独家 | ​PyMC3 介绍:用于概率编程的Python包

2024-04-13 21:18

本文主要是介绍独家 | ​PyMC3 介绍:用于概率编程的Python包,希望对大家解决编程问题提供一定的参考价值,需要的开发者们随着小编来一起学习吧!

作者:Tung T. Nguye

翻译:王雨桐

校对:廖倩颖

本文约1900字,建议阅读8分钟

本文为你介绍PyMC3原理,并结合一个实际案例教你如何使用包实现计算。

介绍

我们经常从天气预报中听到:明天的降水率是80%。这意味着什么?我们很难直白地解释这种说法,尤其是从概率学派的角度:无限次(或非多次)地重复下雨/不下雨实验是不现实的。

 

贝叶斯方法可以解释这种说法。以下句子摘自《为黑客设计的概率规划与贝叶斯方法》一书,它完美地总结了贝叶斯学派的关键思想之一。

 

贝叶斯世界观将概率解释为事件可信度的量度,即我们对事件发生有多少信心。

 

这意味着在贝叶斯方法中,我们永远不能绝对确定自己的“信念”,但可以肯定表达我们对于相关事件发生有多少信心。此外随着收集到更多数据,我们可以对自己的信念更加信心。

 

作为一名科学家,我被训练着去相信数据,并且对所有事物都很谨慎。所以我认为贝叶斯推理是相当直观的。

 

但是使用贝叶斯推断在计算和概念上通常具有挑战性。完成工作经常需要大量耗时而复杂的数学计算。即使作为数学家,我有时也觉得这些计算很乏味;特别是要快速了解待解决的问题时。

 

幸运的是我的导师AustinRochford最近向我介绍了一个名为PyMC3的程序包,它使我们能够进行数值贝叶斯推理。本文将通过一个具体示例快速介绍PyMC3。

 

一个具体的例子

假设我们有一枚硬币,我们将其翻转三遍,结果是:

[0,1,1]

 

其中0表示硬币背面向上,1表示人头向上。我们有信心说这是一个公平的硬币吗?换句话说,如果让θ为人头向上的概率,那么证据是否足以支持θ= 0.5的说法?

 

由于除了上述实验的结果外,我们对硬币一无所知,因此很难确定地说什么。从概率学派的角度来看,θ的点估计为:

尽管这个数字是合理的,但是概率学派的方法并不能真正为它提供一定的信心置信。特别是如果我们进行更多试验,则可能会得到不同的θ点估计。

 

这是贝叶斯方法可以提供一些改进的地方。这个想法很简单,因为我们对θ一无所知,因此可以假设θ可以是[0,1]上的任何值。在数学上,我们的先验信念是θ遵循均匀分布Uniform(0,1)分布。悄悄提醒需要复习数学的同学,Uniform(0,1)的pdf如下:

 

然后我们可以使用证据/观察来更新我们关于θ分布的信念。

 

让我们正式将D称为证据(我们的例子中是抛硬币的结果。)根据贝叶斯规则,后验分布可通过以下公式计算:

其中p(D |θ)是似然函数,p(θ)是先验分布(在这种情况下,为Uniform(0,1))从这里开始有两种方法。

 

显式方法

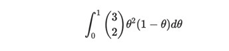
在这个特定示例中,我们可以手动完成所有操作。更准确地说,给定θ三个抛硬币中有2个人头向上的概率为:

通过假设,p(θ)= 1。接下来,我们计算分母:

通过一些简单计算,我们可以看到上述积分等于1/4,因此:

注意:通过相同的计算,我们还可以看到,如果θ的先验分布是参数为α,β的Beta分布,即p(θ)= B(α,β),并且样本大小为N,k它们是人头向上的次数,则θ的后验分布由B(α+ k,β+ N-K)给出。在我们的案例下,α=β= 1,N = 3,k = 2。

量化方法

在显式方法中,我们能够使用共轭先验来显式计算θ的后验分布。但有时使用共轭先验来简化计算,它们可能无法反映现实。此外找到共轭先验并不总是可行的。

 

我们可以通过使用马尔可夫链蒙特卡洛(MCMC)方法来近似后验分布来克服此问题。这里的数学计算很多,但是出于本文目的,我们不会深入探讨。我们将侧重解释如何使用PyMC3实现此方法。

 

运行代码前,我们导入以下软件包。

import pymc3 as pm
import scipy.stats as stats
import pandas as pd
import matplotlib.pyplot as plt
import numpy as np
%matplotlib inline
from IPython.core.pylabtools import figsize

