视觉注意力机制 | 视觉注意力机制用于分类:SENet、CBAM、SKNet

2023-10-29 17:50

本文主要是介绍视觉注意力机制 | 视觉注意力机制用于分类:SENet、CBAM、SKNet,希望对大家解决编程问题提供一定的参考价值,需要的开发者们随着小编来一起学习吧!

点击上方“AI算法修炼营”,选择加星标或“置顶”

标题以下,全是干货

前面的话

上次文章中,我们主要关注了视觉应用中的Self-attention机制及其应用——Non-local网络模块,从最开始的了解什么是视觉注意力机制到对自注意力机制的细节把握,再到Non-local模块的学习。这次的文章我主要来关注视觉注意力机制在分类网络中的应用——SENet、SKNet、CBAM。

我们通常将软注意力机制中的模型结构分为三大注意力域来分析:空间域、通道域、混合域

(1) 空间域——将图片中的的空间域信息做对应的空间变换,从而能将关键的信息提取出来。对空间进行掩码的生成,进行打分,代表是Spatial Attention Module。

(2) 通道域——类似于给每个通道上的信号都增加一个权重,来代表该通道与关键信息的相关度的话,这个权重越大,则表示相关度越高。对通道生成掩码mask,进行打分,代表是senet, Channel Attention Module。

(3) 混合域——空间域的注意力是忽略了通道域中的信息,将每个通道中的图片特征同等处理,这种做法会将空间域变换方法局限在原始图片特征提取阶段,应用在神经网络层其他层的可解释性不强

而通道域的注意力是对一个通道内的信息直接全局平均池化,而忽略每一个通道内的局部信息,这种做法其实也是比较暴力的行为。所以结合两种思路,就可以设计出混合域的注意力机制模型。同时对通道注意力和空间注意力进行评价打分,代表的有BAM, CBAM。

下面,将主要介绍视觉注意力机制在分类网络中的应用。

1 Squeeze-and-Excitation Networks(SENet)

论文地址:https://arxiv.org/abs/1709.01507

代码地址 :https://github.com/hujie-frank/SENet

SENet是Squeeze-and-Excitation Networks的简称,由Momenta公司所作并发于2017CVPR,论文中的SENet赢得了ImageNet最后一届(ImageNet 2017)的图像识别冠军,论文的核心点在对CNN中的feature channel(特征通道依赖性)利用和创新。提出的SE模块思想简单,易于实现,并且很容易可以加载到现有的网络模型框架中。SENet主要是通过显式地建模通道之间的相互依赖关系,自适应地重新校准通道的特征响应,换句话说,就是学习了通道之间的相关性,筛选出了针对通道的注意力,整个网络稍微增加了一点计算量,但是效果比较好。

上图是SENet的Block单元,图中的Ftr是传统的卷积结构,X和U是Ftr的输入(C'xH'xW')和输出(CxHxW),这些都是以往结构中已存在的。

SENet增加的部分是U后的结构:对U先做一个Global Average Pooling(图中的Fsq(.),作者称为Squeeze过程),输出的1x1xC数据再经过两级全连接(图中的Fex(.),作者称为Excitation过程),最后用sigmoid(论文中的self-gating mechanism)限制到[0,1]的范围,把这个值作为scale乘到U的C个通道上, 作为下一级的输入数据。

这种结构的原理是想通过控制scale的大小,把重要的特征增强,不重要的特征减弱,从而让提取的特征指向性更强。

通俗的说就是:通过对卷积的到的feature map进行处理,得到一个和通道数一样的一维向量作为每个通道的评价分数,然后将改分数分别施加到对应的通道上,得到其结果,就在原有的基础上只添加了一个模块。

这是文中给出的一个嵌入Inception结构的一个例子。由(H*W*C)全局平均池化得到(1*1*C),即S步;接着利用两个全连接层和相应的激活函数建模通道之间的相关性,即E步。E步中包含参数r的目的是为了减少全连接层的参数。输出特征通道的权重通过乘法逐通道加权到原来的特征上,得到(H*W*C)的数据,与输入形状完全相同。

基于Pytorch的代码实现:

class SELayer(nn.Module):def __init__(self, channel, reduction=16):super(SELayer, self).__init__()self.avg_pool = nn.AdaptiveAvgPool2d(1)self.fc = nn.Sequential(nn.Linear(channel, channel // reduction, bias=False),nn.ReLU(inplace=True),nn.Linear(channel // reduction, channel, bias=False),nn.Sigmoid())def forward(self, x):b, c, _, _ = x.size()y = self.avg_pool(x).view(b, c)y = self.fc(y).view(b, c, 1, 1)return x * y.expand_as(x)

2. Convolutional Block Attention Module(CBAM)

论文地址:http://openaccess.thecvf.com/content_ECCV_2018/papers/Sanghyun_Woo_Convolutional_Block_Attention_ECCV_2018_paper.pdf

