本文主要是介绍[动态规划] 背包九问,希望对大家解决编程问题提供一定的参考价值,需要的开发者们随着小编来一起学习吧!
背包九问
下面是各个问题的模版题,对于代码,读者可在理解后,直接套用。
借鉴了dd大神的博客
1.01背包问题
2.完全背包问题
3.多重背包问题
4.混合背包问题
5.二维费用的背包问题
6.分组背包问题
7.背包问题求方案
8求背包问题的方案
9有依赖的背包问题
1.01背包问题
有 N 件物品和一个容量是 V 的背包。每件物品只能使用一次。
第 i 件物品的体积是 vi,价值是 wi。
求解将哪些物品装入背包,可使这些物品的总体积不超过背包容量,且总价值最大。
输出最大价值。
输入格式
第一行两个整数,N,V,用空格隔开,分别表示物品数量和背包容积。
接下来有 N 行,每行两个整数 vi,wi,用空格隔开,分别表示第 i 件物品的体积和价值。
输出格式
输出一个整数,表示最大价值。
数据范围
0<N,V≤1000
0<vi,wi≤1000
输入样例
4 5
1 2
2 4
3 4
4 5
输出样例:
8
方法:从大到小枚举体积
#include<bits/stdc++.h>
using namespace std;
const int maxn = 1001;int dp[maxn];
int n, m;int main () {cin >> n >> m;for (int i = 1; i <= n; i++) {int w, v;cin >> w >> v;for (int j = m; j >= w; j--) {dp[j] = max(dp[j], dp[j - w] + v);}}cout << dp[m];return 0;
}
2.完全背包问题
有 N 件物品和一个容量是 V 的背包。每件物品只能使用一次。
第 i 件物品的体积是 vi,价值是 wi。
求解将哪些物品装入背包,可使这些物品的总体积不超过背包容量,且总价值最大。
输出最大价值。
输入格式
第一行两个整数,N,V,用空格隔开,分别表示物品数量和背包容积。
接下来有 N 行,每行两个整数 vi,wi,用空格隔开,分别表示第 i 件物品的体积和价值。
输出格式
输出一个整数,表示最大价值。
数据范围
0<N,V≤1000
0<vi,wi≤1000
输入样例
4 5
1 2
2 4
3 4
4 5
输出样例:
8
方法从小到大枚举体积
#include<iostream>
using namespace std;
const int maxn= 1001;
int dp[maxn];
int w[maxn], v1[maxn];
int main () {int n, v;cin >> n >> v;for (int i = 1; i <= n; i++) {cin >> w[i] >> v1[i];}for (int i = 1; i <= n; i++) {for (int j = w[i]; j <= v; j++) {dp[j] = max(dp[j], dp[j - w[i]] + v1[i]);}}cout << dp[v];return 0;
}
3.多重背包问题
有 N 种物品和一个容量是 V 的背包。
第 i 种物品最多有 si 件,每件体积是 vi,价值是 wi。
求解将哪些物品装入背包,可使物品体积总和不超过背包容量,且价值总和最大。
输出最大价值。
输入格式
第一行两个整数,N,V,用空格隔开,分别表示物品种数和背包容积。
接下来有 N 行,每行三个整数 vi,wi,si,用空格隔开,分别表示第 i 种物品的体积、价值和数量。
输出格式
输出一个整数,表示最大价值。
数据范围
0<N≤1000
0<V≤2000
0<vi,wi,si≤2000
提示:
本题考查多重背包的二进制优化方法。
输入样例
4 5
1 2 3
2 4 1
3 4 3
4 5 2
输出样例:
10
根据数量,利用1 2 4 8。。。 拆分成01背包问题
#include<bits/stdc++.h>
using namespace std;
const int maxn = 2001;int dp[maxn];
int n, m;
struct node {int w, v;
};
int main () {cin >> n >> m;vector<node> cp;for (int i = 1; i <= n; i++) {int w, v, s;cin >> w >> v >> s;for (int k = 1; k <= s; k *= 2) {s -= k;cp.push_back({w * k, v * k});}if (s > 0)cp.push_back({w * s, v * s});}vector<node>::iterator it = cp.begin();for (; it != cp.end(); it++) {for (int j = m; j >= it->w; j--) {dp[j] = max(dp[j], dp[j - it->w] + it->v);}}cout << dp[m];return 0;
