本文主要是介绍抽丝剥茧C语言(中阶)分支语句和循环语句,希望对大家解决编程问题提供一定的参考价值,需要的开发者们随着小编来一起学习吧!
分支语句和循环语句)
- 1. 导语
- 2. 什么是语句
- 3. 分支语句(选择结构)
- 3.1 if语句
- 3.1.1 悬空else
- 3.1.2 if书写形式的对比
- 3.2 switch语句
- 3.2.1 在switch语句中的 break
- 3.2.2 default子句
- 4. 循环语句
- 4.1 while循环
- 4.1.1 while语句中的break和continue
- 4.2 for循环
- 4.2.1 语法
- 4.2.2 break和continue在for循环中
- 4.2.3 for语句的循环控制变量
- 4.2.4 一些for循环的变种
- 4.3 do...while()循环
- 4.3.1 do语句的语法
- 4.3.2 执行流程
- 4.3.3 do语句的特点
- 4.3.4 do while循环中的break和continue
- 5. goto语句
- 6. 给家人们的留言!
1. 导语
我们人这辈子,要经历无数的选择,就像机缘;无数次重复某一件事,比如吃饭,睡觉。C语言也是一样的,程序就像人一样,进入main函数的时候就像襁褓中的婴儿一样,等到程序运行结束时就会和人一样逝世,但是在这一生中,我们人经历各种事情,各种选择,重复做某一件事,走向不同的路,获得不同的成就,就和C语言的分支和循环一样。
下面我们来一起看看到底是什么和我们人的一生这么相似。
2. 什么是语句
C语句可分为以下五类:
- 表达式语句
- 函数调用语句
- 控制语句
- 复合语句
- 空语句
本章后面介绍的是控制语句。
控制语句用于控制程序的执行流程,以实现程序的各种结构方式,它们由特定的语句定义符组成,C语言有九种控制语句。
可分成以下三类:
1.条件判断语句也叫分支语句:if语句、switch语句;
2.循环执行语句:do while语句、while语句、for语句;
3.转向语句:break语句、goto语句、continue语句、return语句。
3. 分支语句(选择结构)

举个简答的例子,你进入了大学,好好学习毕业之后就能有一份好的工作,不学习毕业就等于失业,如果你说你家里有80套房子,20个厂子,5个大公司,OK,你随意。
3.1 if语句
那if语句的语法结构是怎么样的呢?
语法结构:
//单分支
if(表达式)语句;
//双分支
if(表达式)语句1;
else语句2;
//多分支
if(表达式1)语句1;
else if(表达式2)语句2;
else语句3;
单分支:如果表达式为真,那么就执行if 后面的语句,如果为假就不执行if 后面的语句。
双分支:如果表达式为真,那么进入语句1人,如果为假,进入语句2.
多分支:如果表达式1为真,进入语句1;如果表达式1为假,就去判断表达式2,若表达式2为真,就进入语句2;如果表达式1和2均为错误,那么就进入语句三。(从上到下判断,如果你觉得三个不够多,就在if 语句后面else 语句前面加else if(表达式))
这里用代码举例子来看一下
#include <stdio.h>
int main()
{int age = 0;scanf("%d", &age);if(age<18){printf("少年\n");}else if(age>=18 && age<30){printf("青年\n");}else if(age>=30 && age<50){printf("中年\n");}else if(age>=50 && age<80){printf("老年\n");}else{printf("老寿星\n");}
}
我们每一次都输入不同的值来运行:
输入:17 输出:少年
输入:28 输出:青年
输入:30 输出:中年
输入:60 输出:老年
输入:100 输出:老寿星
注意:分支语句后面是可以不加花括号的,但是分支语句只能和它的下一个语句组成一起。如果条件成立,要执行多条语句,应该怎么使用代码块?像上面分支语句后面的花括号就是。(循环语句同理)
#include <stdio.h>
int main()
{int a = 10;if (a != 10)printf("hehe\n");printf("haha\n");if(a == 10)printf("QAQ");return 0;
}
输出结果:
haha
QAQ
#include <stdio.h>
int main()
{int a = 10;if (a != 10){printf("hehe\n");printf("haha\n");}if(a == 10)printf("QAQ");return 0;
}
输出结果:
QAQ
3.1.1 悬空else
当你写了这么一段代码
#include <stdio.h>
int main()
{int a = 0;int b = 2;if(a == 1)if(b == 2)printf("hehe\n");elseprintf("haha\n");return 0; }
先猜测一下输出结果是多少?不要急着看输出结果。
输出结果是:
你没看错,不是我没写,而是它什么都没输出,这里是不是就要怀疑我之前是不是说的一直都是错的?
