本文主要是介绍《Quantum state transfer on unsymmetrical graphs via discrete-time quantum walk》论文解读,希望对大家解决编程问题提供一定的参考价值,需要的开发者们随着小编来一起学习吧!
本文仅仅代表个人的读后感,如有不对,欢迎大家指出呀~
论文简要概述
这篇论文是针对butterfly-network上的量子态转移的研究。
它的核心思想就是将butterfly network转化成二部图(因为处理二部图有一个比较完整的流程,并且保真度挺高)
1.introduction
第一部分主要是讲quantum walk、perfect state transfer等一些背景的介绍。
2.Preliminaries
第二部分主要是论文的预备知识。
(1)二分图的介绍
(2)butterfly-network的介绍
(3)将butterfly-network转化成二分图。
如下图中的(a)是butterfly-network,然后可以转换成(b)中的二分图的形式。

3.Quantum State Transfer Over the Butterfly Network via Discrete-Time Quantum Walk(核心部分)
这一部分就是和完全二部图的量子态转移的过程相同。
1. 定义初态、终态
量子态转移的目标就是从顶点1转到顶点6.


2. 定义coin-operator
在标记点使用的是I当做coin-operator,在非标记点使用的是G.


3. 定义shift-operator
shift-operator就是从在图里面进行移动,有那个边的就可以移动。

4.定义U
(1)U是先进行coin-operator的操作

(2)由于初态和终态在不同侧,所以要对初态先进行一次U操作,让初态和转移到和终态同一侧。

(3)现在初态和终态在同一侧了,所以如果最终转移到终态时,则必定经过了偶数次U操作,而且是先进行U2,再进行U1,所以定义了Ueff.

5. U在一组标准正交基下的矩阵表示,并求改矩阵的特征值和特征向量。
这组正交基就是把二部图下的所有边都表示出来,并且基与基之间的内积为0.这里的每一条边都是正交的,所以把这七条边当成一组标准正交基。

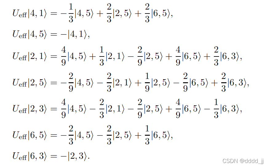
所以,在这组标准正交基的矩阵表示为如下:

求出改矩阵的特征值和特征向量。

6.将初态、终态用特征向量表示出来。
初态用特征向量进行表示。

初态经过了t次之后,变成的状态。

终态用特征向量表示出来。

7.计算保真度

最终经过计算,发现保真度和要传输的量子态有关。

4.Conclusion
结论就是发现,保真度与要传输的量子态有关。
5.论文读后感
其实个人不太赞同它的结论,个人觉得保真度与图的每个顶点的度有关,但是可以借鉴它的方式,把一些不对称的图,转移到对称的图上。
这篇关于《Quantum state transfer on unsymmetrical graphs via discrete-time quantum walk》论文解读的文章就介绍到这儿,希望我们推荐的文章对编程师们有所帮助!