本文主要是介绍让微积分穿梭于工作与学习之间(32):平面上一点到圆弧直线的距离及其在趋于直线时的极限,希望对大家解决编程问题提供一定的参考价值,需要的开发者们随着小编来一起学习吧!
对CAD圆弧直线不了解的朋友可以先阅读以下博文:
https://blog.csdn.net/iloveas2014/article/details/103837857
https://blog.csdn.net/iloveas2014/article/details/103848611
好久没来写博客了。因为我被人派去研究了别的东西,并且没有什么很独特的心得。
而点到圆弧直线的距离,则是一个比较小的需求(当然底层要经常用),在图形编辑器中用于实现吸附效果。
吸附的规则是,鼠标位置或者被移动对象到线条的距离小于等于某个给定值时,“鼠标”或者物体会被对齐到线条上,因此需要计算点到圆弧直线的距离才能实现。
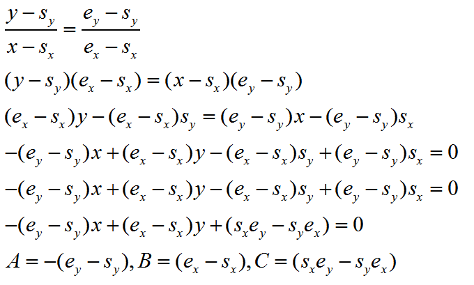
假设直线的方程为
![]()
则给定点(x,y)到直线的距离为

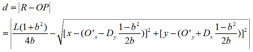
至于圆弧,书上并没有给出公式。不给出的原因大概是比较简单。给定点P到圆弧的距离正好等于P到圆心的距离和半径的差值,如下图所示。


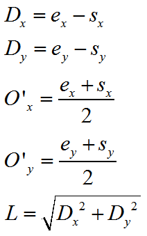
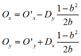
然后,我们把前面圆弧曲线的圆心公式和半径公式搬过来。同时给上图加上更多的标注方便说明。

另外给些中间常量会让演算过程看起来简洁点

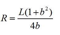
这样的话,圆心坐标和半径就分别等于


这些公式的推导可以回到15,16篇来回顾。
然后P就是给定点(x,y)
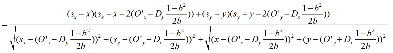
现在我们可以开始代入了

为了避免不必要的麻烦,在展开过程中,我们把绝对值号去掉,即

用有理化法去处理这个式子,发现虽然半径的表达式很简单,但由于格式跟点到圆心的距离公式差别太大,分子有理化后,分母的处理变得相当困难,所以为了这个事情,我一拖再拖,拖了足足一个月,每次难得忙里偷闲去试着推导都以失败告终。
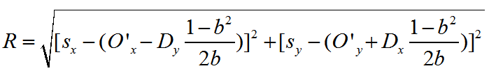
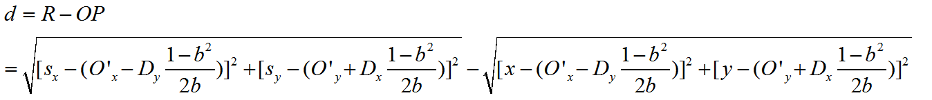
为此我把半径换成起点(用终点也是一样)跟圆心的距离,即

跟OP的区别仅仅是把x换成sx,把y换成了sy。经过这样的一个变通之后,虽然整个式子长了,但是整理起来却简单了不少,十几分钟就演算完了。
此处继续去掉绝对值号进行演算。

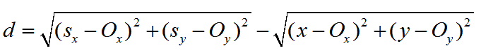
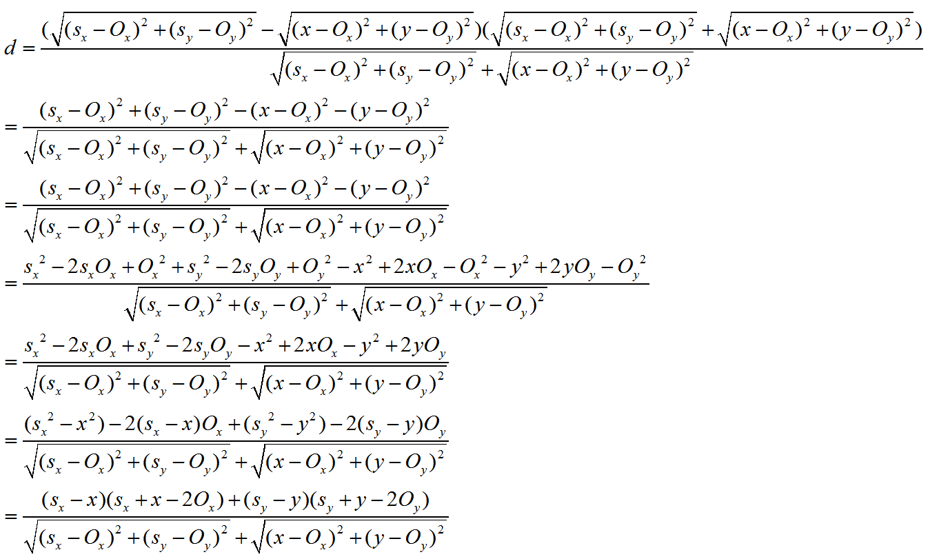
这么长的表达式,虽然我在草稿纸上是直接有理化的,但是贴到博客上发现看着蛋疼,所以,既然都用了圆心,那么有理化的时候还是先用Ox和Oy来表示圆心吧。