其实并不是,在C语言里,else是和它离的最近的if 匹配的。
也就是说,这里的else和表达式为b == 2的if 语句是一对。
从一开始的第一个if 语句都不成立,我们的啊变量a等于0,而进入第一个if语句的条件是等于1,第一个if语句都没进来,那么在if里面的if(b == 2)和else怎么会执行呢?这里问题迎刃而解!
所以说,这里的代码写的可读性差,让你一眼看不出来,需要辨认,以后大家工作的时候是需要团队配合的,千万不能当猪队友,就像你写代码最好要有注释一样。
我们看刚才的代码,是不是以为else语句是和第一个if 语句是一对。这里我们改良一下,让它们变成我们想看到的。
//适当的使用{}可以使代码的逻辑更加清楚。
//代码风格很重要
#include <stdio.h>
int main()
{int a = 0;int b = 2;if(a == 1){if(b == 2){printf("hehe\n");}}else{printf("haha\n");} return 0; }
运行结果:
haha
这样,第一个if语句里面就包含了第二个if语句,else只能和第一个if语句在一起了。
3.1.2 if书写形式的对比
这里我们看看if的书写方式怎么样可读性更高。
先来看一组代码
//代码1
if (condition)
{return x;
}
return y;
//代码2
if(condition)
{return x;
}
else
{return y;
}
这两个代码其实返回的结果都是一样的,但是第一个一时间很难让人接受,其实仔细分析就知道,if语句执行完返回的是x,我们清楚,函数中只能返回一个值,也就是说返回了x就不会返回y;而如果if语句里的表达式为假,那么程序就会往下运行,然后返回y。
这里对于表达式还有一个小技巧。
我们再来看一组代码:
//代码3
int num = 1;
if(num == 5)
{printf("hehe\n");
}
//代码4
int num = 1;
if(5 == num)
{printf("hehe\n");
}
我们前面初始C语言说过了,==的左值和右值是可以交换位置的,而赋值=却不可以,他们只差一个等号,有时候就会忘记打一个等号,导致表达式是赋值,这样就会出现很大的问题,里面直接会判断你赋值的变量是真是假,然后决定是否执行,而判断可以让常量和变量位置互换,因为常量是不能被赋值的,所以你就算少打了一个等号,编译器也会报错,这样就容易找到错误了。
其实,你亲爱的编译器给你报错是最好的,因为你知道错误在哪里,最怕的就是代码顺利运行了,得到的结果和你预期的不一样,这时候你就要花时间调试去找是哪里出了问题,有一句话说,程序员30%的时间在写代码,70%的时间都在调试。
3.2 switch语句
switch语句也是一种分支语句。
常常用于多分支的情况。
比如:
输入1,输出星期一
输入2,输出星期二
输入3,输出星期三
输入4,输出星期四
输入5,输出星期五
输入6,输出星期六
输入7,输出星期日
那我没写成 if…else if …else if 的形式太复杂,那我们就得有不一样的语法形式。这就是switch 语句。
switch(整型表达式)
{语句项;
}
而语句项是什么呢?
//是一些case语句:
//如下:
case 整形常量表达式:语句;
这就是格式,我们下举个例子
#include <stdio.h>
int main()
{int day = 0;scanf("%d",&day);switch(day){case 1:printf("星期一\n");case 2:printf("星期二\n");case 3:printf("星期三\n"); case 4:printf("星期四\n"); case 5:printf("星期五\n"); case 6:printf("星期六\n");case 7:printf("星期天\n"); }return 0;
}
我们这段代码,你的输入的是几,他就会进入switch语句,然后进入相关与case后面的整形数字相同的语句执行命令,但是他会继续向下走,把下面所有case语句的命令都执行。
比如,输入:
3
输出:
星期三
星期四
星期五
星期六
星期天
这段代码输入的是3,那么就会进入switch语句然后找到case 3这个语句的入口,但是它并没有出口,只有一条顺着向下的通道,也就是经过下面所有case语句的通道,然后就会把剩下所有的命令执行。
那么我们怎么给它们弄一个出口呢?