在该论文中,作者研究了网络架构中的注意力,注意力不仅要告诉我们重点关注哪里,还要提高关注点的表示。目标是通过使用注意机制来增加表现力,关注重要特征并抑制不必要的特征。为了强调空间和通道这两个维度上的有意义特征,作者依次应用通道和空间注意模块,来分别在通道和空间维度上学习关注什么、在哪里关注。此外,通过了解要强调或抑制的信息也有助于网络内的信息流动。

上图为整个CBAM的示意图,先是通过注意力机制模块,然后是空间注意力模块,对于两个模块先后顺序对模型性能的影响,本文作者也给出了实验的数据对比,先通道再空间要比先空间再通道以及通道和空间注意力模块并行的方式效果要略胜一筹。

那么这个通道注意力模块和空间注意力模块又是如何实现的呢?

  • 通道注意力模块

这个部分大体上和SENet的注意力模块相同,主要的区别是CBAM在S步采取了全局平均池化以及全局最大池化,两种不同的池化意味着提取的高层次特征更加丰富。接着在E步同样通过两个全连接层和相应的激活函数建模通道之间的相关性,合并两个输出得到各个特征通道的权重。最后,得到特征通道的权重之后,通过乘法逐通道加权到原来的特征上,完成在通道维度上的原始特征重标定。

   

class ChannelAttention(nn.Module):def __init__(self, in_planes, rotio=16):super(ChannelAttention, self).__init__()self.avg_pool = nn.AdaptiveAvgPool2d(1)self.max_pool = nn.AdaptiveMaxPool2d(1)self.sharedMLP = nn.Sequential(nn.Conv2d(in_planes, in_planes // ratio, 1, bias=False), nn.ReLU(),nn.Conv2d(in_planes // rotio, in_planes, 1, bias=False))self.sigmoid = nn.Sigmoid()def forward(self, x):avgout = self.sharedMLP(self.avg_pool(x))maxout = self.sharedMLP(self.max_pool(x))return self.sigmoid(avgout + maxout)		
  • 空间注意力模块

首先输入的是经过通道注意力模块的特征,同样利用了全局平均池化和全局最大池化,不同的是,这里是在通道这个维度上进行的操作,也就是说把所有输入通道池化成2个实数,由(h*w*c)形状的输入得到两个(h*w*1)的特征图。接着使用一个 7*7 的卷积核,卷积后形成新的(h*w*1)的特征图。最后也是相同的Scale操作,注意力模块特征与得到的新特征图相乘得到经过双重注意力调整的特征图。

class SpatialAttention(nn.Module):def __init__(self, kernel_size=7):super(SpatialAttention, self).__init__()assert kernel_size in (3,7), "kernel size must be 3 or 7"padding = 3 if kernel_size == 7 else 1self.conv = nn.Conv2d(2,1,kernel_size, padding=padding, bias=False)self.sigmoid = nn.Sigmoid()def forward(self, x):avgout = torch.mean(x, dim=1, keepdim=True)maxout, _ = torch.max(x, dim=1, keepdim=True)x = torch.cat([avgout, maxout], dim=1)x = self.conv(x)return self.sigmoid(x)	

网络整体代码:

class BasicBlock(nn.Module):expansion = 1def __init__(self, inplanes, planes, stride=1, downsample=None):super(BasicBlock, self).__init__()self.conv1 = conv3x3(inplanes, planes, stride)self.bn1 = nn.BatchNorm2d(planes)self.relu = nn.ReLU(inplace=True)self.conv2 = conv3x3(planes, planes)self.bn2 = nn.BatchNorm2d(planes)self.ca = ChannelAttention(planes)self.sa = SpatialAttention()self.downsample = downsampleself.stride = stridedef forward(self, x):residual = xout = self.conv1(x)out = self.bn1(out)out = self.relu(out)out = self.conv2(out)out = self.bn2(out)out = self.ca(out) * out  # 广播机制out = self.sa(out) * out  # 广播机制if self.downsample is not None:residual = self.downsample(x)out += residualout = self.relu(out)return out		

3 Selective Kernel Networks(SKNet)

论文地址:https://arxiv.org/abs/1903.06586
代码地址:https://github.com/implus/SKNet

Selective Kernel Networks(SKNet)发表在CVPR 2019,是对Momenta发表于CVPR 2018上论文SENet的改进,且这篇的作者中也有Momenta的同学参与。

SENet是对特征图的通道注意力机制的研究,之前的CBAM提到了对特征图空间注意力机制的研究。这里SKNet针对卷积核的注意力机制研究。

不同大小的感受视野(卷积核)对于不同尺度(远近、大小)的目标会有不同的效果。尽管比如Inception这样的增加了多个卷积核来适应不同尺度图像,但是一旦训练完成后,参数就固定了,这样多尺度信息就会被全部使用了(每个卷积核的权重相同)。

