本文主要是介绍LeetCode第851题 喧闹和富有(c++)(建议二刷),希望对大家解决编程问题提供一定的参考价值,需要的开发者们随着小编来一起学习吧!
有一组 n 个人作为实验对象,从 0 到 n - 1 编号,其中每个人都有不同数目的钱,以及不同程度的安静值(quietness)。为了方便起见,我们将编号为 x 的人简称为 "person x "。
给你一个数组 richer ,其中 richer[i] = [ai, bi] 表示 person ai 比 person bi 更有钱。另给你一个整数数组 quiet ,其中 quiet[i] 是 person i 的安静值。richer 中所给出的数据 逻辑自恰(也就是说,在 person x 比 person y 更有钱的同时,不会出现 person y 比 person x 更有钱的情况 )。
现在,返回一个整数数组 answer 作为答案,其中 answer[x] = y 的前提是,在所有拥有的钱肯定不少于 person x 的人中,person y 是最安静的人(也就是安静值 quiet[y] 最小的人)。
示例 1:
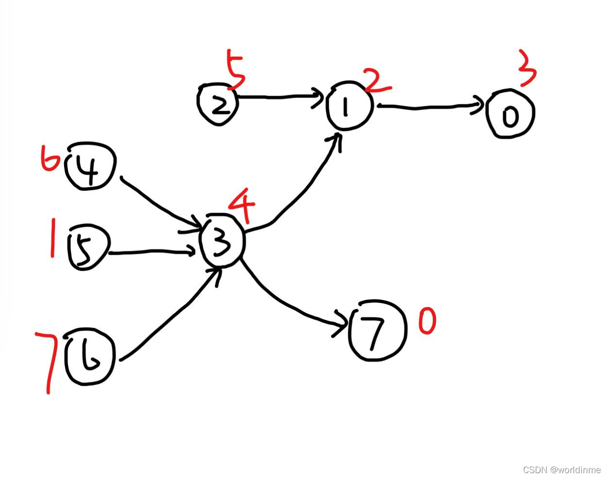
输入:richer = [[1,0],[2,1],[3,1],[3,7],[4,3],[5,3],[6,3]], quiet = [3,2,5,4,6,1,7,0]
输出:[5,5,2,5,4,5,6,7]
解释:
answer[0] = 5,
person 5 比 person 3 有更多的钱,person 3 比 person 1 有更多的钱,person 1 比 person 0 有更多的钱。
唯一较为安静(有较低的安静值 quiet[x])的人是 person 7,
但是目前还不清楚他是否比 person 0 更有钱。
answer[7] = 7,
在所有拥有的钱肯定不少于 person 7 的人中(这可能包括 person 3,4,5,6 以及 7),
最安静(有较低安静值 quiet[x])的人是 person 7。
其他的答案也可以用类似的推理来解释。
示例 2:输入:richer = [], quiet = [0]
输出:[0]
提示:n == quiet.length
1 <= n <= 500
0 <= quiet[i] < n
quiet 的所有值 互不相同
0 <= richer.length <= n * (n - 1) / 2
0 <= ai, bi < n
ai != bi
richer 中的所有数对 互不相同
对 richer 的观察在逻辑上是一致的来源:力扣(LeetCode)
链接:https://leetcode-cn.com/problems/loud-and-rich
著作权归领扣网络所有。商业转载请联系官方授权,非商业转载请注明出处。
实现思路:
建立一张图,从钱多的指向钱少的。按照示例1,画出这样一张图。

建立一个数组,存储它们的出度,并建立一个队列,将出度为0的点存进去,随着队列的进进出出,修正最安静的人。
这里要注意一个问题,在过程中一直出现报错。
这是因为对于二维数组,即便是vector的嵌套,也要初始化第一维的长度。
也就是将:
vector<vector<int>> grid;
改为:
vector<vector<int>> grid(quiet.size());
这样就完事了
实现代码:
class Solution {
public:vector<int> loudAndRich(vector<vector<int>>& richer, vector<int>& quiet) {vector<int> ans(quiet.size(),0);queue<int> q;vector<int> indeque(quiet.size(),0);vector<vector<int>> grid(quiet.size());for(int i=0;i<quiet.size();i++){ans[i]=i;}for(int i=0;i<richer.size();i++){grid[richer[i][0]].emplace_back(richer[i][1]);indeque[richer[i][1]]++;}for(int i=0;i<quiet.size();i++){if(indeque[i]==0) q.push(i);}while(!q.empty()){int x=q.front();q.pop();for(auto & y:grid[x]){indeque[y]--;if(indeque[y]==0) q.push(y);if(quiet[ans[x]]<quiet[ans[y]]) ans[y]=ans[x];}}return ans;}
};
这篇关于LeetCode第851题 喧闹和富有(c++)(建议二刷)的文章就介绍到这儿,希望我们推荐的文章对编程师们有所帮助!