本文主要是介绍P1_M4_L7 Tire Slip and Modeling(轮胎滑移和建模),希望对大家解决编程问题提供一定的参考价值,需要的开发者们随着小编来一起学习吧!
Content
- 1. Tire Slip (轮胎滑移)
- 1.1 Slip Angle(滑移角度)
- 1.1.1 Vehicle Slip Angle(车辆滑移角度)
- 1.1.2 Tire Slip Angle(车轮滑移角度)
- 1.2 Slip Ratio(滑移率)
- 2. Tire Modeling(轮胎建模)
- 2.1 输入与输出
- 2.2 常见轮胎模型
- 2.2.1 Analytical Model(分析模型)
- 2.2.2 Numerical Modeling(数值模型)
- 2.2.3 Parameterized Modeling(参数化模型)
- 2.3 参数化模型举例
- 2.3.1 Linear Tire Model(线性轮胎模型)
- 2.3.2 Pacejka Tire Model(Pacejka轮胎模型)
- 2.4 “滑移——力”曲线
- 2.4.1 “滑移角度——横向力”曲线
- 2.4.2 “滑移率——纵向力”曲线
前言: 我们前面建模时经常说到转速、转矩等等物理量,但是车辆的运动变换是通过和地面相互作用而产生的,而车辆与地面的唯一联系就是车轮。所以,我们应当对车轮进行建模,才能更好的分析车辆的横、纵向运动。另外,从前面的知识我们知道,车轮不打滑假设与现实车辆的真实运动差别较大,所以我们应该好好分析一下车轮打滑时的建模问题。
1. Tire Slip (轮胎滑移)
轮胎滑移有两个方向,一个是横向,一个是纵向。为了分别表示两个方向的滑移程度,定义了滑移角度表示横向的滑移,滑移率表示纵向的滑移。
1.1 Slip Angle(滑移角度)
1.1.1 Vehicle Slip Angle(车辆滑移角度)
(1)车辆滑移角度 β \beta β: 车辆的实际速度方向与车轴方向即纵向速度方向的夹角;表示横向滑移的程度,会产生横向的力。
(记不记得在无滑移假设条件下,车辆的实际速度和车轴方向是一致的)

(2) β \beta β 的计算:

1.1.2 Tire Slip Angle(车轮滑移角度)
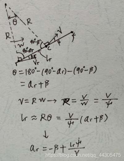
前后轮滑移角度分别为 α \alpha αf、 α \alpha αr:轮胎实际运动方向与轮胎朝向的夹角。

第一个公式的推到如下:(第二个公式类似)

1.2 Slip Ratio(滑移率)
滑移率s:表征纵向滑移的程度,会产生纵向的力。
① 负滑移率(s<0):表示车轮转动速度小于车辆实际速度,此时车轮相对地面打滑,大多出现在减速或者正常刹车情况;
② 正滑移率(s>0):表示车轮转动速度大于车辆实际速度,此时车轮相对地面旋转,大多出现在加速或者泥地情况;
③ 负单位滑移率(s=-1):表示车轮转动速度为零,此时后轮锁死,大多出现在急刹车情况。

2. Tire Modeling(轮胎建模)
2.1 输入与输出
输入: 通常为车轮滑移角度、滑移率、轮胎所受法向力、道路摩擦系数;另外可以加入更具体的参数如轮胎特性和外倾角等;
输出: 通常为轮胎所受纵向力和横向力;另外可以获得其他一些更加详细的结果。

2.2 常见轮胎模型
对于轮胎建模,现有的模型大概有三种:
分析模型、数值模型、参数化模型。
2.2.1 Analytical Model(分析模型)
基于轮胎的物理参数而建模;精度较低,但计算简单高效。

2.2.2 Numerical Modeling(数值模型)
基于轮胎的几何形状和材料性质进行有限差分和有限元多维建模;较分析模型准确,但不宜用于基于模型的控制算法。

2.2.3 Parameterized Modeling(参数化模型)
通过大量测试获得轮胎的各个参数,从而基于测得的参数进行建模;虽然准确性较高,但需要对每个轮胎进行单独测试。在实际的轮胎动态建模中广泛应用。

2.3 参数化模型举例
2.3.1 Linear Tire Model(线性轮胎模型)
在一定范围内,滑移角度、滑移率与产生的力成正比。

2.3.2 Pacejka Tire Model(Pacejka轮胎模型)

2.4 “滑移——力”曲线
2.4.1 “滑移角度——横向力”曲线

2.4.2 “滑移率——纵向力”曲线

这篇关于P1_M4_L7 Tire Slip and Modeling(轮胎滑移和建模)的文章就介绍到这儿,希望我们推荐的文章对编程师们有所帮助!