本文主要是介绍泊松图像编辑/融合(Possion image editing)的原理与数值解算法,希望对大家解决编程问题提供一定的参考价值,需要的开发者们随着小编来一起学习吧!
泊松图像融合是目前融合算法的标杆,泊松图像编辑不仅可以用于图像融合,还可以用于风格迁移、插入透明物体、局部亮度/颜色调制等。网上有不少介绍泊松图像融合算法的文章,但基本表都刻意淡化了其理论推导,着重去讲其实现,让人读完还是只知其然而不知其所以然,甚至连知其然都做不到。这里我将尝试从原理到实现系统地讲一讲泊松图像编辑/融合技术。(注:本文源于对http://www.ipol.im/pub/art/2016/163/上“Possion image editing”论文与源码的解读,读者可以自行从上面下载论文和代码)

泊松图像编辑的原理说来也不复杂,其实就是在满足一定边界的条件下让待求解二维函数在区域
中的梯度场与参考梯度场
尽可能相似,这种相似度最大化用差值的二阶范数最小化来表征,而这个边界条件就是函数值在边界上与目标图像
的的取值相等,这就是所谓的狄利克雷边界条件。用数学方式表示就是:

其解满足欧拉——拉格朗日方程:
![]()
该方程就是所谓的泊松方程。关于散度的理解可以参考https://blog.csdn.net/weixin_41923961/article/details/85225757。对于与图像外边缘
相交的特殊情况<注:对此特殊况不感兴趣的可以直接跳过>,狄利克雷边界条件被
上的纽曼边界条件(即边界处导数为0)替代,也就是相当于对图像进行了边缘复制性外扩。

前述泊松方程的矩阵表示为:
![]()
其中,、
的形式与我先前的博客https://blog.csdn.net/u014230360/article/details/107639764里的相似,但
以外区域的对应行都是零值行!
、
、
分别是待求解图像、参考梯度场x分量、参考梯度场y分量的向量化表示。以一个4*4的图像示意,拉普拉斯矩阵
的形式如下图所示(第一行两个1的外框颜色反了,图是从论文中截取的)。

也就是说,L在与图像外边缘
不相交的时候,
中对应于
的每一行的非零元素都是1、1、-4、1、1(注意,是对应于
的行才是非零行!)。当出现
与图像外边缘
相交的特殊情况时,由于交集上的点的像素值由
上的点的像素值复制而来,此时
中对应坐标的值被
替代,也就出现了上图中的情况。
记的投影矩阵如下式所示(N=H*W,等于<边界外扩后的>图像的总像素数):

即只有对应中某点的行在主对角线上有一个值1,其他行均为零值行。
同样,记的外边界
的投影矩阵为:

记对中点进行采样的采样矩阵为:

对、
、
的解释见下图(注意图中边界的外扩!):

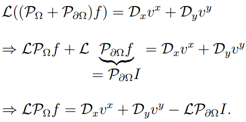
于是有,继而有:

最后一步中还是一个关于N个未知数的N维方程组,但实际上真正与问题相关的的未知数只有n个(n对应中的像素点数)。用采样矩阵
作用于其上,得:
![]()
其中,是对应于
中像素点的nx1的列向量。
以上便是用于求解目标图像中像素值的形如
的方程。解出
,用
对应的值取代目标图像中的相应值即完成泊松编辑。
当区域是一个矩形区域时,关于泊松方程的求解还有一个更高效的基于傅里叶变换的实现,以后有时间我再讲一讲。感兴趣的同学暂时可以参照http://www.ipol.im/pub/art/2016/163/的论文和代码自行研究。
效果图就不放了,网上一搜一大堆,论文中也多的是。
这篇关于泊松图像编辑/融合(Possion image editing)的原理与数值解算法的文章就介绍到这儿,希望我们推荐的文章对编程师们有所帮助!