LSTM的性能局限

2023-10-18 21:10
文章标签 性能 lstm 局限

本文主要是介绍LSTM的性能局限,希望对大家解决编程问题提供一定的参考价值,需要的开发者们随着小编来一起学习吧!

元学习论文总结||小样本学习论文总结

2017-2019年计算机视觉顶会文章收录 AAAI2017-2019 CVPR2017-2019 ECCV2018 ICCV2017-2019 ICLR2017-2019 NIPS2017-2019

一:LSTM的局限性
      

循环神经网络(RNN),长短期记忆(LSTM),在现在都得到了广泛的应用。LSTM和RNN被发明于上世纪80、90年代,于2014年死而复生。接下来的几年里,它们成为了解决序列学习、序列转换(seq2seq)的方式,这也使得语音到文本识别和Siri、Cortana、Google语音助理、Alexa的能力得到惊人的提升。另外,不要忘了机器翻译,包括将文档翻译成不同的语言,或者是神经网络机器翻译还可以将图像翻译为文本,文字到图像和字幕视频等等。

      在接下来的几年里,ResNet出现了。ResNet是残差网络,意为训练更深的模型。2016年,微软亚洲研究院的一组研究员在ImageNet图像识别挑战赛中凭借惊人的152层深层残差网络(deep residual networks),以绝对优势获得图像分类、图像定位以及图像检测全部三个主要项目的冠军。之后,Attention(注意力)模型出现了。所有的大型科技企业企业已经将RNN及其变种替换为基于注意力的模型。因为比起基于注意力的模型,RNN需要更多的资源来训练和运行。

2.1 LSTM的缺点分析

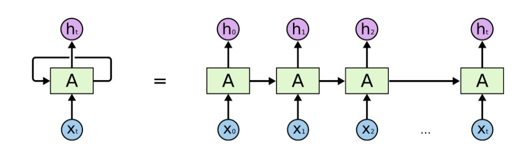
记住:不管是RNN还是LSTM及其衍生主要是随着时间推移进行顺序处理。请参阅下图中的水平箭头:

 

水平箭头的意思是长期信息需在进入当前处理单元前顺序遍历所有单元。这意味着其能轻易被乘以很多次<0的小数而损坏。这是导致vanishing gradients(梯度消失)问题的原因。

为此,今天被视为救星的LSTM模型出现了,有点像ResNet模型,可以绕过单元从而记住更长的时间步骤(LSTM之所可以解决梯度问题是因为它避免了无休止的连乘,而是边加边乘,这和resnet本身就是异曲同工的)。因此,LSTM可以消除一些梯度消失的问题。

 

从上图可以看出,这并没有解决全部问题。我们仍然有一条从过去单元到当前单元的顺序路径。事实上,这条路现在更复杂了,因为它有附加物,并且忽略了隶属于它上面的分支。毫无疑问LSTM和GRU(Gated Recurrent Uni,是LSTM的衍生)及其衍生能够记住大量更长期的信息!但是它们只能记住100个量级的序列,而不是1000个量级,或者更长的序列。

      还有一个RNN的问题是,训练它们对硬件的要求非常高。另外,在我们不需要训练这些网络快速的情况下,它仍需要大量资源。同样在云中运行这些模型也需要很多资源。训练RNN和LSTM的噩梦,RNN和LSTM的训练是困难的,因为它们需要存储带宽绑定计算,这是硬件设计者最糟糕的噩梦,最终限制了神经网络解决方案的适用性。简而言之,LSTM需要每个单元4个线性层(MLP层)在每个序列时间步骤中运行。线性层需要大量的存储带宽来计算,事实上,它们不能使用许多计算单元,通常是因为系统没有足够的存储带宽来满足计算单元。而且很容易添加更多的计算单元,但是很难增加更多的存储带宽(注意芯片上有足够的线,从处理器到存储的长电线等)。因此,RNN/LSTM及其变种不是硬件加速的良好匹配,

2.2 缺点总结

(1)RNN的梯度问题在LSTM及其变种里面得到了一定程度的解决,但还是不够。它可以处理100个量级的序列,而对于1000个量级,或者更长的序列则依然会显得很棘手。

(2)计算费时。每一个LSTM的cell里面都意味着有4个全连接层(MLP),如果LSTM的时间跨度很大,并且网络又很深,这个计算量会很大,很耗时。


————————————————————————————————————————————————

 

二:放弃 RNN/LSTM 吧,因为真的不好用!望周知~

https://blog.csdn.net/heyc861221/article/details/80174475

2014 年 RNN/LSTM 起死回生。自此,RNN/LSTM 及其变种逐渐被广大用户接受和认可。起初,LSTM 和 RNN 只是一种解决序列学习和序列翻译问题的方法(seq2seq),随后被用于语音识别并有很好的效果,比如 Siri,Cortana,Alexa 等;此外,这种技术在机器翻译领域也有应用,比如 Google Translate。

