本文主要是介绍算法之拓朴排序DFS实现,希望对大家解决编程问题提供一定的参考价值,需要的开发者们随着小编来一起学习吧!
拓朴排序:是指在AOV网中,把所有的点按照它们的逻辑关系排成一个线性的序列,是每个点的前驱都排在它前面,称之为top序列。
常用排序算法有两种,下面为DFS算法实现
一、DFS实现
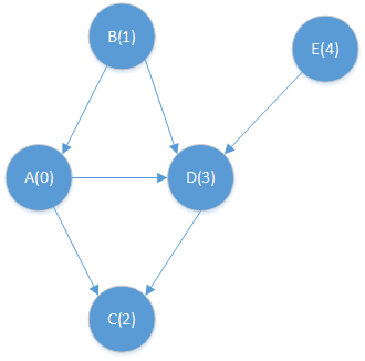
假设树结构如下

链接表表示:

一个vistied数组,表示每个结点是否被访问到
![]()
算法流程如下:
这篇关于算法之拓朴排序DFS实现的文章就介绍到这儿,希望我们推荐的文章对编程师们有所帮助!
本文主要是介绍算法之拓朴排序DFS实现,希望对大家解决编程问题提供一定的参考价值,需要的开发者们随着小编来一起学习吧!
拓朴排序:是指在AOV网中,把所有的点按照它们的逻辑关系排成一个线性的序列,是每个点的前驱都排在它前面,称之为top序列。
常用排序算法有两种,下面为DFS算法实现
一、DFS实现
假设树结构如下

链接表表示:

一个vistied数组,表示每个结点是否被访问到
![]()
算法流程如下:
这篇关于算法之拓朴排序DFS实现的文章就介绍到这儿,希望我们推荐的文章对编程师们有所帮助!
http://www.chinasem.cn/article/832240。
23002807@qq.com