SKNet提出了一种机制,即卷积核的重要性,即不同的图像能够得到具有不同重要性的卷积核。

据作者说,该模块在超分辨率任务上有很大提升,并且论文中的实验也证实了在分类任务上有很好的表现。

SKNet对不同图像使用的卷积核权重不同,即一种针对不同尺度的图像动态生成卷积核。整体结构如下图所示:

此图为GiantPandaCV公众号作者根据代码重画的网络图

网络主要由Split、Fuse、Select三部分组成。

  • Split部分是对原特征图经过不同大小的卷积核部分进行卷积的过程,这里可以有多个分支。

对输入X使用不同大小卷积核分别进行卷积操作(图中的卷积核size分别为3x3和5x5两个分支,但是可以有多个分支)。操作包括卷积、efficient grouped/depthwise convolutions、BN。

  • Fuse部分计算每个卷积核权重的部分。

将两部分的特征图按元素求和

U通过全局平均池化(GAP)生成通道统计信息。得到的Sc维度为C * 1

经过全连接生成紧凑的特征z(维度为d * 1), δ是RELU激活函数,B表示批标准化(BN),z的维度为卷积核的个数,W维度为d×C, d代表全连接后的特征维度,L在文中的值为32,r为压缩因子。

  • Select部分是根据不同权重卷积核计算后得到的新的特征图的过程。

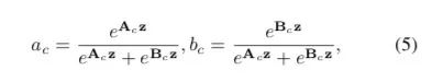
进行softmax计算每个卷积核的权重,计算方式如下图所示。如果是两个卷积核,则 ac + bc = 1。z的维度为(d * 1)A的维度为(C * d),B的维度为(C * d),则a = A x z的维度为1 * C。

Ac、Bc为A、B的第c行数据(1 * d)。ac为a的第c个元素,这样分别得到了每个卷积核的权重。

将权重应用到特征图上。其中V = [V1,V2,...,VC], Vc 维度为(H x W),如果

select中softmax部分可参考下图(3个卷积核)

下图是针对SKNet总结的思维导图,参考地址:https://blog.csdn.net/qq_34784753/article/details/89381947?depth_1-utm_source=distribute.pc_relevant.none-task&utm_source=distribute.pc_relevant.none-task

基于pytorch的代码实现:

class SKConv(nn.Module):def __init__(self, features, WH, M, G, r, stride=1, L=32):super(SKConv, self).__init__()d = max(int(features / r), L)self.M = Mself.features = featuresself.convs = nn.ModuleList([])for i in range(M):# 使用不同kernel size的卷积self.convs.append(nn.Sequential(nn.Conv2d(features,features,kernel_size=3 + i * 2,stride=stride,padding=1 + i,groups=G), nn.BatchNorm2d(features),nn.ReLU(inplace=False)))self.fc = nn.Linear(features, d)self.fcs = nn.ModuleList([])for i in range(M):self.fcs.append(nn.Linear(d, features))self.softmax = nn.Softmax(dim=1)def forward(self, x):for i, conv in enumerate(self.convs):fea = conv(x).unsqueeze_(dim=1)if i == 0:feas = feaelse:feas = torch.cat([feas, fea], dim=1)fea_U = torch.sum(feas, dim=1)fea_s = fea_U.mean(-1).mean(-1)fea_z = self.fc(fea_s)for i, fc in enumerate(self.fcs):print(i, fea_z.shape)vector = fc(fea_z).unsqueeze_(dim=1)print(i, vector.shape)if i == 0:attention_vectors = vectorelse:attention_vectors = torch.cat([attention_vectors, vector],dim=1)attention_vectors = self.softmax(attention_vectors)attention_vectors = attention_vectors.unsqueeze(-1).unsqueeze(-1)fea_v = (feas * attention_vectors).sum(dim=1)return fea_v	

参考:

1.https://blog.csdn.net/xjz18298268521/article/details/79078551

2.https://blog.csdn.net/qq_28454857/article/details/88837601

  3.https://zhuanlan.zhihu.com/p/59690223

4.https://blog.csdn.net/qq_39027890/article/details/86656182

推荐阅读

目标检测系列

  • 秘籍一:模型加速之轻量化网络

  • 秘籍二:非极大值抑制及回归损失优化

  • 秘籍三:多尺度检测

  • 秘籍四:数据增强

  • 秘籍五:解决样本不均衡问题

  • 秘籍六:Anchor-Free

语义分割系列

  • 一篇看完就懂的语义分割综述

面试求职系列

  • 决战春招!算法工程师面试问题及资料超详细合集

一起学C++系列

  • 内存分区模型、引用、函数重载

竞赛与工程项目分享系列

  • 如何让笨重的深度学习模型在移动设备上跑起来

  • 基于Pytorch的YOLO目标检测项目工程大合集

  • 点云配准领域全面资料、课程、数据集合集分享

SLAM系列

  • 视觉SLAM前端:视觉里程计和回环检测

  • 视觉SLAM后端:后端优化和建图模块

视觉注意力机制系列

  • Non-local模块与Self-attention之间的关系与区别?

