本文主要是介绍【目标检测】基于matlab GUI差分法运动目标检测【含Matlab源码 1284期】,希望对大家解决编程问题提供一定的参考价值,需要的开发者们随着小编来一起学习吧!
✅博主简介:热爱科研的Matlab仿真开发者,修心和技术同步精进,Matlab项目合作可私信。
🍎个人主页:海神之光
🏆代码获取方式:
海神之光Matlab王者学习之路—代码获取方式
⛳️座右铭:行百里者,半于九十。
更多Matlab仿真内容点击👇
Matlab图像处理(进阶版)
路径规划(Matlab)
神经网络预测与分类(Matlab)
优化求解(Matlab)
语音处理(Matlab)
信号处理(Matlab)
车间调度(Matlab)
⛄一、运动目标检测简介
0 引言
近些年来,运动目标的检测,尤其是运动车辆的检测的发展和应用非常广泛。运动目标检测就是从图像序列中检测出运动目标。目前,运动目标的检测主要方法有背景差分法、帧间差分法、光流法3种。本文对视频中动态场景的运动车辆进行实时检测,解决目标轮廓缺失、背景无法实时更新的问题。
1 帧间差分法
1.1 二帧间差分法
帧间差分法是基于运动图像序列中相邻两帧图像间具有强相关性而提出的检测方法,这种检测方法对光照变化不敏感,非常适合动态变化的环境,而且运算简单,检测速度快,车辆定位准确,适用于实时性要求较高的场景。
传统的帧间差分法,即二帧间差分法的基本原理如下:

式中:Gk(x,y)——结果图像;Pk(x,y)——第k帧图像;Pk-1(x,y)——第k-1帧图像。
由于摄像机采集的视频图像具有连续性的特点,如果场景内不存在运动的物体,则连续帧之间的变化很微弱,如果存在运动目标,则变化较明显。二帧间差分法算法简单,受光线影响小,但它仍然存在以下几个缺点:首先,它不能检测出静止或运动速度过慢的物体,对于高速运动的物体又会使得分割区域远远大于真实目标,其分割区域与目标运动速度相关;其次,如果物体内部的灰度比较均匀,相邻帧差可能在目标重叠部分形成空洞,严重时造成分割结果不连通,不利于进一步的物体分析与识别。
因此,本文提出了改进的三帧间差分法来解决传统帧间差分法中存在的问题。
1.2 三帧间差分法
当目标物体运动速度过快时,二帧间差分法所得图像便会出现重影、目标区域过大等问题,因此,提出了三帧间差分法来改善图像的处理效果。其基本原理是把原来利用两帧获取结果图像的方法,改进为利用相邻三帧来实现目标的检测。其流程图如图1所示。

图1 三帧间差分法流程图
首先,分别得到第k帧与k-1帧的差分图和第k+1帧与k帧的差分图,然后将灰度图像转化为二值图像,最后将所得的二值差值图进行“与”运算得到最终的结果。
其公式原理如下:

式中:Gk(x,y)——结果图像;Pk(x,y)——第k帧图像;Pk-1(x,y)——第k-1帧图像;Pk+1(x,y)——第k+1帧图像。
在帧间差分法中,阈值T的选择非常重要。如果阈值T选取的值太小,则无法抑制差分图像中的噪声;如果阈值T选取的值太大,又有可能掩盖差分图像中目标的部分信息;而且,固定的阈值T无法适应场景中光线变化等情况。
为了使运动目标与背景之间的差异更加明显,使用最大类间方差法(也叫Otsu算法)来实现这一目标。该算法是在灰度直方图的基础上采用最小二乘法原理推导出来的,具有统计意义上的最佳分割。它的基本原理是以最佳阈值将图像的灰度值分割成两部分,使两部分之间的方差最大,即具有最大的分离性。
2 背景差分法
背景差分法首先选取背景中的一幅或几幅图像的平均作为背景图像,然后把以后的序列图像当前帧和背景图像相减,进行背景消去。若所得到的像素数大于某一阈值,则为运动目标区域,反之则为背景区域。其对复杂背景下的运动物体检测效果较好,计算量小。缺点是受光线、天气等外界条件的影响较大。
2.1 混合高斯背景建模
