本文主要是介绍阅读《随机局部搜索扰动的粒子群优化算法》的感想,希望对大家解决编程问题提供一定的参考价值,需要的开发者们随着小编来一起学习吧!
阅读《随机局部搜索扰动的粒子群优化算法》的感想
ps:发表时间2008年
摘要的阅读
1.对于PSO进行改进,改进的方向是对于gBest粒子的局部寻优进行优化
2.融合的算法是SLS算法
英文摘要和中文摘要在一句话上有不同。
中文“通过典型测试函数的计算表明,该算法在收敛速度和精度上都有不同程度的改善”
英文"Four well-designed problems were used to evaluate the proposed algorithm . Compared with the basic PSO algorithm, the proposed algorithm shows its effectiveness and efficiency"
在使用SLS来优化PSO的步骤就像之前使用其他的DE之类的算法优化一样,都是在

调用算法进行局部优化搜索。
局部随机搜索算法SLS本身就是之前已经学过了的。再次展示如下:

这次对于PSO的取值是:c1、c2=2.09,w为0.9-0.4随迭代系数线性减少,Pgbest是0.3(这个参数设置跟之前利用在某个系统的参数设置一模一样),迭代次数30次
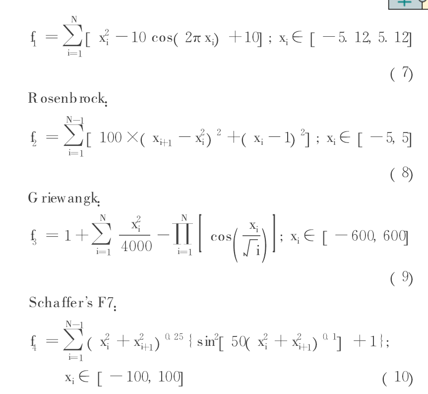
这次的测试对象不是系统了,而是四个简单函数

关于这几个函数的介绍:
Rosenbrock函数是一个经典的复杂优化问题函数‚表现为非突的病态特性,常被用来评价优化算法的执行效率;Griewangk函数和SchafferʾsF7函数是标准的多模态函数,大量的局部极值点使得算法难以搜索到函数最优解.
算法性能测试
依然还是一样的,比较最好值、最坏值、平均值,然后分析图像的转折点,稳定点;从而分析算法的执行效率,迭代次数,容不容易搜索到全局最优解,收敛速度。
这篇关于阅读《随机局部搜索扰动的粒子群优化算法》的感想的文章就介绍到这儿,希望我们推荐的文章对编程师们有所帮助!