首先我们需要初始化θ的先验分布。在PyMC3中,可以通过以下代码来实现。

with pm.Model() as model:
theta=pm.Uniform('theta',lower=0, upper=1)

 

然后我们将模型与观测数据拟合。这可以通过以下代码完成。

occurrences=np.array([1,1,0]) #our observation 
with model:obs=pm.Bernoulli("obs", p,observed=occurrences) #input the observationsstep=pm.Metropolis()trace=pm.sample(18000, step=step)burned_trace=trace[1000:]

在内部计算逻辑上,PyMC3使用Metropolis-Hastings算法来近似后验分布。Trace功能确定从后验分布中抽取的样本数。最后由于该算法在开始时可能不稳定,因此在经过一定的迭代周期后,提取的样本更有用。这就是我们代码最后一行的目的。

 

然后,我们可以绘制从后验分布获得的样本的直方图,并将其与真实密度函数进行比较。

from IPython.core.pylabtools import figsize
p_true=0.5
figsize(12.5, 4)
plt.title(r"Posterior distribution of$\theta$")
plt.vlines(p_true,0, 2, linestyle='--',label=r"true $\theta$ (unknown)", color='red')
plt.hist(burned_trace["theta"],bins=25, histtype='stepfilled', density=True, color='#348ABD')
x=np.arange(0,1.04,0.04)
plt.plot(x, 12*x*x*(1-x), color='black')
plt.legend()
plt.show()

我们可以清楚地看到,数值逼近非常接近真实的后验分布。

 

如果我们增加样本容量?

如前所述,获得的数据越多,我们对θ的真实值的信心就越大。让我们通过一个简单的模拟来检验我们的假设。

 

我们将随机抛硬币1000次,使用PyMC3估算θ的后验分布。然后绘制从该分布获得样本的直方图。所有这些步骤都可以通过以下代码来完成:

N=1000 #the number of samples
occurences=np.random.binomial(1, p=0.5, size=N)
k=occurences.sum() #the number of head#fit the observed data 
with pm.Model() as model1:theta=pm.Uniform('theta', lower=0,upper=1)with model1:obs=pm.Bernoulli("obs",theta, observed=occurrences)step=pm.Metropolis()trace=pm.sample(18000, step=step)burned_trace1=trace[1000:]
#plot the posterior distribution of theta.p_true=0.5
figsize(12.5, 4)
plt.title(r"Posterior distribution of $\theta for sample sizeN=1000$")
plt.vlines(p_true,0, 25, linestyle='--', label="true $\theta$(unknown)", color='red')
plt.hist(burned_trace1["theta"], bins=25, histtype='stepfilled',density=True, color='#348ABD')
plt.legend()
plt.show()

 

下图为我们得到的结果:

如图所示,后验分布现在以θ的真实值为中心。

我们可以通过取样本均值来估算θ。

 

burned_trace1['theta'].mean()
0.4997847718651745

 

这确实接近真实答案。

 

结论

PyMC3可以很好地执行统计推断任务,它使概率编程变得相当轻松。

 

参考资料:

[1] https://github.com/CamDavidsonPilon/Probabilistic-Programming-and-Bayesian-Methods-for-Hackers

原文标题:

Introduction to PyMC3: A Python package forprobabilistic programming

原文链接:

https://towardsdatascience.com/introduction-to-pymc3-a-python-package-for-probabilistic-programming-5299278b428

编辑:黄继彦

校对:林亦霖

译者简介

王雨桐,统计学在读,数据科学硕士预备,跑步不停,弹琴不止。梦想把数据可视化当作艺术,目前日常是摸着下巴看机器学习。

翻译组招募信息

工作内容:需要一颗细致的心,将选取好的外文文章翻译成流畅的中文。如果你是数据科学/统计学/计算机类的留学生,或在海外从事相关工作,或对自己外语水平有信心的朋友欢迎加入翻译小组。

你能得到:定期的翻译培训提高志愿者的翻译水平,提高对于数据科学前沿的认知,海外的朋友可以和国内技术应用发展保持联系,THU数据派产学研的背景为志愿者带来好的发展机遇。

其他福利:来自于名企的数据科学工作者,北大清华以及海外等名校学生他们都将成为你在翻译小组的伙伴。

点击文末“阅读原文”加入数据派团队~

转载须知

如需转载,请在开篇显著位置注明作者和出处(转自:数据派ID:DatapiTHU),并在文章结尾放置数据派醒目二维码。有原创标识文章,请发送【文章名称-待授权公众号名称及ID】至联系邮箱,申请白名单授权并按要求编辑。

