本文主要是介绍让微积分穿梭于工作与学习之间(17):圆弧直线在端点处的切线及其在趋于直线时的极限,希望对大家解决编程问题提供一定的参考价值,需要的开发者们随着小编来一起学习吧!
对CAD圆弧直线不了解的朋友可以先阅读以下博文:
https://blog.csdn.net/iloveas2014/article/details/103837857
https://blog.csdn.net/iloveas2014/article/details/103848611
在上篇的末尾,我提到了线条端点处的切线在寻找封闭图形中的重要性,但没给出任何解释,为此我转发一篇博文。
https://blog.csdn.net/keng_s/article/details/67102867
大家在阅读的过程中可以看到其中的一步是要对线条进行角度排序。对于直线线段来说,角度取两点的连线即可,而曲线则不能再取连线了。大家看下面的图。

我们想要把AB,弧AC,AD三条线在A端点处按顺时针排序,正确的结果是AB,AC,AD,但若用连线AC来作为排序依据的话,那么顺序就变成AC,AB,AD了。

所以要改用弧AC在A点处的切线AC'来计算角度,如下图所示。

下面我们来尝试计算圆弧直线在端点上的切线斜率,显然当圆弧的凸度趋于0时,圆弧变为直线,切线跟连线的方向一致,如下面的动图所示。

求切线斜率,相信大家都会想到用求导的方法,不过圆弧是多值函数,所以计算的方法也特殊一些。
总的来说,要计算这种曲线的切线及其趋于直线时的极限,我想到的方法有3种:
1 利用圆弧切线的几何性质——跟切点上的半径垂直进行计算,然后计算bulge趋于0时的极限
2 对圆弧直线的一般方程进行隐函数的求导
3 把圆弧直线的一般方程看作二元函数,然后求出其偏导数,再根据以下公式求得y对x的导数

方法2和方法3其实都是隐函数的求导,只是3更为简便,同时也更难理解,毕竟涉及了二元函数。
此处我们使用方法2。感兴趣的朋友可以自行用方法1或者方法3来推导,也可以留言跟我讨论。
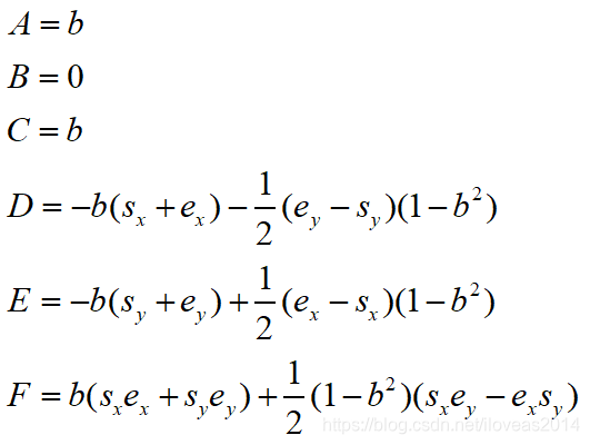
我们把二元二次方程的一般式搬过来,在最普通的情况下进行求导。然后,圆和直线都不包含xy项,可以省略

两侧对x进行求导,得到

然后我们把圆弧曲线中对应的系数代进去


至此,圆弧直线在线上任一点(x,y)的切线斜率就算出来了。
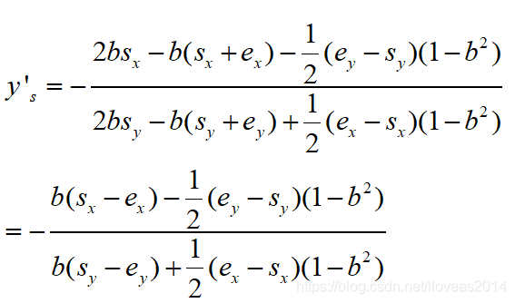
然而这个式子还是蛮复杂的,但是我们用得最多的一般都是起点和终点,那么我们分别把(sx,sy)和(ex,ey)代进去算一下。

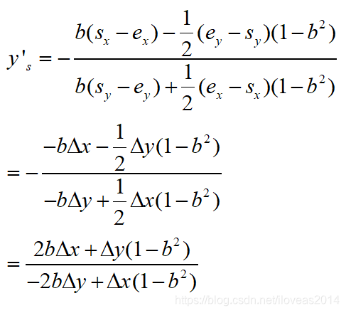
看着还是蛮复杂,但是起点和终点都是常量,因此在编程的时候我们可以把起点和终点的差值用一个向量(Δx,Δy)存起来从而让代码更清晰。那么这里的公式也能简写为

这样就简洁多了,类似地,终点的导数结果为

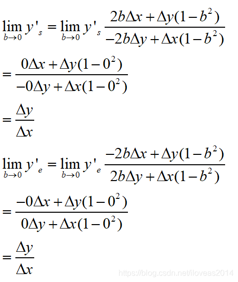
y's,y'e这两个导数值的意义是圆弧在S和E处的切线斜率,如下图的红线和蓝线所示。

然后我们算一下它们在b趋于0的时候等于多少。

它们在凸度趋于0的时候都等于起点和终点连线的斜率,跟我们的期望完全一致。
然而问题并没到此结束,因为算出来的切线没有方向,而进行角度排序的时候我们需要给出的是指定方向的切线向量,如下图所示,我们要的是AC'和水平线的夹角而非AC''

切线斜率并没有给出它们的方向,所以在项目里我用的是方法1,从而更好地对x和y的方向分别进行把控。
那么此处我就不在推导的情况下给出切线向量的结果,其实只是把导数结果拆出来,并且根据不同情况对xy给出不同的符号
起点的切线向量为

终点的切线向量为

跟导数的分子分母对照下,可以发现,起点刚好是把分子分母拆开,而终点则是把分子分母拆开后再分别取反。所以说这地方其实还是存在着很微妙的规律,就留给读者们慢慢品味了。
下篇我会给大家讲解圆弧直线的等分公式及其在趋于直线时的极限,敬请期待!
这篇关于让微积分穿梭于工作与学习之间(17):圆弧直线在端点处的切线及其在趋于直线时的极限的文章就介绍到这儿,希望我们推荐的文章对编程师们有所帮助!