 

2015-2016 年,新的 ResNet 和 Attention 技术出现。实际上,我们可以将 LSTM 理解为一种巧妙地 bypass technique,而 attention 的成功表明了 MLP(多层感知器)网络可以被上下文向量影响的平均网络(averaging network)所替代。

 

两年过去了,我们现在已经可以给出结论:

 

放弃 RNN 和 LSTM 吧,它们真的不好用

 

基于 attention 的网络逐渐被越来越多的企业采用,比如 Google,Facebook,Salesforce 等公司都已经开始用基于attention的模型来替换RNN和其变种。RNN 在各种应用场景下时日无多,因为相比基于 attention 的模型,RNN 需要更多的资源来训练和运行。

 

编者注:训练 RNN 和 LSTM 是非常困难的,因为计算能力受到内存和带宽等的约束。这同时也是硬件设计者的噩梦,并最终限制了神经网络解决方案的适用性。简而言之,每个 LSTM 单元需要 4 个线性层(MLP 层),以便每个顺序时间步运行一次。线性层需要大量的内存带宽才能执行计算;由于系统没有足够的内存带宽将数据馈送到计算单元,实际上它们无法使用许多计算单元。添加更多的计算单元很容易,但添加更多的内存带宽却很难。因此,RNN/LSTM 及其变种并不和硬件加速非常匹配,一个可能的解决方案就是让计算在存储器设备中完成。

 

 

为什么 RNN/LSTM 真的不好用?

 

RNN,LSTM及其变种主要使用序列处理,如下图所示:

 

640?wx_fmt=png

图1 RNN中的序列处理

 

图中的箭头表示长期信息在进入当前的处理单元前需要有序地进入所有其他的处理单元。也就是说,这很容易通过多次乘小于 0 的数字来进行破坏和攻击,这就是梯度消失的原因。

 

梯度消失可以利用 LSTM 模块来补救,目前的 LSTM 可是看作是多交换网关,有点像 ResNet。因为 LSTM 可以绕过一些单元,对长时间的步骤进行记忆,因此 LSTM 可以一定程度上解决梯度消失的问题。

 

640?wx_fmt=png

图2 LSTM中的序列处理

 

从图2可以看出,从前面的单元传递来当前单元的序列路径依然存在。事实上,因为这条路径会不断添加并且会遗忘与之相关的路径分支,它会变得越来越复杂。LSTM、GRU 及其变体能学习大量的长期信息,但它们最多只能记住约 100s 的长期信息,而不是 1000s,10000s 甚至更长时间的信息。

 

RNN 还有一个问题就是并不与所有硬件兼容。如果要快速训练 RNN,那么就需要大量的计算资源,而这正是我们缺少的。如果在云上运行 RNN 模型的话,也会消耗比其他模型更多的资源。随着语音转文本需求的快速增长,云端的扩展也变得更加困难。

 

 

你需要做些什么?

 

因为大多数时间我们处理的都是实时的因果数据(casual data),我们想利用这些已知的数据来为之后的决策做准备。那如果可以避免进行序列处理,我们就可以找出更好的 look-ahead 和 look-back 的单元,这样的 look-ahead/back 就叫做 neural attention 模块。

 

这种补救方法融合了多个 neural attention 模块,组成了一个分层的 neural attention 编码器,如图3所示:

 

640?wx_fmt=jpeg

图3 分层 neural attention 编码器

 

还有一种更好地分析过去的方法就是用 attention 模块把过去所有的编码向量总结为一个上下文向量 Ct。

 

这里还有一个 attention 模块的分层,与神经网络和时间卷积网络(Temporal convolutional network )的分层非常像。分层神经 attention 编码器的多层 attention 能查看过去信息的一小部分,比如说 100 个向量,而上面分层的attention模块还能查看到 100 个下层的注意力模块,也就是 100×100 个向量。这极大地扩展了分层神经 attention 编码器的能力。

 

更重要的是将传播向量传输到网络输出所需要的路径长度:在分层网络中,路径长度与 Log(N)成比例的,其中 N 是分层的层数。这与 RNN 需要执行的T步骤形成了对照,其中 T 是需要记住的顺序的最大长度,而 T >> N。

 

Neural Turing Machines(NTM,神经图灵机)的架构也与图3类似,但是 NTM 是让神经网络来决定通过 attention 从内存中读取什么的。也就是说,真实的神经网络将决定哪个过去的向量对未来的决策更重要。

 

在内存存储方面。与 NTM 不同,上面的架构把所有之前的表示都储存在内存里,这就会造成效率比较低的问题。有一个解决的办法就是增加另外一个单元来防止有相互关系的数据多次保存。当前科学研究的重点是由应用去决定保存哪些向量,哪些不保存。