混合高斯背景建模是基于像素样本统计信息的背景表示方法,利用像素在较长时间内大量样本值的概率密度等统计信息(如模式数量、每个模式的均值和标准差)表示背景,然后使用统计差分(如3σ原则)进行目标像素判断,可以对复杂动态背景进行建模,计算量较大。
在混合高斯背景模型中,认为像素之间的颜色信息互不相关,对各像素点的处理都是相互独立的。对于视频图像中的每一个像素点,其值在序列图像中的变化可看作是不断产生像素值的随机过程,即用高斯分布来描述每个像素点的颜色呈现规律(单模态(单峰),多模态(多峰))。
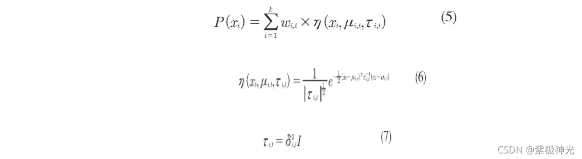
对于多峰高斯分布模型,图像的每一个像素点按不同权值的多个高斯分布的叠加来建模,每种高斯分布对应一个可能产生像素点所呈现颜色的状态,各个高斯分布的权值和分布参数随时间更新。当处理彩色图像时,假定图像像素点R,G,B三色通道相互独立并具有相同的方差。对于随机变量X的观测数据集{x1,x2,…,xN},xt=(rt,gt,bt)为t时刻像素的样本,则单个采样点xt其服从的混合高斯分布概率密度函数:

式中:k——分布模式总数;η(xt,μi,t,τi,t)——t时刻第i个高斯分布;μi,t——其均值;τi,t——其协方差矩阵;δi,t——方差;I——三维单位矩阵;wi,t——t时刻第i个高斯分布的权重。
2.2 参数设定
每个新像素值xt同当前k个模型按式(8)进行比较,直到找到匹配新像素值的分布模型,即同该模型的均值偏差在2.5σ内:

若所匹配的模式符合背景要求,则该像素属于背景,否则属于前景。各模式权值按式(9)更新,其中α是学习速率,对于匹配的模式Mk,t=1,否则Mk,t=0,然后各模式使得权重进行归一化:

若未匹配成功,其均值μ和标准差σ均不变,匹配模式按式(10)—式(12)更新:

⛄二、部分源代码
function varargout = object_detect(varargin)
% OBJECT_DETECT MATLAB code for object_detect.fig
% OBJECT_DETECT, by itself, creates a new OBJECT_DETECT or raises the existing
% singleton*.
%
% H = OBJECT_DETECT returns the handle to a new OBJECT_DETECT or the handle to
% the existing singleton*.
%
% OBJECT_DETECT(‘CALLBACK’,hObject,eventData,handles,…) calls the local
% function named CALLBACK in OBJECT_DETECT.M with the given input arguments.
%
% OBJECT_DETECT(‘Property’,‘Value’,…) creates a new OBJECT_DETECT or raises the
% existing singleton*. Starting from the left, property value pairs are
% applied to the GUI before object_detect_OpeningFcn gets called. An
% unrecognized property name or invalid value makes property application
% stop. All inputs are passed to object_detect_OpeningFcn via varargin.
%
% *See GUI Options on GUIDE’s Tools menu. Choose “GUI allows only one
% instance to run (singleton)”.