}
4.混合背包问题
有 N 种物品和一个容量是 V 的背包。
物品一共有三类:
第一类物品只能用1次(01背包);
第二类物品可以用无限次(完全背包);
第三类物品最多只能用 si 次(多重背包);
每种体积是 vi,价值是 wi。
求解将哪些物品装入背包,可使物品体积总和不超过背包容量,且价值总和最大。
输出最大价值。
输入格式
第一行两个整数,N,V,用空格隔开,分别表示物品种数和背包容积。
接下来有 N 行,每行三个整数 vi,wi,si,用空格隔开,分别表示第 i 种物品的体积、价值和数量。
si=−1 表示第 i 种物品只能用1次;
si=0 表示第 i 种物品可以用无限次;
si>0 表示第 i 种物品可以使用 si 次;
输出格式
输出一个整数,表示最大价值。
数据范围
0<N,V≤1000
0<vi,wi≤1000
−1≤si≤1000
输入样例
4 5
1 2 -1
2 4 1
3 4 0
4 5 2
输出样例:
8
把多重背包变成01背包,从大到小枚举体积,完全背包从小到大枚举体积。
#include<bits/stdc++.h>
using namespace std;
const int maxn = 1001;
int n, v;
int dp[maxn];
struct node {int kind;int w, v;
};
int main () {cin >> n >> v;vector<node> cp;for (int i = 1; i <= n; i++) {int w, v, s;cin >> w >> v >> s;if (s < 0) cp.push_back({-1, w, v});else if (s == 0) cp.push_back({0, w, v});else {for (int k = 1; k <= s; k *= 2) {s -= k;cp.push_back({-1, w * k, v * k});}if (s > 0) cp.push_back({-1, w * s, v * s});}}for (vector<node>::iterator it = cp.begin(); it != cp.end(); it++) {if (it->kind < 0) {for (int j = v; j >= it->w; j--) {dp[j] = max(dp[j], dp[j - it->w] + it->v);}} else {for (int j = it->w; j <= v; j++) {dp[j] = max(dp[j], dp[j - it->w] + it->v);}}}cout << dp[v];return 0;
}
5.二维费用的背包问题
有 N 件物品和一个容量是 V 的背包,背包能承受的最大重量是 M。
每件物品只能用一次。体积是 vi,重量是 mi,价值是 wi。
求解将哪些物品装入背包,可使物品总体积不超过背包容量,总重量不超过背包可承受的最大重量,且价值总和最大。
输出最大价值。
输入格式
第一行两个整数,N,V,M,用空格隔开,分别表示物品件数、背包容积和背包可承受的最大重量。
接下来有 N 行,每行三个整数 vi,mi,wi,用空格隔开,分别表示第 i 件物品的体积、重量和价值。
输出格式
输出一个整数,表示最大价值。
数据范围
0<N≤1000
0<V,M≤100
0<vi,mi≤100
0<wi≤1000
输入样例
4 5 6
1 2 3
2 4 4
3 4 5
4 5 6
输出样例:
8
将背包的体积和重量构造成一个二维的数组,这题是一个01背包,所以从大到小枚举体积。
#include<bits/stdc++.h>
using namespace std;int dp[101][101];
int n, m, v;int main () {cin >> n >> v >> m; // for(int i = 1; i <= n; i++) {int a, b, c;cin >> a >> b >> c;for (int j = v; j >= a; j--) {for (int z = m; z >= b; z--) {dp[j][z] = max(dp[j][z], dp[j - a][z - b] + c);}}}cout << dp[v][m];return 0;
}
6.分组 背包问题
有 N 组物品和一个容量是 V 的背包。
每组物品有若干个,同一组内的物品最多只能选一个。