发布后请将链接反馈至联系邮箱(见下方)。未经许可的转载以及改编者,我们将依法追究其法律责任。

点击“阅读原文”拥抱组织

这篇关于独家 | ​PyMC3 介绍:用于概率编程的Python包的文章就介绍到这儿,希望我们推荐的文章对编程师们有所帮助!



http://www.chinasem.cn/article/901240

相关文章

Python+FFmpeg实现视频自动化处理的完整指南

《Python+FFmpeg实现视频自动化处理的完整指南》本文总结了一套在Python中使用subprocess.run调用FFmpeg进行视频自动化处理的解决方案,涵盖了跨平台硬件加速、中间素材处理... 目录一、 跨平台硬件加速:统一接口设计1. 核心映射逻辑2. python 实现代码二、 中间素材处

python中的flask_sqlalchemy的使用及示例详解

《python中的flask_sqlalchemy的使用及示例详解》文章主要介绍了在使用SQLAlchemy创建模型实例时,通过元类动态创建实例的方式,并说明了如何在实例化时执行__init__方法,... 目录@orm.reconstructorSQLAlchemy的回滚关联其他模型数据库基本操作将数据添

Python实现快速扫描目标主机的开放端口和服务

《Python实现快速扫描目标主机的开放端口和服务》这篇文章主要为大家详细介绍了如何使用Python编写一个功能强大的端口扫描器脚本,实现快速扫描目标主机的开放端口和服务,感兴趣的小伙伴可以了解下... 目录功能介绍场景应用1. 网络安全审计2. 系统管理维护3. 网络故障排查4. 合规性检查报错处理1.

Python轻松实现Word到Markdown的转换

《Python轻松实现Word到Markdown的转换》在文档管理、内容发布等场景中,将Word转换为Markdown格式是常见需求,本文将介绍如何使用FreeSpire.DocforPython实现... 目录一、工具简介二、核心转换实现1. 基础单文件转换2. 批量转换Word文件三、工具特性分析优点局

Python中4大日志记录库比较的终极PK

《Python中4大日志记录库比较的终极PK》日志记录框架是一种工具,可帮助您标准化应用程序中的日志记录过程,:本文主要介绍Python中4大日志记录库比较的相关资料,文中通过代码介绍的非常详细,... 目录一、logging库1、优点2、缺点二、LogAid库三、Loguru库四、Structlogphp

C++,C#,Rust,Go,Java,Python,JavaScript的性能对比全面讲解

《C++,C#,Rust,Go,Java,Python,JavaScript的性能对比全面讲解》:本文主要介绍C++,C#,Rust,Go,Java,Python,JavaScript性能对比全面... 目录编程语言性能对比、核心优势与最佳使用场景性能对比表格C++C#RustGoJavapythonjav

Python海象运算符:=的具体实现

《Python海象运算符:=的具体实现》海象运算符又称​​赋值表达式,Python3.8后可用,其核心设计是在表达式内部完成变量赋值并返回该值,从而简化代码逻辑,下面就来详细的介绍一下如何使用,感兴趣... 目录简介​​条件判断优化循环控制简化​推导式高效计算​正则匹配与数据提取​性能对比简介海象运算符

python项目环境切换的几种实现方式

《python项目环境切换的几种实现方式》本文主要介绍了python项目环境切换的几种实现方式,文中通过示例代码介绍的非常详细,对大家的学习或者工作具有一定的参考学习价值,需要的朋友们下面随着小编来一... 目录1. 如何在不同python项目中,安装不同的依赖2. 如何切换到不同项目的工作空间3.创建项目

python项目打包成docker容器镜像的两种方法实现

《python项目打包成docker容器镜像的两种方法实现》本文介绍两种将Python项目打包为Docker镜像的方法,文中通过示例代码介绍的非常详细,对大家的学习或者工作具有一定的参考学习价值,需要... 目录简单版:(一次成功,后续下载对应的软件依赖)第一步:肯定是构建dockerfile,如下:第二步

Python + Streamlit项目部署方案超详细教程(非Docker版)

《Python+Streamlit项目部署方案超详细教程(非Docker版)》Streamlit是一款强大的Python框架,专为机器学习及数据可视化打造,:本文主要介绍Python+St... 目录一、针对 Alibaba Cloud linux/Centos 系统的完整部署方案1. 服务器基础配置(阿里