本文主要是介绍关于恒压源和恒流源内阻的公式讨论分析,希望对大家解决编程问题提供一定的参考价值,需要的开发者们随着小编来一起学习吧!
如图所示:拿一个简单电路例子来分析


对于一个电源来说,不变的就是电源电动势E和内阻r,而负载R会发生改变;E和r 这两个东西是电源的固有属性,而与所在的电路环境没有关系。
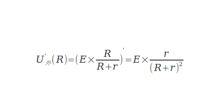
对于恒压源,可以使外部输出电源U关于负载电阻R的一阶导数,恒压源的特点就是不管外电路负载如何变化输出电压恒定,所以就使其一阶导数为0为约束条件;

由上式可以看出:令U外的一阶导数为0时,只有当内阻r为0时,不管R如何变化,都满足等式;所以恒压源的内阻可以看做为0;
同样的,对于恒流源,其特点就是无论外电路负载如何变化,其输出电流恒定,可以使外部输出电流 I 关于负载电阻R的一阶导数为0 为约束条件;

上式所示:当I的关于R的一阶导数为0时,只有当分母为无穷大时等式才相等,所以内阻r为无穷大,恒流源内阻为无穷大;
为什么要讨论他们的内阻呢?因为在一些电路分析中,会用到等效替代的思想,需要将他们等效为恒压源或者恒流源,二者也可以互相等效;
这篇关于关于恒压源和恒流源内阻的公式讨论分析的文章就介绍到这儿,希望我们推荐的文章对编程师们有所帮助!