%
% See also: GUIDE, GUIDATA, GUIHANDLES
% Edit the above text to modify the response to help object_detect
% Last Modified by GUIDE v2.5 16-May-2021 08:41:00
% Begin initialization code - DO NOT EDIT
gui_Singleton = 1;
gui_State = struct(‘gui_Name’, mfilename, …
‘gui_Singleton’, gui_Singleton, …
‘gui_OpeningFcn’, @object_detect_OpeningFcn, …
‘gui_OutputFcn’, @object_detect_OutputFcn, …
‘gui_LayoutFcn’, [] , …
‘gui_Callback’, []);
if nargin && ischar(varargin{1})
gui_State.gui_Callback = str2func(varargin{1});
end
if nargout
[varargout{1:nargout}] = gui_mainfcn(gui_State, varargin{:});
else
gui_mainfcn(gui_State, varargin{:});
end
% End initialization code - DO NOT EDIT
% — Executes just before object_detect is made visible.
function object_detect_OpeningFcn(hObject, eventdata, handles, varargin)
% This function has no output args, see OutputFcn.
% hObject handle to figure
% eventdata reserved - to be defined in a future version of MATLAB
% handles structure with handles and user data (see GUIDATA)
% varargin command line arguments to object_detect (see VARARGIN)
% Choose default command line output for object_detect
handles.output = hObject;
% Update handles structure
guidata(hObject, handles);
% UIWAIT makes object_detect wait for user response (see UIRESUME)
% uiwait(handles.figure1);
% — Outputs from this function are returned to the command line.
function varargout = object_detect_OutputFcn(hObject, eventdata, handles)
% varargout cell array for returning output args (see VARARGOUT);
% hObject handle to figure
% eventdata reserved - to be defined in a future version of MATLAB
% handles structure with handles and user data (see GUIDATA)
% Get default command line output from handles structure
varargout{1} = handles.output;
% — Executes on button press in pushbutton1.
function pushbutton1_Callback(hObject, eventdata, handles)
% hObject handle to pushbutton1 (see GCBO)
% eventdata reserved - to be defined in a future version of MATLAB
% handles structure with handles and user data (see GUIDATA)
[filename, pathname] = uigetfile({‘.avi’; '.mp4’},‘打开视频’);
str = [pathname filename];
set(handles.edit1, ‘String’, str);
function edit1_Callback(hObject, eventdata, handles)
% hObject handle to edit1 (see GCBO)
% eventdata reserved - to be defined in a future version of MATLAB
% handles structure with handles and user data (see GUIDATA)
% Hints: get(hObject,‘String’) returns contents of edit1 as text
% str2double(get(hObject,‘String’)) returns contents of edit1 as a double
% — Executes during object creation, after setting all properties.
function edit1_CreateFcn(hObject, eventdata, handles)
% hObject handle to edit1 (see GCBO)
% eventdata reserved - to be defined in a future version of MATLAB
% handles empty - handles not created until after all CreateFcns called
% Hint: edit controls usually have a white background on Windows.
% See ISPC and COMPUTER.
if ispc && isequal(get(hObject,‘BackgroundColor’), get(0,‘defaultUicontrolBackgroundColor’))
set(hObject,‘BackgroundColor’,‘white’);
end
% — Executes on button press in pushbutton2.
function pushbutton2_Callback(hObject, eventdata, handles)
% hObject handle to pushbutton2 (see GCBO)
% eventdata reserved - to be defined in a future version of MATLAB
% handles structure with handles and user data (see GUIDATA)
videoName = get(handles.edit1, ‘String’);
videoSource = vision.VideoFileReader(videoName,…
‘ImageColorSpace’, ‘RGB’, ‘VideoOutputDataType’, ‘uint8’);
videoInfo = info(videoSource);
videoRate = videoInfo.VideoFrameRate;
waitTime = 1.0/videoRate;
frame_last = rgb2gray(step(videoSource));
count = 1
global exit_flag;
global pause_flag;
exit_flag = false;
pause_flag = false;
while ~isDone(videoSource) && ~exit_flag
if pause_flag
uiwait(handles.figure1);
end
frame = step(videoSource);
frame_now = rgb2gray(frame);
frame_now = medfilt2(frame_now);
frame_diff = abs(frame_now - frame_last);
fgMask = imbinarize(frame_diff);
fgMask = imopen(fgMask, strel(‘rectangle’, [3, 3]));
fgMask = imfill(fgMask, ‘holes’);
frame_last = frame_now;
axes(handles.axes1);
imshow(frame);
axes(handles.axes2);
imshow(fgMask);
pause(waitTime - 0.02);
count = count + 1
end
release(videoSource);
% — Executes on button press in pushbutton3.