每件物品的体积是 vij,价值是 wij,其中 i 是组号,j 是组内编号。
求解将哪些物品装入背包,可使物品总体积不超过背包容量,且总价值最大。
输出最大价值。
输入格式
第一行有两个整数 N,V,用空格隔开,分别表示物品组数和背包容量。
接下来有 N 组数据:
每组数据第一行有一个整数 Si,表示第 i 个物品组的物品数量;
每组数据接下来有 Si 行,每行有两个整数 vij,wij,用空格隔开,分别表示第 i 个物品组的第 j 个物品的体积和价值;
输出格式
输出一个整数,表示最大价值。
数据范围
0<N,V≤100
0<Si≤100
0<vij,wij≤100
输入样例
3 5
2
1 2
2 4
1
3 4
1
4 5
输出样例:
8
在01背包的基础上,进行决策,选每一组的第i个,求max
#include<bits/stdc++.h>
using namespace std;const int maxn = 101;int dp[maxn], v1[maxn], w[maxn];int n, v;
int main () {cin >> n >> v;for (int i = 1; i <= n; i++) {int t;cin >> t;for (int j = 1; j <= t; j++) cin >> v1[j] >> w[j];for (int j = v; j >= 0;j--) {for (int k = 1; k <= t; k++) {if (j >= v1[k])dp[j] = max(dp[j], dp[j - v1[k]] + w[k]);}}}cout << dp[v];return 0;
}
9有依赖的背包问题
有 N 个物品和一个容量是 V 的背包。
物品之间具有依赖关系,且依赖关系组成一棵树的形状。如果选择一个物品,则必须选择它的父节点。
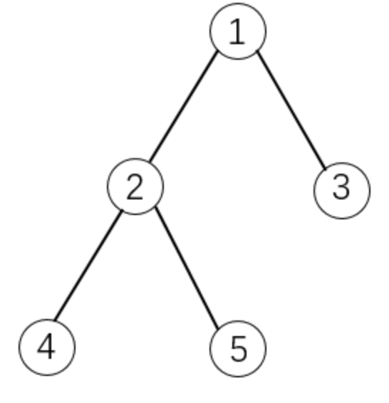
如下图所示:

如果选择物品5,则必须选择物品1和2。这是因为2是5的父节点,1是2的父节点。
每件物品的编号是 i,体积是 vi,价值是 wi,依赖的父节点编号是 pi。物品的下标范围是 1…N。
求解将哪些物品装入背包,可使物品总体积不超过背包容量,且总价值最大。
输出最大价值。
输入格式
第一行有两个整数 N,V,用空格隔开,分别表示物品个数和背包容量。
接下来有 N 行数据,每行数据表示一个物品。
第 i 行有三个整数 vi,wi,pi,用空格隔开,分别表示物品的体积、价值和依赖的物品编号。
如果 pi=−1,表示根节点。 数据保证所有物品构成一棵树。
输出格式
输出一个整数,表示最大价值。
数据范围
1≤N,V≤100
1≤vi,wi≤100
父节点编号范围:
内部结点:1≤pi≤N;
根节点 pi=−1;
输入样例
5 7
2 3 -1
2 2 1
3 5 1
4 7 2
3 6 2
输出样例:
11
树形dp+分组背包
#include<iostream>
#include<cstring>
#include<algorithm>
using namespace std;const int N = 110;int n, m;
int h[N], e[N], ne[N], idx;
int v[N], w[N];
int f[N][N];void add(int x, int y) {e[idx] = y, ne[idx] = h[x], h[x] = idx++;
}void dfs(int x) {for (int i = h[x]; i != -1; i = ne[i]) {int y = e[i];dfs(y);for (int j = m - v[x]; j >= 0; j--) {for (int k = 0; k <= j; k++) {f[x][j] = max(f[x][j], f[x][j - k] + f[y][k]);}}}for (int i = m; i >= v[x]; i--) {f[x][i] = f[x][i - v[x]] + w[x];}for (int i = 0; i < v[x]; i++) {f[x][i] = 0;}
}int main() {memset(h, -1, sizeof h);cin >> n >> m;int root;for (int i = 1; i <= n; i++) {int p;cin >> v[i] >> w[i] >> p;if (p == -1) {root = i;} else {add(p, i);}}dfs(root);cout << f[root][m] << endl;return 0;
}
这篇关于[动态规划] 背包九问的文章就介绍到这儿,希望我们推荐的文章对编程师们有所帮助!