本文主要是介绍[西瓜书笔记] CH1绪论CH2模型评估与选择,希望对大家解决编程问题提供一定的参考价值,需要的开发者们随着小编来一起学习吧!
第一章 绪论
- 机器学习:
- 计算的手段
- 自身经验(数据)
- 改善性能(学习算法→模型) - 属性空间={属性1,属性2,…}
- 分类

- 泛化(generalization):适用于新样本的能力
模型应注重于预测未知,拟合未知 - 独立同分布i.i.d
- 归纳:所有匹配的假设→假设空间→版本空间
- 归纳偏好(优先考虑实际业务)
第二章 模型的评估与选择
- error rate:错误率 E=a/m
accuracy:精度 1-a/m - 误差error:
- 训练集→训练误差 经验误差
- 新样本→泛化误差【目标:减小泛化误差】 - 拟合,过拟合overfitting,欠拟合underfitting
- 验证集应尽可能与训练集互斥
- 用测试集上的判别效果来估计模型在实际使用时的泛化能力,而把训练数据另外划分为训练集和验证集,基于验证集上的性能来进行模型选择和调参。
▲模型评估方法:
- 留出法(hold-out): 将数据集划分为两个互斥的集合,一个用于训练S,一个用于验证T。D=S \cup T,S \cap T = \emptset
- 保持样本类别比例相似 → 分层采样stratified sampling
- 若干次随机划分、重复实验后取平均值作为评估结果
- 缺点:S过多,T较小,评估结果不稳定准确;T过多,评估模型会和D训练出的模型有较大差别,降低评估结果的保真性
- 常见解决做法:2/3 - 4/5用于训练,剩余用于验证 - k折交叉验证法(k-fold cross validation):将数据集D划分为k个大小相似的互斥子集,每个子集都尽可能保持数据分布的一致性。每次用k-1个子集的并集作为训练集,剩余的一个子集作为验证集。进行k次训练和验证,返回k个验证结果的均值。
- 常用k=10,其次为5、20
- 为减少样本划分不同引入的区别,随机使用不同的划分进行p次k折交叉验证
- 特例:当k=数据集D样本数,留一法(Leave-One-Out,LOO)。用留一法实际评估的模型与期望评估用D训练出的模型相似(,但是数据量大时开销过大。 - 自助法(bootstrapping):每次随机从D中挑选一个样本将其拷贝放入D’ ,然后再将该样本放回初始数据集D中,使得该样本在下次采样时仍有可能被采到;这个过程重复执行m 次后,我们就得到了包含 m 个样本的数据集 D’。
- 有1/3的数据不会在训练集中出现
- 适用于数据集较小、难以有效划分训练验证集的场合;初始数据集产生多个不同的训练集,利于集成学习
- 会引入估计偏差
▲性能度量(performance measure):
- 衡量模型泛化能力的评价标准,反映了任务需求
- 回归任务:均方误差(mse)
- 分类任务:
- 错误率和精度
- 查准率percision、查全率recall、F1:
- TP+FP+TN+FN=样本总数

- 查准率P=TP/(TF+FP)
- 查全率R=TP/(TP+FN)
- 查准率和查全率是矛盾的
- P-R曲线:若一个学习器的P-R曲线被另一个学习器的曲线完全"包住" , 则可断言后者的性能优于前者;若发生交叉难以断言有了程度。
- 平衡点(Break-Event Point,BEP):查准率=查全率。两个学习器之间,若A的平衡点大于B的平衡点,那么学习器A优于B
- F1度量:
- 由于不同场景对查准率和查全率重视程度不同,F1度量的一般形式表达对查准率和查全率不同的偏好。\beta=1, F_\beta = F1; \beta>1, 查全率有更大影响;\beta<1,查准率有更大影响。

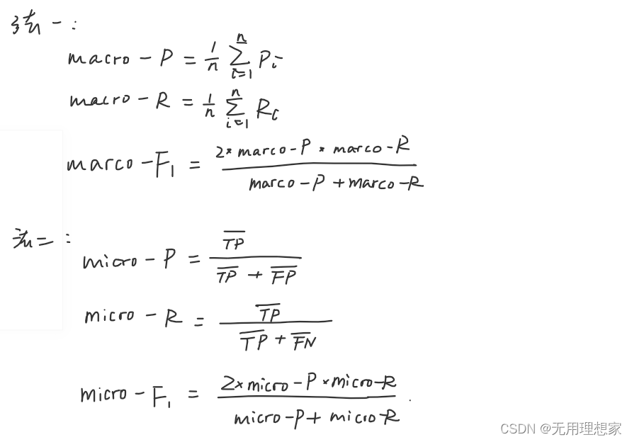
- 多次训练/验证得到多个二分类混淆矩阵,为了综合考察查准率和查全率,有几种做法:①分别计算P和R,再计算平均值,得到宏查准率marco-P、宏查全率、宏F1 ;② 先将混淆矩阵对应元素进行平均,得到TP、FP、TN、FN的平均值,再基于平均值计算微查准率、微查全率、微F1。

这篇关于[西瓜书笔记] CH1绪论CH2模型评估与选择的文章就介绍到这儿,希望我们推荐的文章对编程师们有所帮助!