function pushbutton3_Callback(hObject, eventdata, handles)
% hObject handle to pushbutton3 (see GCBO)
% eventdata reserved - to be defined in a future version of MATLAB
% handles structure with handles and user data (see GUIDATA)
global exit_flag;
exit_flag = true;
% — Executes on button press in pushbutton4.
function pushbutton4_Callback(hObject, eventdata, handles)
% hObject handle to pushbutton4 (see GCBO)
% eventdata reserved - to be defined in a future version of MATLAB
% handles structure with handles and user data (see GUIDATA)
global pause_flag;
pause_flag = true;
% — Executes on button press in pushbutton5.
function pushbutton5_Callback(hObject, eventdata, handles)
% hObject handle to pushbutton5 (see GCBO)
% eventdata reserved - to be defined in a future version of MATLAB
% handles structure with handles and user data (see GUIDATA)
global pause_flag;
pause_flag = false;
uiresume(handles.figure1);
% — Executes on button press in pushbutton6.
function pushbutton6_Callback(hObject, eventdata, handles)
% hObject handle to pushbutton6 (see GCBO)
% eventdata reserved - to be defined in a future version of MATLAB
% handles structure with handles and user data (see GUIDATA)
videoName = get(handles.edit1, ‘String’);
videoSource = vision.VideoFileReader(videoName,…
‘ImageColorSpace’, ‘RGB’, ‘VideoOutputDataType’, ‘uint8’);
videoInfo = info(videoSource);
videoRate = videoInfo.VideoFrameRate;
waitTime = 1.0/videoRate;
frame_first = rgb2gray(step(videoSource));
frame = step(videoSource);
global exit_flag;
global pause_flag;
exit_flag = false;
pause_flag = false;
while ~isDone(videoSource) && ~exit_flag
if pause_flag
uiwait(handles.figure1);
end
% 显示该帧图像
axes(handles.axes1);
imshow(frame);
frame_second = rgb2gray(frame);
frame = step(videoSource);
frame_third = rgb2gray(frame);
frame_diff1 = abs(frame_second - frame_first);
frame_diff2 = abs(frame_third - frame_second);
fgMask = imbinarize(min(frame_diff1,frame_diff2));
fgMask = imopen(fgMask, strel(‘rectangle’, [3, 3]));
fgMask = imfill(fgMask, ‘hole’);
frame_first = frame_second;
axes(handles.axes2);
imshow(fgMask);
pause(waitTime - 0.02);
end
release(videoSource);
% — Executes on button press in pushbutton7.
function pushbutton7_Callback(hObject, eventdata, handles)
% hObject handle to pushbutton7 (see GCBO)
% eventdata reserved - to be defined in a future version of MATLAB
% handles structure with handles and user data (see GUIDATA)
close(gcf);
% — Executes on button press in pushbutton8.