当然了,Ox和Oy最后还是要替换回去的,因为Ox和Oy都是跟b有关的变量。

经过这样的一波化简后,我们可以把Ox和Oy用带b的表达式套回去了。

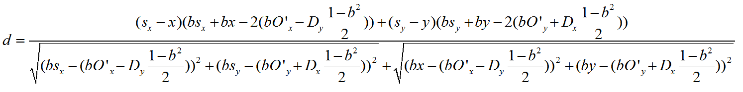
在上一篇,我们给出了有理化后分子分母除以x的技巧,那个地方的x是趋于无穷大的,而这里的b是趋于0,所以此处把除改成乘。
分子分母同时乘以b,得到

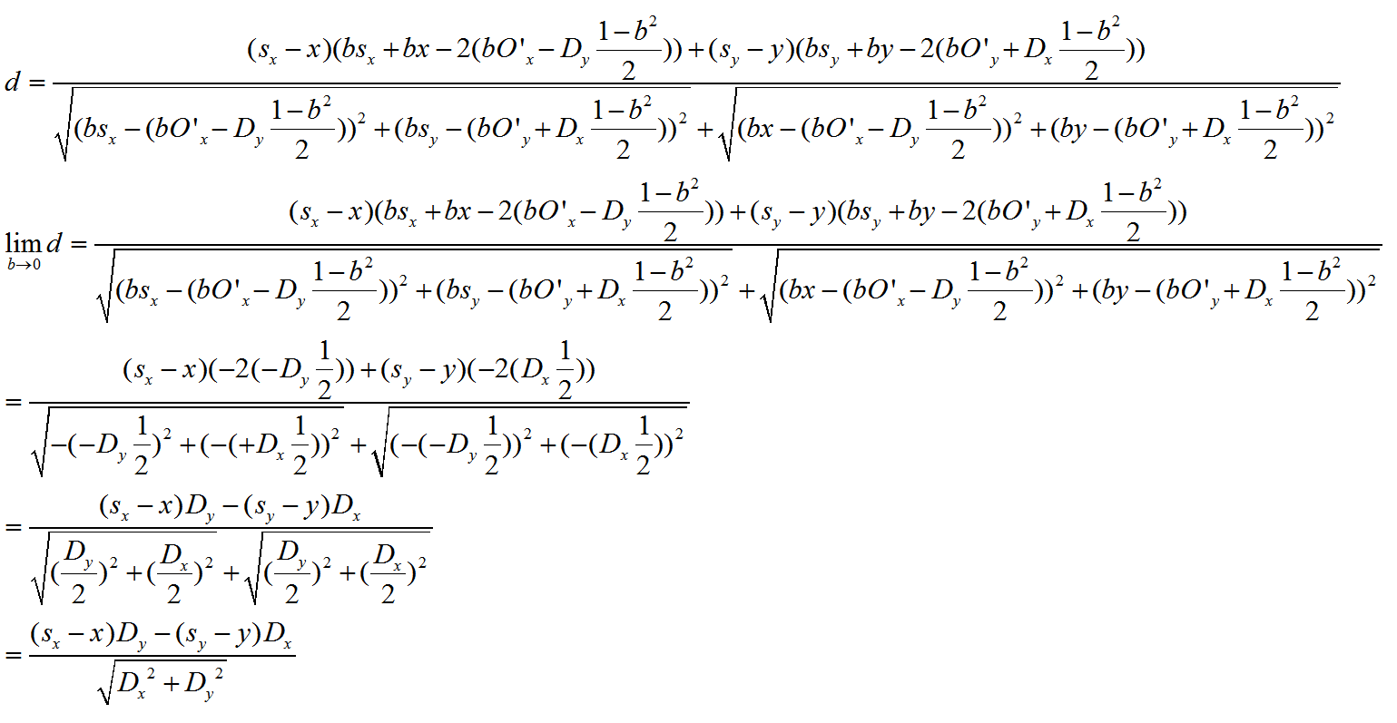
此时,b没再单独存在于分母里了,可以直接取极限。

这个过程很完美,无需使用夹逼公式,只要对b直接赋值即可得到距离在趋于直线时的极限。
现在我们把中间常量换回已知的条件

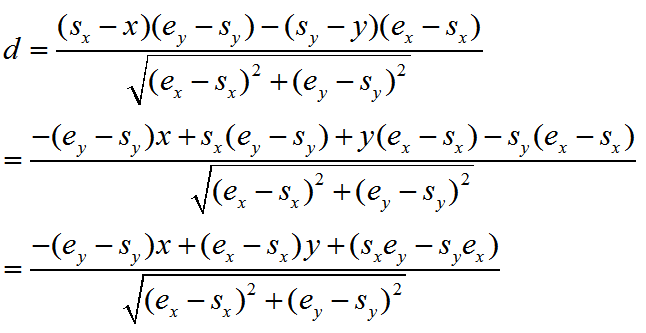
然后,我们通过直线的两点式求出直线一般方程的三个系数,看是否跟式子

完全匹配。

把ABC三个值代入,得到

跟前面的结果对照下

发现除了一个绝对值符号以外,其它东西完全一致。而前面我们提到,为了演算过程看起来更清晰,我们把绝对值号去掉了,只要补回去,结果就完全匹配了!
至此,我们正式算出了点到圆弧直线的距离公式,同时兼容直线和圆弧,且无需借助任何条件和夹逼公式。

虽然无需通过条件进行区分,但是它的运算量比分开计算还大,所以在性能要求高的场合,还是不建议合着来写。除非要公式高度统一,或者做更深入的学术研究。
快过年了,祝大家新春快乐,牛气冲天,阖家幸福,我们明年见!
这篇关于让微积分穿梭于工作与学习之间(32):平面上一点到圆弧直线的距离及其在趋于直线时的极限的文章就介绍到这儿,希望我们推荐的文章对编程师们有所帮助!