3.2.1 在switch语句中的 break
在switch语句中,我们没办法直接实现分支,搭配break使用才能实现真正的分支。
#include <stdio.h>
int main()
{int day = 0;scanf("%d",&day);switch(day){case 1:printf("星期一\n");break;case 2:printf("星期二\n");break;case 3:printf("星期三\n");break; case 4:printf("星期四\n");break; case 5:printf("星期五\n");break;case 6:printf("星期六\n");break;case 7:printf("星期天\n"); break;}return 0;
}
break语句是跳出switch语句,如果你输入:
3
结果:
星期三
在这里break就相当于在对应的case语句中开辟了一个出口通往switch语句的出口。
有时候我们的需求变了:
- 输入1-5,输出的是“weekday”;
- 输入6-7,输出“weekend”
所以我们的代码就应该这样实现了:
#include <stdio.h>
//switch代码演示
int main()
{int day = 0;scanf("%d",&day);switch(day){case 1:case 2:case 3:case 4:case 5:printf("weekday\n");break;case 6:case 7:printf("weekend\n");break;}return 0;
}
我们输入 3 输出的就是weekday ,如果是输入 6 输出的就是weekend。
break语句的实际效果是把语句列表划分为不同的分支部分。
编程好习惯
在最后一个 case 语句的后面加上一条 break语句。(之所以这么写是可以避免出现在以前的最后一个 case 语句后面忘了添加 break语句)。
3.2.2 default子句
之前可能就有家人们疑惑了,如果表达的值与所有的case标签的值都不匹配怎么办?
其实也没什么,结构就是所有的语句都被跳过而已。
程序并不会终止,也不会报错,因为这种情况在C中并不认为是个错误。
但是,如果你并不想忽略不匹配所有标签的表达式的值时该怎么办呢?
你可以在语句列表中增加一条default子句,把下面的标签
default:
写在任何一个 case 标签可以出现的位置。
当 switch 表达式的值并不匹配所有 case 标签的值时,这个 default 子句后面的语句就会执行。
所以,每个switch语句中只能出现一条default子句。
但是它可以出现在语句列表的任何位置,而且语句流会像执行一个case标签一样执行default子句。
#include <stdio.h>
//switch代码演示
int main()
{int day = 0;scanf("%d",&day);switch(day){case 1:case 2:case 3:case 4:case 5:printf("weekday\n");break;case 6:case 7:printf("weekend\n");break;default;printf("输入错误");break;}return 0;
}
如果我们输出不是一到七的数字,结果就是:
输入错误
编程好习惯
在每个 switch 语句中都放一条default子句是个好习惯,甚至可以在后边再加一个 break 。
4. 循环语句

这里我就用原来的图片了,还是那句话,如果你没中奖,那么就老老实实学习,等你一直学习,学好了能有个好工作,也能走向人生巅峰!
在这里,一直努力学习就是你需要重复做的动作。
4.1 while循环
我们已经掌握了,if语句:
if(条件)语句;
当条件满足的情况下,if语句后的语句执行,否则不执行。
但是这个语句只会执行一次。
由于我们发现生活中很多的实际的例子是:同一件事情我们需要完成很多次。
那我们怎么做呢?