function pushbutton8_Callback(hObject, eventdata, handles)
% hObject handle to pushbutton8 (see GCBO)
% eventdata reserved - to be defined in a future version of MATLAB
% handles structure with handles and user data (see GUIDATA)
videoName = get(handles.edit1, ‘String’);
videoSource = vision.VideoFileReader(videoName,…
‘ImageColorSpace’, ‘RGB’, ‘VideoOutputDataType’, ‘uint8’);
videoInfo = info(videoSource);
videoRate = videoInfo.VideoFrameRate;
waitTime = 1.0/videoRate;
global exit_flag;
global pause_flag;
exit_flag = false;
pause_flag = false;
⛄三、运行结果


⛄四、matlab版本及参考文献
1 matlab版本
2014a
2 参考文献
[1]韩帅.基于改进帧间差分法与背景差分法车辆检测[J].农业装备与车辆工程. 2021,59(06)
3 备注
简介此部分摘自互联网,仅供参考,若侵权,联系删除
🍅 仿真咨询
1 各类智能优化算法改进及应用
1.1 PID优化
1.2 VMD优化
1.3 配电网重构
1.4 三维装箱
1.5 微电网优化
1.6 优化布局
1.7 优化参数
1.8 优化成本
1.9 优化充电
1.10 优化调度
1.11 优化电价
1.12 优化发车
1.13 优化分配
1.14 优化覆盖
1.15 优化控制
1.16 优化库存
1.17 优化路由
1.18 优化设计
1.19 优化位置
1.20 优化吸波
1.21 优化选址
1.22 优化运行
1.23 优化指派
1.24 优化组合
1.25 车间调度
1.26 生产调度
1.27 经济调度
1.28 装配线调度
1.29 水库调度
1.30 货位优化
1.31 公交排班优化
1.32 集装箱船配载优化
1.33 水泵组合优化
1.34 医疗资源分配优化
1.35 可视域基站和无人机选址优化
2 机器学习和深度学习分类与预测
2.1 机器学习和深度学习分类
2.1.1 BiLSTM双向长短时记忆神经网络分类
2.1.2 BP神经网络分类
2.1.3 CNN卷积神经网络分类
2.1.4 DBN深度置信网络分类
2.1.5 DELM深度学习极限学习机分类
2.1.6 ELMAN递归神经网络分类
2.1.7 ELM极限学习机分类
2.1.8 GRNN广义回归神经网络分类
2.1.9 GRU门控循环单元分类
2.1.10 KELM混合核极限学习机分类
2.1.11 KNN分类
2.1.12 LSSVM最小二乘法支持向量机分类
2.1.13 LSTM长短时记忆网络分类
2.1.14 MLP全连接神经网络分类
2.1.15 PNN概率神经网络分类
2.1.16 RELM鲁棒极限学习机分类
2.1.17 RF随机森林分类
2.1.18 SCN随机配置网络模型分类
2.1.19 SVM支持向量机分类
2.1.20 XGBOOST分类
2.2 机器学习和深度学习预测
2.2.1 ANFIS自适应模糊神经网络预测
2.2.2 ANN人工神经网络预测
2.2.3 ARMA自回归滑动平均模型预测
2.2.4 BF粒子滤波预测
2.2.5 BiLSTM双向长短时记忆神经网络预测
2.2.6 BLS宽度学习神经网络预测
2.2.7 BP神经网络预测
2.2.8 CNN卷积神经网络预测
2.2.9 DBN深度置信网络预测
2.2.10 DELM深度学习极限学习机预测
