本文主要是介绍Christmas Spruce CodeForces - 913B,希望对大家解决编程问题提供一定的参考价值,需要的开发者们随着小编来一起学习吧!
题目:





题目大意:
一个”树“,有一个根为 1 ,他的子节点中,如果没有子代且有父代的顶点称为叶子。如果每棵非叶顶点至少有3个叶子节点,我们称其为云杉,得到一棵有根的树,检查他是否为云杉。
解题思路:
输入n,剩下n-1行是每个位置的根节点,开vector数组,对于相同的根节点存到一起,然后判断节点是否存在>=3个叶子节点(若为空就是叶子节点),如果存在,输出Yes,否则输出No。
坑:(Wa了4发)
他是按照顺序位置放入的。
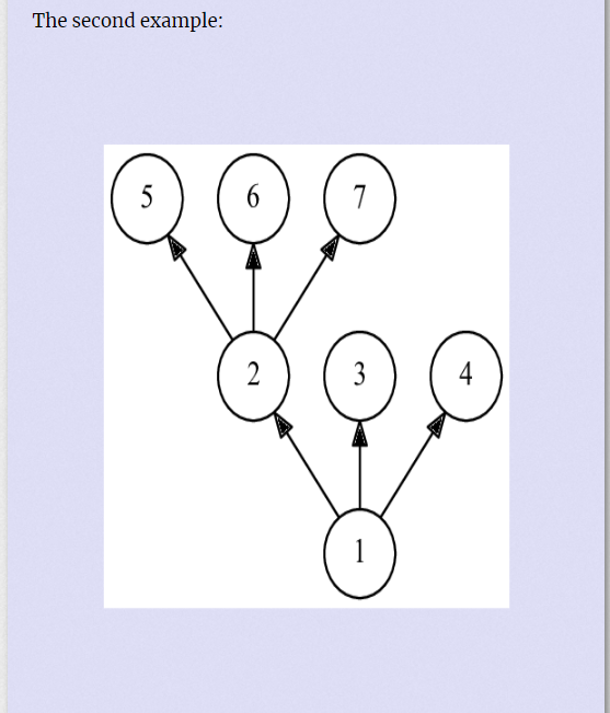
eg:
7
1 位置(值):2
2 位置(值):3
1 位置(值):4
2 位置(值):5
2 位置(值):6
3 位置(值):7
这种例子,他的位置就是节点的值,开始时为2,(根节点为1)
代码:
#include <iostream>
#include <stack>
#include <vector>
#include <cstdio>using namespace std;vector <int> ans[1005];int solve(int x){int result = 0;if (ans[x].size() == 0){return 1;}for (int i = 0 ; i < ans[x].size(); i++){if (ans[ans[x][i]].size() == 0){result ++;}}if (result >= 3){return 1;}return 0;
}int main(){int n,k;scanf("%d",&n);for (int i = 2; i <= n ; i++){scanf("%d",&k);ans[k].push_back(i);}int l = 0;for (int i = 1 ; i <= n; i++){if (solve(i) == 0){l = 1;break;}}if (l) printf("No\n");else printf("Yes\n");return 0;}这篇关于Christmas Spruce CodeForces - 913B的文章就介绍到这儿,希望我们推荐的文章对编程师们有所帮助!