本文主要是介绍一维随机变量,希望对大家解决编程问题提供一定的参考价值,需要的开发者们随着小编来一起学习吧!
必然事件:一定发生。记作 Ω
不可能事件:一定不发生。记作 ϕ
运算律:

古典概率
条件:有限个样本,等可能性。

排列,组合
加法原理:有几类方案用加法。
乘法原理:分几步用乘法。
排列:
1不重复排列

2重复排列

组合:
从n个不同元素中取出m个不同元素。

条件概率

概率乘法公式

全概率公式

贝叶斯公式


独立性

伯努利模型

随机变量
离散型:有限个,无限可列个。
非离散型:连续型。
离散型随机变量及其概率分布

连续型随机变量及其概率密度函数


分布函数(适用于离散和连续)


离散型分布函数

连续型分布函数

离散型的分布





超几何分布用二项分布近似计算
二项分布,用泊松分布近似计算。
泊松分布用查表法计算。
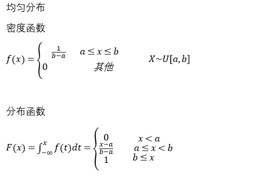
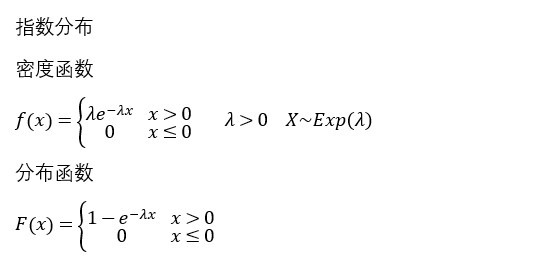
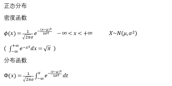
连续型的分布




标准正态分布

这篇关于一维随机变量的文章就介绍到这儿,希望我们推荐的文章对编程师们有所帮助!