2.2.11 DKELM回归预测
2.2.12 ELMAN递归神经网络预测
2.2.13 ELM极限学习机预测
2.2.14 ESN回声状态网络预测
2.2.15 FNN前馈神经网络预测
2.2.16 GMDN预测
2.2.17 GMM高斯混合模型预测
2.2.18 GRNN广义回归神经网络预测
2.2.19 GRU门控循环单元预测
2.2.20 KELM混合核极限学习机预测
2.2.21 LMS最小均方算法预测
2.2.22 LSSVM最小二乘法支持向量机预测
2.2.23 LSTM长短时记忆网络预测
2.2.24 RBF径向基函数神经网络预测
2.2.25 RELM鲁棒极限学习机预测
2.2.26 RF随机森林预测
2.2.27 RNN循环神经网络预测
2.2.28 RVM相关向量机预测
2.2.29 SVM支持向量机预测
2.2.30 TCN时间卷积神经网络预测
2.2.31 XGBoost回归预测
2.2.32 模糊预测
2.2.33 奇异谱分析方法SSA时间序列预测
2.3 机器学习和深度学习实际应用预测
CPI指数预测、PM2.5浓度预测、SOC预测、财务预警预测、产量预测、车位预测、虫情预测、带钢厚度预测、电池健康状态预测、电力负荷预测、房价预测、腐蚀率预测、故障诊断预测、光伏功率预测、轨迹预测、航空发动机寿命预测、汇率预测、混凝土强度预测、加热炉炉温预测、价格预测、交通流预测、居民消费指数预测、空气质量预测、粮食温度预测、气温预测、清水值预测、失业率预测、用电量预测、运输量预测、制造业采购经理指数预测
3 图像处理方面
3.1 图像边缘检测
3.2 图像处理
3.3 图像分割
3.4 图像分类
3.5 图像跟踪
3.6 图像加密解密
3.7 图像检索
3.8 图像配准
3.9 图像拼接
3.10 图像评价
3.11 图像去噪
3.12 图像融合
3.13 图像识别
3.13.1 表盘识别
3.13.2 车道线识别
3.13.3 车辆计数
3.13.4 车辆识别
3.13.5 车牌识别
3.13.6 车位识别
3.13.7 尺寸检测
3.13.8 答题卡识别
3.13.9 电器识别
3.13.10 跌倒检测
3.13.11 动物识别
3.13.12 二维码识别
3.13.13 发票识别
3.13.14 服装识别
3.13.15 汉字识别
3.13.16 红绿灯识别
3.13.17 虹膜识别
3.13.18 火灾检测
3.13.19 疾病分类
3.13.20 交通标志识别
3.13.21 卡号识别
3.13.22 口罩识别
3.13.23 裂缝识别
3.13.24 目标跟踪
3.13.25 疲劳检测
3.13.26 旗帜识别
3.13.27 青草识别
3.13.28 人脸识别
3.13.29 人民币识别
3.13.30 身份证识别
3.13.31 手势识别
3.13.32 数字字母识别
3.13.33 手掌识别
3.13.34 树叶识别
3.13.35 水果识别
3.13.36 条形码识别
3.13.37 温度检测
3.13.38 瑕疵检测
3.13.39 芯片检测
3.13.40 行为识别
3.13.41 验证码识别
3.13.42 药材识别
3.13.43 硬币识别
3.13.44 邮政编码识别
3.13.45 纸牌识别
3.13.46 指纹识别
3.14 图像修复
3.15 图像压缩
3.16 图像隐写
3.17 图像增强
3.18 图像重建
4 路径规划方面
4.1 旅行商问题(TSP)
4.1.1 单旅行商问题(TSP)
4.1.2 多旅行商问题(MTSP)
4.2 车辆路径问题(VRP)
4.2.1 车辆路径问题(VRP)
4.2.2 带容量的车辆路径问题(CVRP)
4.2.3 带容量+时间窗+距离车辆路径问题(DCTWVRP)
4.2.4 带容量+距离车辆路径问题(DCVRP)
4.2.5 带距离的车辆路径问题(DVRP)
4.2.6 带充电站+时间窗车辆路径问题(ETWVRP)
4.2.3 带多种容量的车辆路径问题(MCVRP)