 

目前许多的公司仍在使用 RNN/LSTM 来进行语音转文本的工作,都没有意识到这种网络结构在效率和可扩展性上的缺点。

 

所以,转发这篇文章,告诉他们,RNN/LSTM 真的不好用,尽早放弃吧。

这篇关于LSTM的性能局限的文章就介绍到这儿,希望我们推荐的文章对编程师们有所帮助!



http://www.chinasem.cn/article/235165

相关文章

Docker多阶段镜像构建与缓存利用性能优化实践指南

《Docker多阶段镜像构建与缓存利用性能优化实践指南》这篇文章将从原理层面深入解析Docker多阶段构建与缓存机制,结合实际项目示例,说明如何有效利用构建缓存,组织镜像层次,最大化提升构建速度并减少... 目录一、技术背景与应用场景二、核心原理深入分析三、关键 dockerfile 解读3.1 Docke

从原理到实战解析Java Stream 的并行流性能优化

《从原理到实战解析JavaStream的并行流性能优化》本文给大家介绍JavaStream的并行流性能优化:从原理到实战的全攻略,本文通过实例代码给大家介绍的非常详细,对大家的学习或工作具有一定的... 目录一、并行流的核心原理与适用场景二、性能优化的核心策略1. 合理设置并行度:打破默认阈值2. 避免装箱

深度剖析SpringBoot日志性能提升的原因与解决

《深度剖析SpringBoot日志性能提升的原因与解决》日志记录本该是辅助工具,却为何成了性能瓶颈,SpringBoot如何用代码彻底破解日志导致的高延迟问题,感兴趣的小伙伴可以跟随小编一起学习一下... 目录前言第一章:日志性能陷阱的底层原理1.1 日志级别的“双刃剑”效应1.2 同步日志的“吞吐量杀手”

Java慢查询排查与性能调优完整实战指南

《Java慢查询排查与性能调优完整实战指南》Java调优是一个广泛的话题,它涵盖了代码优化、内存管理、并发处理等多个方面,:本文主要介绍Java慢查询排查与性能调优的相关资料,文中通过代码介绍的非... 目录1. 事故全景:从告警到定位1.1 事故时间线1.2 关键指标异常1.3 排查工具链2. 深度剖析:

深入解析Java NIO在高并发场景下的性能优化实践指南

《深入解析JavaNIO在高并发场景下的性能优化实践指南》随着互联网业务不断演进,对高并发、低延时网络服务的需求日益增长,本文将深入解析JavaNIO在高并发场景下的性能优化方法,希望对大家有所帮助... 目录简介一、技术背景与应用场景二、核心原理深入分析2.1 Selector多路复用2.2 Buffer

基于Python Playwright进行前端性能测试的脚本实现

《基于PythonPlaywright进行前端性能测试的脚本实现》在当今Web应用开发中,性能优化是提升用户体验的关键因素之一,本文将介绍如何使用Playwright构建一个自动化性能测试工具,希望... 目录引言工具概述整体架构核心实现解析1. 浏览器初始化2. 性能数据收集3. 资源分析4. 关键性能指

Zabbix在MySQL性能监控方面的运用及最佳实践记录

《Zabbix在MySQL性能监控方面的运用及最佳实践记录》Zabbix通过自定义脚本和内置模板监控MySQL核心指标(连接、查询、资源、复制),支持自动发现多实例及告警通知,结合可视化仪表盘,可有效... 目录一、核心监控指标及配置1. 关键监控指标示例2. 配置方法二、自动发现与多实例管理1. 实践步骤

MySQL深分页进行性能优化的常见方法

《MySQL深分页进行性能优化的常见方法》在Web应用中,分页查询是数据库操作中的常见需求,然而,在面对大型数据集时,深分页(deeppagination)却成为了性能优化的一个挑战,在本文中,我们将... 目录引言:深分页,真的只是“翻页慢”那么简单吗?一、背景介绍二、深分页的性能问题三、业务场景分析四、

MySQL 多列 IN 查询之语法、性能与实战技巧(最新整理)

《MySQL多列IN查询之语法、性能与实战技巧(最新整理)》本文详解MySQL多列IN查询,对比传统OR写法,强调其简洁高效,适合批量匹配复合键,通过联合索引、分批次优化提升性能,兼容多种数据库... 目录一、基础语法:多列 IN 的两种写法1. 直接值列表2. 子查询二、对比传统 OR 的写法三、性能分析

Linux系统性能检测命令详解

《Linux系统性能检测命令详解》本文介绍了Linux系统常用的监控命令(如top、vmstat、iostat、htop等)及其参数功能,涵盖进程状态、内存使用、磁盘I/O、系统负载等多维度资源监控,... 目录toppsuptimevmstatIOStatiotopslabtophtopdstatnmon