C语言中给我们引入了: while 语句,可以实现循环。
//while 语法结构
while(表达式)循环语句;
while语句执行的流程:

比如我们实现:
在屏幕上打印1-10的数字。
#include <stdio.h>
int main()
{int i = 1;while(i<=10)//括号里面的表达式也是判断条件{printf("%d ", i);i = i+1;}return 0;
}
这里我们的输出结果是
1 2 3 4 5 6 7 8 9 10
上面的代码已经帮我了解了 while 语句的基本语法,那我们再了解一下:
4.1.1 while语句中的break和continue
break介绍:这个之前在switch语句中说过,作用是跳出switch语句。
在循环里也是一样的。
我们讲上面代码改造一下:
//break 代码实例
#include <stdio.h>
int main()
{int i = 1;while(i<=10){if(i == 5)break; //这里如果i等于5,就会执行if下面的break语句printf("%d ", i);i = i+1;}return 0;
}
这段代码输出结果为:
1 2 3 4
在这里,我们没经过break之前,循环了4次,所以打印了四个数字,经过break语句之后跳出while循环语句。
总结:
break在while循环中的作用:
其实在循环中只要遇到break,就停止后期的所有的循环,直接终止循环。
所以:while中的break是用于永久终止循环的。
continue介绍;这是一个新语句,循环语句专属的。
我们在来一段代码示例
//continue 代码实例1
#include <stdio.h>
int main()
{int i = 1;while(i<=10){if(i == 5)continue;//如果i等于5,执行着这个语句printf("%d ", i);i = i+1;}return 0; }
输出结果:

我们发现,程序一直在运行,没有结束,这是为什么呢?
因为continue的作用是,让本次循环continue后面的语句不执行,因为我们这个循环语句是小于等于10才会停止循环,而 i 这个变量的变化是在continue下面,所以 i 一直没有变,最终导致程序死循环。
我们再来看一段代码
//continue 代码实例2
#include <stdio.h>
int main()
{int i = 1;while(i<=10){i = i+1;if(i == 5)continue;printf("%d ", i);}return 0;
}
这段代码就不一样了,i 变量变化在continue的上面:
#include <stdio.h>
int main()
{int i = 1;while(i<=10){i = i+1;if(i == 5)continue;printf("%d ", i);}return 0;
}
输出结果:
2 3 4 6 7 8 9 10 11
总结:
continue在while循环中的作用就是:
continue是用于终止本次循环的,也就是本次循环中continue后边的代码不会再执行,而是直接跳转到while语句的判断部分。进行下一次循环的入口判断.
在这里我们介绍一段特殊的代码和特殊的函数
//代码什么意思?
//代码1
#include <stdio.h>
int main()
{int ch = 0;while ((ch = getchar()) != EOF)putchar(ch);return 0;
}
这里的代码适当的修改是可以用来清理缓冲区的.
//代码2
#include <stdio.h>
int main()
{char ch = '\0';while ((ch = getchar()) != EOF){if (ch < ‘0’ || ch > ‘9’)continue;putchar(ch);}return 0;
}
//这个代码的作用是:只打印数字字符,跳过其他字符的。
getchar和putchar是什么呢?第一个是在键盘上读取一个字符,第二个是输出你刚才读取的字符,所以第一段代码运行是这样的:

代码二是除了0到9不触发continue。
我们无论是用scanf还是getchar,在输入字符的时候,都会有一个缓冲区,缓冲区里面是存放键盘上的字符的内存,我们在使用scanf和getchar时,它们回去缓冲区看是否有字符可以读取,比如说我们输入‘3’这个字符,注意这是字符,输入之后我们会按一下回车之后输出字符‘3’。
其实我们的缓冲区不仅仅有‘3’这个字符,还有你按回车之后留下的\n也就是换行,我们输入的时候如果不按回车它是不会到缓冲区里的。
getchar这个函数每次只能读取到一次字符。
至于EOF是什么,就是文件结束的标志,我们上面的代码有一个Z,然后就从循环跳出来了,这个是让我们getchar中的内容等于EOF,输入方法是,Ctrl加Z。
关于scanf这个函数,也是会去缓冲区读取,只不过读取是读取到空格就不读取了。
例子:
#include <stdio.h>
int main()
{int ch = 0;ch=getchar();putchar(ch);return 0;
}
输入输出:
QAQ
Q
#include <stdio.h>
int main()
{char ch[10] = {0};scanf("%s", &ch);printf("%s", ch);return 0;
}
输入输出:
asd asd
asd
4.2 for循环
我们已经知道了while循环,但是我们为什么还要一个for循环呢?
