,yp+0.5) 带入直线方程中:
即 d = F ( x p + 1 , y p + 0.5 ) = a x p + 1 + b y p + 0.5 + c d=F(x_{p+1},y_{p+0.5})=ax_{p+1}+by_{p+0.5}+c d=F(xp+1,yp+0.5)=axp+1+byp+0.5+c,我们就可以根据 d d d 的值来确定下一个像素点:
{ 取 P 1 和 P 2 均可(此处取 P 1 ), d = 0 取 P 1 为下一像素点, d > 0 (表示 M 在直线上方) 取 P 2 为下一像素点, d < 0 (表示 M 在直线下方) \begin{cases} 取 P_1 和 P_2 均可(此处取 P_1),& d=0 \\ 取 P_1为下一像素点,& d>0(表示 M 在直线上方) \\ 取 P_2为下一像素点,& d<0(表示 M 在直线下方) \\ \end{cases} ⎩ ⎨ ⎧取P1和P2均可(此处取P1),取P1为下一像素点,取P2为下一像素点,d=0d>0(表示M在直线上方)d<0(表示M在直线下方)
若设当前像素点为 P ( x p , y p ) P(x_p, y_p) P(xp,yp),我们考虑 d ≥ 0 d\ge0 d≥0 和 d < 0 d<0 d<0 两种情况:
- d ≥ 0 d\ge0 d≥0,此时 P 1 ( x p + 1 , y p ) P_1(x_{p+1}, y_p) P1(xp+1,yp) 为下一像素点,则再下一像素点为 ( x p + 2 , y p + 0.5 ) (x_{p+2}, y_{p+0.5}) (xp+2,yp+0.5):
d ′ = F ( x p + 2 , y p + 0.5 ) = a x p + 2 + b y p + 0.5 + c = a + ( a x p + 1 + b y p + 0.5 + c ) = a + d d'=F(x_{p+2}, y_{p+0.5})=ax_{p+2}+by_{p+0.5}+c=a+(ax_{p+1}+by_{p+0.5}+c)=a+d d′=F(xp+2,yp+0.5)=axp+2+byp+0.5+c=a+(axp+1+byp+0.5+c)=a+d,此时 d ′ = a + d d'=a+d d′=a+d,即增量为 a a a。 - d < 0 d<0 d<0,此时 P 2 ( x p + 1 , y p + 1 ) P_2(x_{p+1}, y_{p+1}) P2(xp+1,yp+1) 为下一像素点,则再下一像素点为 ( x p + 2 , y p + 1.5 ) (x_{p+2}, y_{p+1.5}) (xp+2,yp+1.5) :
d ′ ′ = F ( x p + 2 , y p + 1.5 ) = a x p + 2 + b y p + 1.5 + c = a + b + ( a x p + 1 + b y p + 0.5 + c ) = a + b + d d''=F(x_{p+2}, y_{p+1.5})=ax_{p+2}+by_{p+1.5}+c=a+b+(ax_{p+1}+by_{p+0.5}+c)=a+b+d d′′=F(xp+2,yp+1.5)=axp+2+byp+1.5+c=a+b+(axp+1+byp+0.5+c)=a+b+d,此时 d ′ ′ = a + b + d d''=a+b+d d′′=a+b+d,即增量为 a + b a+b a+b。
- 注意到 d 0 d_0 d0 的初始化是用 ( x 1 , y 0.5 ) (x_1,y_{0.5}) (x1,y0.5) 来计算的:即 d 0 = a + 0.5 b + c d_0=a+0.5b+c d0=a+0.5b+c,且在后面的迭代中, y y y 始终都含有 0.5。而我们在迭代中判断下一个点纵坐标的取值时仅仅与 d d d 值的正负有关,因此为了摆脱浮点数的出现,我们统一将所有 d i d_i di 的计算都使用 2 d i 2d_i 2di 来代替,因此 d 0 = 2 a + b + 2 c d_0=2a+b+2c d0=2a+b+2c,增量 d ′ = 2 a d'=2a d′=2a,增量 d ′ ′ = 2 a + 2 b d''=2a+2b d′′=2a+2b。
下面给出用matlab实现该算法的完整代码:
function main %测试代码
clc
clear;
Bresenham(0,0,50,40,'r')function Bresenham(x1,y1,x2,y2,color) %Bresnham算法a = (y1-y2);b = (x2-x1);c = x1*y2-x2*y1;d=2*a+b+c;d1=2*a;d2=2*(a+b);x=x1;y=y1;hold onscatter(x,y,'.',color)for i=x:x2if d<0x=x+1;y=y+1;d=d+d2;elsex=x+1;d=d+d1;endscatter(x,y,'.',color)endplot([x1,x2],[y1,y2]) %绘制原线以对比grid minorhold off
运行后得到的效果如下:

可以看出,中点算法在 x x x 轴上进行变化时, y y y上的取值严格按照 Bresenham 的原理进行取值。该算法作为数值微分法(DDA)的改进算法,其采用了直线的一般式方程、增量思想、实现整数加法等优化的思路,其成像的主要思想是以贴合直线为中心,使得这样的算法在绘制出的效果上是优于 DDA 算法的。
END
这篇关于【计算机图形学】直线的两种生成算法(DDA算法、Bresenham算法)的文章就介绍到这儿,希望我们推荐的文章对编程师们有所帮助!