本文主要是介绍主要介绍了带导数的初边值问题求解思路——基于向前欧拉法以及Crank-Nicolson法,希望对大家解决编程问题提供一定的参考价值,需要的开发者们随着小编来一起学习吧!
声明
本部分是一个学习笔记,主要内容来自于华冬英老师编写的《微分方程的数值解法与程序实践》。如果觉得内容不错,可自行购买价格良心的官方正版教材。http://www.hxedu.com.cn.上有配套的代码以PPT课件可供免费下载。另外,官方代码均用C语言编写,之后我也会陆陆续续上传自己编写的Python代码。
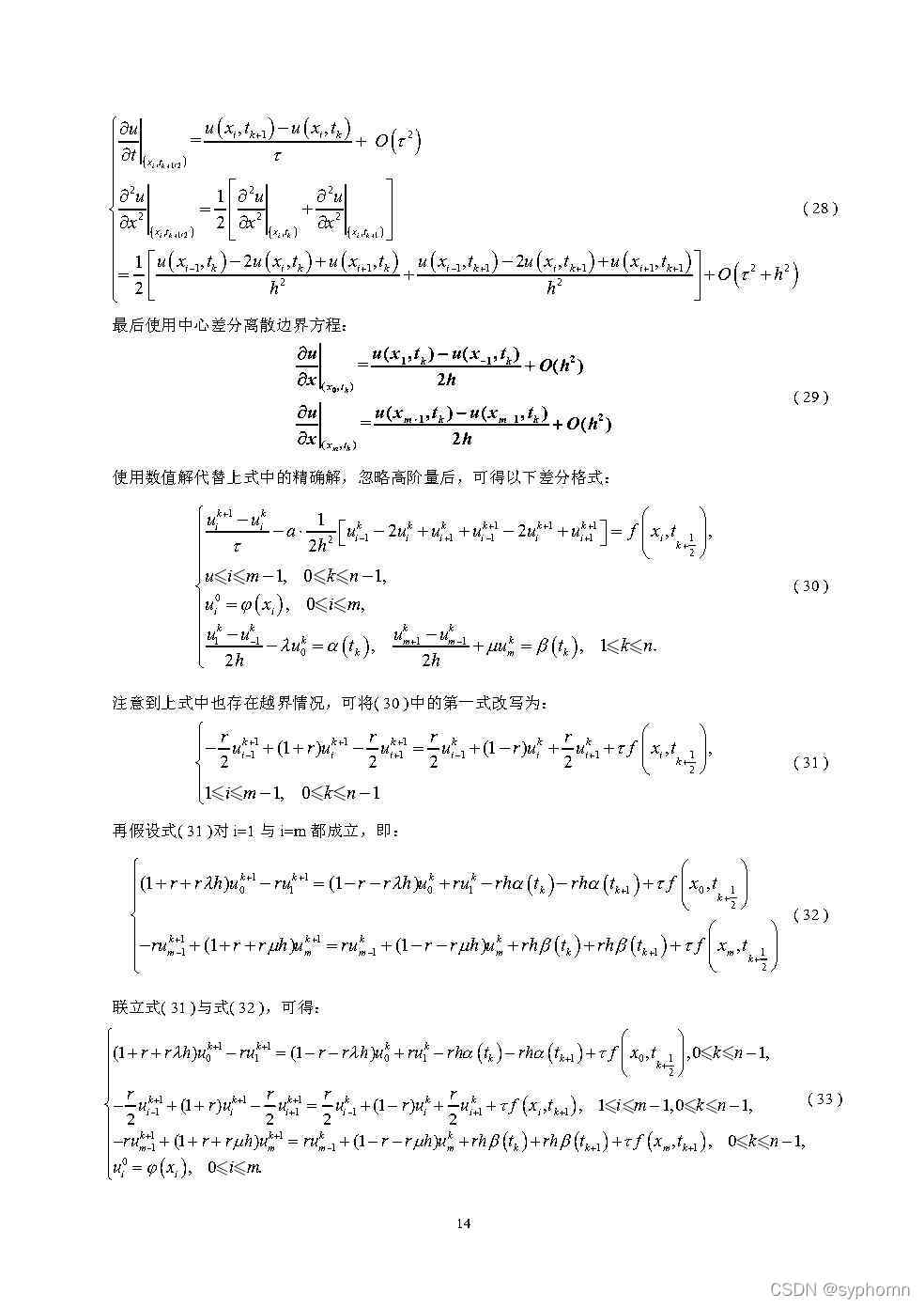
本部分内容公式太多实在懒得敲了,因此以图片形式呈现,基本能满足学习要求。不过也同时上传了文字可复制的PDF版本,内容与图片版本完全一致。感兴趣的话可在https://download.csdn.net/download/liuqihang11/77977634下载,不过需要付费1.99元,请按需下载。






















这篇关于主要介绍了带导数的初边值问题求解思路——基于向前欧拉法以及Crank-Nicolson法的文章就介绍到这儿,希望我们推荐的文章对编程师们有所帮助!