本文主要是介绍In defence of the 8-point algorithm(八点算法的归一化(规则化)详解)基础矩阵,希望对大家解决编程问题提供一定的参考价值,需要的开发者们随着小编来一起学习吧!
In defence of the 8-point algorithm
论文原文大家可以去网上自己下载,很好找的
在原论文中提出了归一化(初始化)输入参数,再进行八点法能够得到较好的匹配效果,算出修正的F矩阵。但是原文没有给出代码以及实现方法,这里本博客特地讨论一下这个问题。
本文主要解决的问题是图像坐标系的选择对八点法的影响。
整体影响的分析步骤:
①原图像坐标系设为u,转换成另外的坐标系变为u*,u*=Tu,T为转换矩阵。
②另一幅图的原图坐标系设为v,转换成其他坐标系变为v*,v*=T’v,T’为转换矩阵。
③原两幅图像的对应关系为 v T F u = 0 {{v}^{\text{T}}}Fu=0 vTFu=0,转换后现对应关系为 v ∗ T T -’T F T − 1 u ∗ = 0 {{v}^{*}}^{\text{T}}{{\text{T}}^{\text{-'T}}}F{{\text{T}}^{-1}}{{u}^{*}}=0 v∗TT-’TFT−1u∗=0,因此当我们的求解图像坐标由 u , v 变为 u ∗ , v ∗ u,v\text{变为}{{\text{u}}^{*}}\text{,}{{\text{v}}^{*}} u,v变为u∗,v∗ 时,我们的 F F F变成了 T -’T F T − 1 {{\text{T}}^{\text{-'T}}}F{{\text{T}}^{-1}} T-’TFT−1。需要转换回来时, F = T ​ ​ ′ ​​ T ( T -’T F T − 1 ) T= T ​ ​ ′ ​​ T F ∗ T F\text{=}{{\text{T}}^{\!\!'\!\!\text{ T}}}\left( {{\text{T}}^{\text{{-}'T}}}F{{\text{T}}^{-1}} \right)\text{T=}{{\text{T}}^{\!\!'\!\!\text{ T}}}{{F}^{*}}\text{T} F=T′ T(T-’TFT−1)T=T′ TF∗T
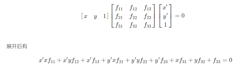
写到这里对基础矩阵F有了解的应该不会太困惑,对F不了解的可能有点费解,这里先说明一下基础矩阵的定义。
F的定义式为 v T F u = 0 {{v}^{\text{T}}}Fu=0 vTFu=0,看下面的文章,你就会对基础矩阵有所了解了。
https://blog.csdn.net/kokerf/article/details/72191054
基础矩阵和内参K以及外参RT有关,表示一种映射关系,映射:u坐标系下的图像平面plane1的一个点point1,对应于v坐标系下的图像平面plane2的一条直线,且对应point2在这条直线上。
本文做的规则化就是先将两个图转换到统一坐标系统求出 F ∗ {F}^{*} F∗,然后再转换回 F {F} F。
一、规则化
在采集图片时,有些图片数据以左上角坐标为原点,一部分以视野中央为原点。这不同的变化将会导致求得的基础矩阵不同,因此需要提前对输入数据进行规则化。
1.进行转换,使得原点为质心。
2.进行缩放,使得所有点到原点的平均距离为 2 \sqrt{2} 2
3.两幅图都应用变换。
①求取所有点的x和y的平均值
n=size(data1,1); cx1=sum(data1(:,1)')/n;%x1的平均值cy1=sum(data1(:,2)')/n;
②所有点的坐标值减去平均值
dx1=data1(:,1)'-cx1;%x1减去x1的平均值dy1=data1(:,2)'-cy1;
③求各点到所有点的平均值的平均欧氏距离
d1=sum((dx1.^2+dy1.^2).^(1/2))/n;
④将平均距离缩放为 2 \sqrt{2} 2
X(1:n,1)=(sqrt(2)./d1.* dx1)';Y(1:n,1)=(sqrt(2)./d1.*dy1)';
二、使用坐标系变换后的数据进行八点法计算基础矩阵F
这方面的讲解比较好的博文为
https://blog.csdn.net/kokerf/article/details/72630863
①构建A矩阵

此处为已经规则化的data1和data2
[m,n]=size(data1);
dat=ones(m,n);
A=[data1(:,1).*data2(:,1) data1(:,1).*data2(:,2) data1(:,1) data1(:,2).*data2(:,1) data1(:,2).*data2(:,2) data1(:,2) data2(:,1) data2(:,2) dat];
②奇异分解,改最小奇异值为0
[U D V] = svd(A);
F=reshape(V(:,9), 3, 3)';
% make rank 2
[U D V] = svd(F);
F=U*diag([D(1,1) D(2,2) 0])*V';
这里也贴出另一种方法供选用,eig求特征向量和特征值
[V,D]=eig(U'*U);
[minim,ind]=min(sum(D));
f=V(:,ind);
F=[f(1) f(2) f(3); f(4) f(5) f(6); f(7) f(8) f(9)];
三、去规则化
①找到u*=Tu,v*=T’v的T和T’
T1=[sqrt(2)/d1 0 -(sqrt(2)/d1*cx1); 0 sqrt(2)/d1 -(sqrt(2)/d1*cy1); 0 0 1];
T2=[sqrt(2)/d2 0 -(sqrt(2)/d2*cx2); 0 sqrt(2)/d2 -(sqrt(2)/d2*cy2); 0 0 1];
②去规则化
F = T1'*F*T2;
这篇关于In defence of the 8-point algorithm(八点算法的归一化(规则化)详解)基础矩阵的文章就介绍到这儿,希望我们推荐的文章对编程师们有所帮助!