Trans论文 | Proposal Learning用于半监督的目标检测

2023-11-21 02:21

本文主要是介绍Trans论文 | Proposal Learning用于半监督的目标检测,希望对大家解决编程问题提供一定的参考价值,需要的开发者们随着小编来一起学习吧!

春暖

花开

今年的疫情给大家带来了很多的不便,但是我们“计算机视觉战队”依然坚守自己岗位,给关注我们的同学带来新的分享,今年我们大家一起加油!今天我们主要还是说一说目标检测的知识,这个框架主要来源于TRANS顶级期刊。 

概要

这次分享的以半监督目标检测为研究对象,通过对有标签和无标签数据的训练,提高了基于候选的目标检测器(即two-stages目标检测器)的检测精度。然而,由于真值标签的不可用性,在未标记的数据上训练目标检测器是非常重要的。

为了解决这个问题,于是就提出了一个 proposal learning方法从标记和未标记的数据中学习候选的特征和预测。该方法由自监督候选学习模块和基于一致性的候选学习模块组成。在自监督候选学习模块中,分别提出了一个候选位置损失和一个对比损失来学习上下文感知和噪声鲁棒的候选特征;在基于一致性的候选学习模块中,将一致性损失应用于候选的边界框分类和回归预测,以学习噪声稳健的候选特征和预测。

最后,在COCO数据集上对所有可用的有标签和无标签数据进行了实验。结果表明,新方法一致地提高了全监督基线的精度。特别是在结合了数据蒸馏之后,新方法与全监督基线和数据蒸馏基线相比,平均提高AP约2.0%和0.9%。

新框架

 Problem Definition

在半监督目标检测( Semi-Supervised Object Detec-

tion (SSOD) )中,一组标记数据D_l={(I,G)}和一组给出了未标记数据的D_u={I},其中I和G分别表示图像和真值标签。在目标检测中,G由一组具有位置和目标类的对象组成。SSOD的目标是训练目标检测器,包括标记数据D_l和未标记数据D_u。

The Overall Framework

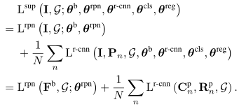
对于每一个标记数据(I,G)∈D_l,根据标准的全监督损失定义训练目标检测器是简单的,如下公式:

其中第二项分别表示RPN损失和R-CNN损失。该损失在反向传播过程中优化θb、θrpn、θr-cnn、θcls、θreg去训练目标检测器。有关损失函数的更多详细信息,请参见:

Shaoqing Ren, Kaiming He, Ross Girshick, and Jian Sun. Faster R-CNN: Towards real-time object detection with region proposal networks. IEEE transactions on pattern analysis and machine intelligence, 39(6):1137–1149, 2017

将上面公式中定义的标准全监督损失应用于标记数据dL,将自监督候选学习损失Lself和基于一致性的候选学习损失Lcons应用于未标记数据dU。通过优化反向传播过程中的损失方程中的θb,θrpn,θr-cnn,θcls,θreg,θself,对目标检测器进行了训练:

然后将总损失写成如下:

 Self-Supervised Proposal Learning

为了计算对比损失,使用instance discrimination作为pretext task:

结合上面的两个公式中的候选位置损失以及对比损失,自监督的候选学习损失写为:

 Consistency-Based Proposal Learning

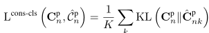
为了进一步训练抗噪声目标检测器,应用一致性损失来确保噪声候选预测与其原始候选预测之间的一致性。更准确地说,将一致性损失应用于边界框分类和回归预测。对于边界框分类预测C的一致性损失,使用KL散度作为损失,以强制噪声候选的类预测及其原始候选一致。

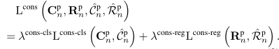
为了进一步确保候选预测的一致性,在下列公式中计算一致性损失,以强制来自噪声候选的目标位置预测及其原始候选一致:

结合上面的两个公式,基于一致性的候选学习损失如下:

实验

如果想加入我们“计算机视觉战队”,请扫二维码加入学习群。计算机视觉战队主要涉及机器学习、深度学习等领域,由来自于各校的硕博研究生组成的团队,主要致力于人脸检测、人脸识别,多目标检测、目标跟踪、图像分割等研究方向。

这篇关于Trans论文 | Proposal Learning用于半监督的目标检测的文章就介绍到这儿,希望我们推荐的文章对编程师们有所帮助!



