本文主要是介绍308. 区域和检索 - 数组可修改——从具体案例中讲解线段树的构造、更新,希望对大家解决编程问题提供一定的参考价值,需要的开发者们随着小编来一起学习吧!
给你一个数组 nums ,请你完成两类查询。
- 其中一类查询要求 更新 数组
nums下标对应的值 - 另一类查询要求返回数组
nums中索引left和索引right之间( 包含 )的nums元素的 和 ,其中left <= right
实现 NumArray 类:
NumArray(int[] nums)用整数数组nums初始化对象void update(int index, int val)将nums[index]的值 更新 为valint sumRange(int left, int right)返回数组nums中索引left和索引right之间( 包含 )的nums元素的 和 (即,nums[left] + nums[left + 1], ..., nums[right])
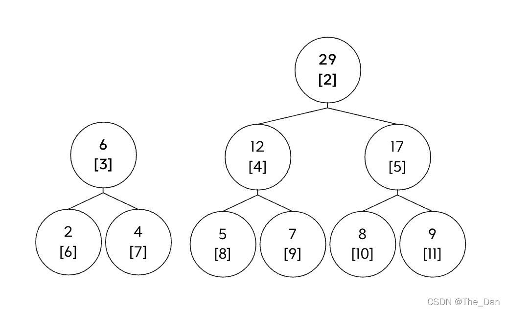
首先是线段树的构建如图所示:
步骤1:将原数组中的元素排列到新数组的后半部分
for(int i = size, j = 0; i < 2 * size; ++i, ++j){tree[i] = nums[j];}

步骤2:两两计算父节点的值,由序号 / 2决定是否父节点相同
例如:6 / 2 == 7 / 2,所以元素2和元素4属于同一个父节点(新增的元素6)
下方虽然有三个图,但其实都属于同一个循环中的代码
for(int i = size - 1; i > 0; --i){ //tree[0]不使用tree[i] = tree[i * 2] + tree[i * 2 + 1];}



接下来是线段树的更新:
同样采用从最底层进行更新,例如我们把样例中的元素8改为元素10

如图所示,对元素8及其父节点的值都进行了更新。
但是我们会面临2个问题:
-
如何对元素8进行更新
元素8其实很容易更新,因为样例中会告诉我们8在原数组中所在的位置index以及我们可以计算出原数组长度size,本样例中,8的序号为10 = index(4,从零开始) + size(6)。
-
如何对父节点进行更新
线段树很容易看出是一个类完全二叉树,即子节点与父节点之间存在倍数关系(n,2n,2n+1)。
那么我们只需要对序号不断的除以2,可能遍历所有父节点,采用右移更加快速。
此处其实还有一个小分叉口,我看到许多方法是tree[n] = tree[n * 2] + tree[n * 2 + 1]才更新父节点的值,但我觉得算出更新元素的差值,然后让父节点们与差值进行相加更快一点。
void update(int index, int val) {int n = index + size;int diff = val - tree[n];tree[n] = val;//不断更新父节点while(n >> 1 > 0){n >>= 1;tree[n] += diff;}}
最后是算出范围内的元素总和
我们已经构建好线段树了,那么只需要找到各个所在子树中最高的节点进行相加即可。
![[外链图片转存失败,源站可能有防盗链机制,建议将图片保存下来直接上传(img-6Q49VrcQ-1645526743869)(https://secure2.wostatic.cn/static/j6L8zy4D5Be8hafnCUp2tk/image.png)]](https://img-blog.csdnimg.cn/b47451be16794ac2be9da6927f9eca47.png?x-oss-process=image/watermark,type_d3F5LXplbmhlaQ,shadow_50,text_Q1NETiBAVGhlX0Rhbg==,size_20,color_FFFFFF,t_70,g_se,x_16)
例如在图示中求[1,4]的和,即4+5+7+8。我们找到各个所在子树中最高的节点,在此处是4+12+8。
即同时包含左右孩子节点的时候,去找他们父节点。
那么算法是怎么进行的呢?
我们可以发现,只有最左端和最右端可能存在他们的父节点只有一个孩子的情况。
//如果左序号%2 == 1说明只包含该部分子树的右节点//那么就不能通过父节点来计算和,只能直接加该节点的和if(left % 2 == 1){sum += tree[left];left++; //上面已经将该部分子树唯一的节点已经加上了,直接右移看右半边的子树}//如果右序号%2 == 0说明只包含该部分子树的左节点//同理只能直接加该节点的和if(right % 2 == 0){sum += tree[right];right--; //同理直接看左半边子树}
先将单节点的值加入总和,然后左节点向右移动、右节点向左移动(分情况而定)
这样可以在不疏忽单节点的情况下保证接下来在[left, right]之间是两两配对的
left >>= 1;right >>= 1;
然后进入他们的父节点重复上述操作,最后就能得到各个所在子树中最高的节点的和了
最后附上全部的代码:
class NumArray {
public:vector<int> tree;int size; //nums有n个元素,那么树的节点应该有2n - 1个//线段树的构造//线段树是完全二叉树NumArray(vector<int>& nums) {size = nums.size();tree.resize(2 * size);//先处理最后一层for(int i = size, j = 0; i < 2 * size; ++i, ++j){tree[i] = nums[j];}//然后慢慢更新父节点//可以参考完全二叉树的构建中父节点与子节点的关系,第222题for(int i = size - 1; i > 0; --i){ //tree[0]不使用tree[i] = tree[i * 2] + tree[i * 2 + 1];}}//更新值void update(int index, int val) {int n = index + size;int diff = val - tree[n];tree[n] = val;//不断更新父节点while(n >> 1 > 0){n >>= 1;tree[n] += diff;}}//返回总和int sumRange(int left, int right) {int sum = 0;left += size;right += size;while(left <= right){//如果左序号%2 == 1说明只包含该部分子树的右节点//那么就不能通过父节点来计算和,只能直接加该节点的和if(left % 2 == 1){sum += tree[left];left++; //上面已经将该部分子树唯一的节点已经加上了,直接右移看右半边的子树}//如果右序号%2 == 0说明只包含该部分子树的左节点//同理只能直接加该节点的和if(right % 2 == 0){sum += tree[right];right--; //同理直接看左半边子树}left >>= 1;right >>= 1;}return sum;}
};
这篇关于308. 区域和检索 - 数组可修改——从具体案例中讲解线段树的构造、更新的文章就介绍到这儿,希望我们推荐的文章对编程师们有所帮助!