本文主要是介绍HYSBZ-2660最多的方案-齐肯多夫定理+dp,希望对大家解决编程问题提供一定的参考价值,需要的开发者们随着小编来一起学习吧!
最多的方案 HYSBZ - 2660
现在给一个正整数 n,它可以写成一些斐波那契数的和的形式。如果我们要求不同的方案中不能有相同的斐波那契数,那么对一个 n 最多可以写出多少种方案呢?
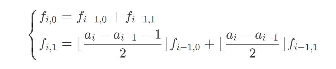
考虑将数n分解成齐肯多夫形式,然后拆分成段逐位向下分解,显然每一段的贡献是坐标差/2向下取整。因为可能会出现段之间的0影响实际分解情况,所以用dp记录一下每个位置有没有分解。
递推式:

#include <bits/stdc++.h>#define ll long long
using namespace std;
const int maxn = 110;
ll f[maxn];
int pos[maxn], g[maxn][2];int main() {ll n;cin >> n;f[1] = 1, f[2] = 2;int m;for (m = 3; f[m - 1] <= n; m++)f[m] = f[m - 1] + f[m - 2];
// cout << cnt <<' '<<f[cnt-1];//84 160500643816367088--m;//齐肯多夫分解int cnt = 0;for (int i = m; i >= 1; i--)if (n >= f[i]) {n -= f[i];pos[++cnt] = i;}sort(pos + 1, pos + 1 + cnt);//dpg[1][1] = 1, g[1][0] = pos[1] - 1 >> 1;for (int i = 2; i <= cnt; i++) {g[i][1] = g[i - 1][0] + g[i - 1][1];g[i][0] = g[i - 1][0] * (pos[i] - pos[i - 1] >> 1) + g[i - 1][1] * (pos[i] - pos[i - 1] - 1 >> 1);}cout << g[cnt][0] + g[cnt][1];}
这篇关于HYSBZ-2660最多的方案-齐肯多夫定理+dp的文章就介绍到这儿,希望我们推荐的文章对编程师们有所帮助!