-END-

扫描个人微信号,

拉你进AI算法修炼营学习交友群。

目标检测、图像分割、自动驾驶、机器人、面试经验

福利满满,名额已不多…

▲长按关注我们

觉得好看对你有帮助,就点个在看吧      

这篇关于视觉注意力机制 | 视觉注意力机制用于分类:SENet、CBAM、SKNet的文章就介绍到这儿,希望我们推荐的文章对编程师们有所帮助!



http://www.chinasem.cn/article/302336

相关文章

JAVA线程的周期及调度机制详解

《JAVA线程的周期及调度机制详解》Java线程的生命周期包括NEW、RUNNABLE、BLOCKED、WAITING、TIMED_WAITING和TERMINATED,线程调度依赖操作系统,采用抢占... 目录Java线程的生命周期线程状态转换示例代码JAVA线程调度机制优先级设置示例注意事项JAVA线程

Java中自旋锁与CAS机制的深层关系与区别

《Java中自旋锁与CAS机制的深层关系与区别》CAS算法即比较并替换,是一种实现并发编程时常用到的算法,Java并发包中的很多类都使用了CAS算法,:本文主要介绍Java中自旋锁与CAS机制深层... 目录1. 引言2. 比较并交换 (Compare-and-Swap, CAS) 核心原理2.1 CAS

Spring Boot 集成 mybatis核心机制

《SpringBoot集成mybatis核心机制》这篇文章给大家介绍SpringBoot集成mybatis核心机制,本文结合实例代码给大家介绍的非常详细,对大家的学习或工作具有一定的参考借鉴价值... 目录Spring Boot浅析1.依赖管理(Starter POMs)2.自动配置(AutoConfigu

Redis的安全机制详细介绍及配置方法

《Redis的安全机制详细介绍及配置方法》本文介绍Redis安全机制的配置方法,包括绑定IP地址、设置密码、保护模式、禁用危险命令、防火墙限制、TLS加密、客户端连接限制、最大内存使用和日志审计等,通... 目录1. 绑定 IP 地址2. 设置密码3. 保护模式4. 禁用危险命令5. 通过防火墙限制访问6.

JAVA实现Token自动续期机制的示例代码

《JAVA实现Token自动续期机制的示例代码》本文主要介绍了JAVA实现Token自动续期机制的示例代码,通过动态调整会话生命周期平衡安全性与用户体验,解决固定有效期Token带来的风险与不便,感兴... 目录1. 固定有效期Token的内在局限性2. 自动续期机制:兼顾安全与体验的解决方案3. 总结PS

详解Spring中REQUIRED事务的回滚机制详解

《详解Spring中REQUIRED事务的回滚机制详解》在Spring的事务管理中,REQUIRED是最常用也是默认的事务传播属性,本文就来详细的介绍一下Spring中REQUIRED事务的回滚机制,... 目录1. REQUIRED 的定义2. REQUIRED 下的回滚机制2.1 异常触发回滚2.2 回

基于Redis自动过期的流处理暂停机制

《基于Redis自动过期的流处理暂停机制》基于Redis自动过期的流处理暂停机制是一种高效、可靠且易于实现的解决方案,防止延时过大的数据影响实时处理自动恢复处理,以避免积压的数据影响实时性,下面就来详... 目录核心思路代码实现1. 初始化Redis连接和键前缀2. 接收数据时检查暂停状态3. 检测到延时过

Redis中哨兵机制和集群的区别及说明

《Redis中哨兵机制和集群的区别及说明》Redis哨兵通过主从复制实现高可用,适用于中小规模数据;集群采用分布式分片,支持动态扩展,适合大规模数据,哨兵管理简单但扩展性弱,集群性能更强但架构复杂,根... 目录一、架构设计与节点角色1. 哨兵机制(Sentinel)2. 集群(Cluster)二、数据分片

深入理解go中interface机制

《深入理解go中interface机制》本文主要介绍了深入理解go中interface机制,文中通过示例代码介绍的非常详细,对大家的学习或者工作具有一定的参考学习价值,需要的朋友们下面随着小编来一起学... 目录前言interface使用类型判断总结前言go的interface是一组method的集合,不

C# async await 异步编程实现机制详解

《C#asyncawait异步编程实现机制详解》async/await是C#5.0引入的语法糖,它基于**状态机(StateMachine)**模式实现,将异步方法转换为编译器生成的状态机类,本... 目录一、async/await 异步编程实现机制1.1 核心概念1.2 编译器转换过程1.3 关键组件解析