首先来看看for循环的语法:
4.2.1 语法
来看看这段代码
for(表达式1; 表达式2; 表达式3)循环语句;
表达式1
表达式1为初始化部分,用于初始化循环变量的。
表达式2
表达式2为条件判断部分,用于判断循环时候终止。
表达式3
表达式3为调整部分,用于循环条件的调整。
举个例子:
使用for循环 在屏幕上打印1-10的数字。
#include <stdio.h>
int main()
{int i = 0;//for(i=1/*初始化*/; i<=10/*判断部分*/; i++/*调整部分*/)for(i=1; i<=10; i++){printf("%d ", i);}return 0;
}
运行代码我结果是:
1 2 3 4 5 6 7 8 9 10
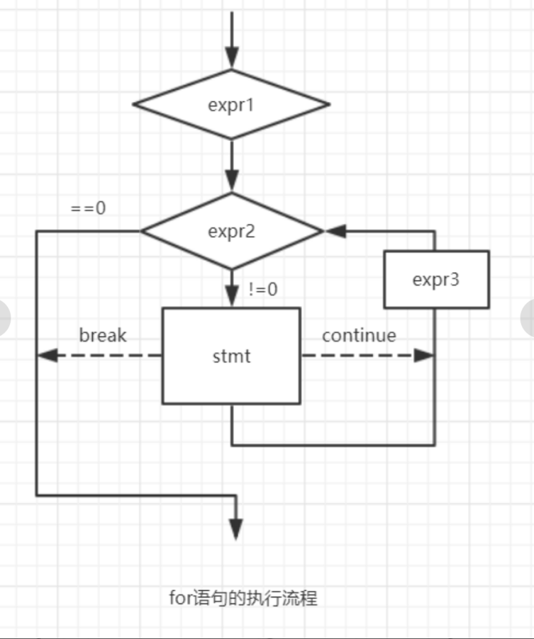
for循环的执行流程图:

现在我们对比一下for循环和while循环。
int i = 0;
//实现相同的功能,使用while
i=1;//初始化部分
while(i<=10)//判断部分
{printf("hehe\n");i = i+1;//调整部分
}
//实现相同的功能,使用for
for(i=1; i<=10; i++)
{printf("hehe\n");
}
输入输出都是一样的:
hehe
可以发现在while循环中依然存在循环的三个必须条件,但是由于风格的问题使得三个部分很可能偏离较远,这样查找修改就不够集中和方便。所以,for循环的风格更胜一筹;for循环使用的频率也最高。
4.2.2 break和continue在for循环中
我们发现在for循环中也可以出现break和continue,他们的意义和在while循环中是一样的。
但是还是有些差异:
//代码1
#include <stdio.h>
int main()
{int i = 0;for(i=1; i<=10; i++){if(i == 5)break;printf("%d ",i);}return 0;
}
//代码2
#include <stdio.h>
int main()
{int i = 0;for(i=1; i<=10; i++){if(i == 5)continue;printf("%d ",i);}return 0;
}
代码1的输出结果是:
1 2 3 4
代码2的输出结果是:
1 2 3 4 6 7 8 9 10
先看第一段代码,我们变量 i 等于5的时候,就进入if 语句执行break跳出for循环。
第二段代码,continue在while循环时候是需要注意条件存放的位置,而for循环就不用。
4.2.3 for语句的循环控制变量
建议:
- 不可在for 循环体内修改循环变量,防止 for 循环失去控制。
- 建议for语句的循环控制变量的取值采用“前闭后开区间”写法。
//代码1
#include <stdio.h>
int main()
{int i = 0;for(i=1; i<=10; i++){i=5;printf("%d ",i);}return 0;
}
代码1打印结果是:
1 2 3 4 5 5 5 5 5 5 5 …
最后5死循环了。
//代码2
int i = 0;
//前闭后开的写法
for(i=0; i<10; i++)
{}
//两边都是闭区间
for(i=0; i<=9; i++)
{}
其实两个都一样,只不过第一个更容易理解,看到判断条件就知道,循环10次。第二个你需要想一下才能知道。
不过有些情况第二种更好,以后我的例子可能会有,这里就不举例子了。
4.2.4 一些for循环的变种
for也可以有不同的写法,语法也是支持的
#include <stdio.h>
int main()
{//代码1for(;;){printf("hehe\n");}//for循环中的初始化部分,判断部分,调整部分是可以省略的,但是不建议初学时省略,容易导致问题。//代码2int i = 0;int j = 0;//这里打印多少个hehe?for(i=0; i<10; i++){for(j=0; j<10; j++){printf("hehe\n");}}//代码3
int i = 0;
int j = 0;
//如果省略掉初始化部分,这里打印多少个hehe?