4.2.4 带距离的多车辆路径问题(MDVRP)
4.2.5 同时取送货的车辆路径问题(SDVRP)
4.2.6 带时间窗+容量的车辆路径问题(TWCVRP)
4.2.6 带时间窗的车辆路径问题(TWVRP)
4.3 多式联运运输问题
4.4 机器人路径规划
4.4.1 避障路径规划
4.4.2 迷宫路径规划
4.4.3 栅格地图路径规划
4.5 配送路径规划
4.5.1 冷链配送路径规划
4.5.2 外卖配送路径规划
4.5.3 口罩配送路径规划
4.5.4 药品配送路径规划
4.5.5 含充电站配送路径规划
4.5.6 连锁超市配送路径规划
4.5.7 车辆协同无人机配送路径规划
4.6 无人机路径规划
4.6.1 飞行器仿真
4.6.2 无人机飞行作业
4.6.3 无人机轨迹跟踪
4.6.4 无人机集群仿真
4.6.5 无人机三维路径规划
4.6.6 无人机编队
4.6.7 无人机协同任务
4.6.8 无人机任务分配
5 语音处理
5.1 语音情感识别
5.2 声源定位
5.3 特征提取
5.4 语音编码
5.5 语音处理
5.6 语音分离
5.7 语音分析
5.8 语音合成
5.9 语音加密
5.10 语音去噪
5.11 语音识别
5.12 语音压缩
5.13 语音隐藏
6 元胞自动机方面
6.1 元胞自动机病毒仿真
6.2 元胞自动机城市规划
6.3 元胞自动机交通流
6.4 元胞自动机气体
6.5 元胞自动机人员疏散
6.6 元胞自动机森林火灾
6.7 元胞自动机生命游戏
7 信号处理方面
7.1 故障信号诊断分析
7.1.1 齿轮损伤识别
7.1.2 异步电机转子断条故障诊断
7.1.3 滚动体内外圈故障诊断分析
7.1.4 电机故障诊断分析
7.1.5 轴承故障诊断分析
7.1.6 齿轮箱故障诊断分析
7.1.7 三相逆变器故障诊断分析
7.1.8 柴油机故障诊断
7.2 雷达通信
7.2.1 FMCW仿真
7.2.2 GPS抗干扰
7.2.3 雷达LFM
7.2.4 雷达MIMO
7.2.5 雷达测角
7.2.6 雷达成像
7.2.7 雷达定位
7.2.8 雷达回波
7.2.9 雷达检测
7.2.10 雷达数字信号处理
7.2.11 雷达通信
7.2.12 雷达相控阵
7.2.13 雷达信号分析
7.2.14 雷达预警
7.2.15 雷达脉冲压缩
7.2.16 天线方向图
7.2.17 雷达杂波仿真
7.3 生物电信号
7.3.1 肌电信号EMG
7.3.2 脑电信号EEG
7.3.3 心电信号ECG
7.3.4 心脏仿真
7.4 通信系统
7.4.1 DOA估计
7.4.2 LEACH协议
7.4.3 编码译码
7.4.4 变分模态分解
7.4.5 超宽带仿真
7.4.6 多径衰落仿真
7.4.7 蜂窝网络
7.4.8 管道泄漏
7.4.9 经验模态分解
7.4.10 滤波器设计
7.4.11 模拟信号传输
7.4.12 模拟信号调制
7.4.13 数字基带信号
7.4.14 数字信道
7.4.15 数字信号处理
7.4.16 数字信号传输
7.4.17 数字信号去噪
7.4.18 水声通信
7.4.19 通信仿真
7.4.20 无线传输
7.4.21 误码率仿真
7.4.22 现代通信
7.4.23 信道估计
7.4.24 信号检测
7.4.25 信号融合
7.4.26 信号识别
7.4.27 压缩感知
7.4.28 噪声仿真
7.4.29 噪声干扰
7.5 无人机通信
7.6 无线传感器定位及布局方面
7.6.1 WSN定位
7.6.2 高度预估
7.6.3 滤波跟踪
7.6.4 目标定位
7.6.4.1 Dv-Hop定位
7.6.4.2 RSSI定位
7.6.4.3 智能算法优化定位
7.6.5 组合导航
8 电力系统方面
微电网优化、无功优化、配电网重构、储能配置
这篇关于【目标检测】基于matlab GUI差分法运动目标检测【含Matlab源码 1284期】的文章就介绍到这儿,希望我们推荐的文章对编程师们有所帮助!