http://www.chinasem.cn/article/399174

相关文章

C#自动化实现检测并删除PDF文件中的空白页面

《C#自动化实现检测并删除PDF文件中的空白页面》PDF文档在日常工作和生活中扮演着重要的角色,本文将深入探讨如何使用C#编程语言,结合强大的PDF处理库,自动化地检测并删除PDF文件中的空白页面,感... 目录理解PDF空白页的定义与挑战引入Spire.PDF for .NET库核心实现:检测并删除空白页

Python脚本轻松实现检测麦克风功能

《Python脚本轻松实现检测麦克风功能》在进行音频处理或开发需要使用麦克风的应用程序时,确保麦克风功能正常是非常重要的,本文将介绍一个简单的Python脚本,能够帮助我们检测本地麦克风的功能,需要的... 目录轻松检测麦克风功能脚本介绍一、python环境准备二、代码解析三、使用方法四、知识扩展轻松检测麦

Linux系统性能检测命令详解

《Linux系统性能检测命令详解》本文介绍了Linux系统常用的监控命令(如top、vmstat、iostat、htop等)及其参数功能,涵盖进程状态、内存使用、磁盘I/O、系统负载等多维度资源监控,... 目录toppsuptimevmstatIOStatiotopslabtophtopdstatnmon

C++ 检测文件大小和文件传输的方法示例详解

《C++检测文件大小和文件传输的方法示例详解》文章介绍了在C/C++中获取文件大小的三种方法,推荐使用stat()函数,并详细说明了如何设计一次性发送压缩包的结构体及传输流程,包含CRC校验和自动解... 目录检测文件的大小✅ 方法一:使用 stat() 函数(推荐)✅ 用法示例:✅ 方法二:使用 fsee

OpenCV实现实时颜色检测的示例

《OpenCV实现实时颜色检测的示例》本文主要介绍了OpenCV实现实时颜色检测的示例,通过HSV色彩空间转换和色调范围判断实现红黄绿蓝颜色检测,包含视频捕捉、区域标记、颜色分析等功能,具有一定的参考... 目录一、引言二、系统概述三、代码解析1. 导入库2. 颜色识别函数3. 主程序循环四、HSV色彩空间

使用Python实现IP地址和端口状态检测与监控

《使用Python实现IP地址和端口状态检测与监控》在网络运维和服务器管理中,IP地址和端口的可用性监控是保障业务连续性的基础需求,本文将带你用Python从零打造一个高可用IP监控系统,感兴趣的小伙... 目录概述:为什么需要IP监控系统使用步骤说明1. 环境准备2. 系统部署3. 核心功能配置系统效果展

python+opencv处理颜色之将目标颜色转换实例代码

《python+opencv处理颜色之将目标颜色转换实例代码》OpenCV是一个的跨平台计算机视觉库,可以运行在Linux、Windows和MacOS操作系统上,:本文主要介绍python+ope... 目录下面是代码+ 效果 + 解释转HSV: 关于颜色总是要转HSV的掩膜再标注总结 目标:将红色的部分滤

Python如何实现PDF隐私信息检测

《Python如何实现PDF隐私信息检测》随着越来越多的个人信息以电子形式存储和传输,确保这些信息的安全至关重要,本文将介绍如何使用Python检测PDF文件中的隐私信息,需要的可以参考下... 目录项目背景技术栈代码解析功能说明运行结php果在当今,数据隐私保护变得尤为重要。随着越来越多的个人信息以电子形

SpringBoot使用Apache Tika检测敏感信息

《SpringBoot使用ApacheTika检测敏感信息》ApacheTika是一个功能强大的内容分析工具,它能够从多种文件格式中提取文本、元数据以及其他结构化信息,下面我们来看看如何使用Ap... 目录Tika 主要特性1. 多格式支持2. 自动文件类型检测3. 文本和元数据提取4. 支持 OCR(光学

如何用Java结合经纬度位置计算目标点的日出日落时间详解

《如何用Java结合经纬度位置计算目标点的日出日落时间详解》这篇文章主详细讲解了如何基于目标点的经纬度计算日出日落时间,提供了在线API和Java库两种计算方法,并通过实际案例展示了其应用,需要的朋友... 目录前言一、应用示例1、天安门升旗时间2、湖南省日出日落信息二、Java日出日落计算1、在线API2