for(; i<10; i++)
{for(; j<10; j++){printf("hehe\n");}
}//代码4-使用多余一个变量控制循环
int x, y;for (x = 0, y = 0; x<2 && y<5; ++x, y++){printf("hehe\n");}return 0;
}
让我们逐个分析:
代码1:三个表达式一个都没有,也就是说,没有能使循环开始和停止的条件,所以默认为进入和不终止循环。如此,代码1死循环。
代码2:这里打印了100个hehe,for进行嵌套,进入第一个for循环中之后,执行里面的for,里面的for又进行循环。
代码3:这段代码我们只打印了10个hehe,为什么呢?因为刚开始初始化变量 i 和 j 的值为0,我们第一次进入第二个for循环的时候,变量 j 还是从0开始的,但是这一次的循环让变量 j 变成了10。所以第二次进入第二个for循环时变量 j 等于10,判断条件不成立,所以不会进入第二个for循环语句。
代码4:这段代码的判断条件是x<2并且y<5,,也就是说只有两个条件同时成立才会进行,代码的输出是2个hehe,因为x到2的时候已经不符合x<2了。
4.3 do…while()循环
4.3.1 do语句的语法
do循环语句;
while(表达式);
4.3.2 执行流程

4.3.3 do语句的特点
循环至少执行一次,使用的场景有限,所以不是经常使用。
#include <stdio.h>
int main()
{int i = 0;do{printf("%d\n", i);i++;}while(i<10);return 0;
}
这里我们输出的是:
0 1 2 3 4 5 6 7 8 9 10 11
等到11被打印出了之后,才停止,这就是do while循环。上来二话不说先进入,后判断。
4.3.4 do while循环中的break和continue
当然这个循环也有break和continue。
这两个的作用和以前都一样。
//代码1
#include <stdio.h>
int main()
{int i = 0;do{i++;if(5 == i)break;printf("%d\n", i);}while(i<10);return 0;
}
//代码2
#include <stdio.h>
int main()
{int i = 0; do{i++;if(5 == i)continue;printf("%d\n", i);}while(i<10);return 0;
}
代码1的运行结果是:
1
2
3
4
代码2的运行结果:
1
2
3
4
6
7
8
9
10
5. goto语句
C语言中提供了可以随意滥用的 goto语句和标记跳转的标号。
从理论上 goto语句是没有必要的,实践中没有goto语句也可以很容易的写出代码。
但是某些场合下goto语句还是用得着的,最常见的用法就是终止程序在某些深度嵌套的结构的处理过
程。
例如:一次跳出两层或多层循环。
多层循环这种情况使用break是达不到目的的。它只能从最内层循环退出到上一层的循环。
goto语言真正适合的场景如下:
for(...)for(...){for(...){if(disaster)goto error;}}…
error:if(disaster)// 处理错误情况
这里运行到goto语句就会跳到error:那里,然后进入if(disaster)语句进行判断。
6. 给家人们的留言!
这里C语言的分支与循环语句的就讲完了,当然只是知识点和一些例子是不够的,我之后还会出一期分支与循环的练习,我们将会完成一些有趣的代码,比如猜数字游戏,代码关机等等。
那么家人们,如果觉得文章写的不错就请点个赞,关注一波,如果有错误请指点,谢谢!
这篇关于抽丝剥茧C语言(中阶)分支语句和循环语句的文章就介绍到这儿,希望我们推荐的文章对编程师们有所帮助!