本文主要是介绍图像处理论文中parameters和FLOPs,希望对大家解决编程问题提供一定的参考价值,需要的开发者们随着小编来一起学习吧!
看论文时经常遇到FLOPS and the number of parameters,不是很清楚是个什么东西,这篇文章给了一定的说明。
原文链接:https://blog.csdn.net/sinat_34460960/article/details/84779219
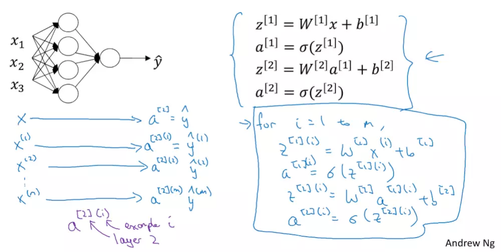
在这之前我们先看一下CNN的前向传播计算公式,便于理解什么是parameters和FLOPs,这里参考Andrew老师课堂上的课件,如下:

前向传播过程其实就是将输入或上层输出左乘以一个,然后加上一个
,最后使用合适的
函数进行激活的过程,结果便是下层的输入或是最终的输出,多层网络就不断重复这个过程。
如果要让网络自己学习到输入数据中的良好特征,一般而言就需要搭建较复杂的网络,也就是包含更多的层,更大的层,更复杂的层等等。这基本是一个正相关的过程,即隐藏在数据中的特征越高层,网络就要越复杂,当然这个复杂是有一个合适的度的,不然就存在欠拟合和过拟合的问题了。
于是这就会产生一些实践上的问题,一是这个复杂的网络到底需要多少参数才能定义它?二是数据过一遍这么复杂的网络需要多大的计算量呢?这也分别就是我们今天要讨论的两个量:parameters和FLOPs。
在本文中,我们以下图的AlexNet网络模型来说明在CNN中二者的计算过程:

parameters
从Andrew的前向传播PPT中,我们可以知道CNN中的parameters分为两种:和
,注意这里
是大写,表示一个矩阵,也因此它相比
,既含有更多的信息,同时也是parameters的主要部分。
在AlexNet模型结构图中,每个大长方体中的小长方体就是,它是大小为
的三维矩阵,其中
表示卷积核(filter或kernel)的高度,
表示卷积核的宽度,
表示输入的通道数(Channels),一般情况下,
和
的大小是一样的,且一般比较小,3、5、7之类。
同时由于CNN特点,我们知道,一个卷积核在输入数据上从左往右、从上往下扫一遍,便会计算出很多个前向传播的值,这些值就会按原来相对位置拼成一个feature map,当然一个卷积核提取的信息太过有限,于是我们需要个不同的卷积核各扫数据,于是会产生
个feature map,这
个feature map在拼在一起就是这一层的输出,也是一个三维矩阵,即大长方体。设每个卷积核扫一遍之后输出的高度和宽度分别为
(注意区分两个
),同时
就是输出的通道数,记作
,则输出矩阵大小为
。
例如在从AlexNet图中左边第一个大长方体(输入图片)到第二个大长方体(图中是两个并列小长方体,这是作者分布式训练的需要,这里分析时可以将二者并起来看)这个过程,即是从的矩阵,经过
的卷积核,变为
的矩阵的过程。

注意到两个特点,一是是一个三维矩阵,通道数始终和输入数据保持一致,所以实际是二维空间的扫描,二是
在扫描的过程中是不变的,即一个卷积核是扫一遍数据而不是某个点。于是对于AlexNet模型的第一层卷积,
的大小是
,个数是
,也就是
,于是这一个卷积层的parameters中权重的个数为
。
另外对于,从前向传播公式可以看出,和
是一一对应的,维度也和
是对应的,即
,还是对于AlexNet的第一个卷积层,parameters中偏置的个数为
。
于是我们可以总结出规律:对于某一个卷积层,它的parameters个数为:,参数定义同上文。
刚才讲的都是对于卷积层的,对于全连接层,比如AlexNet的后三层,其实要更简单,因为这实际是两组一维数据之间(如果是卷积层过度到全连接层,如上图第5层到第6层,会先将第5层三维数据flatten为一维,注意元素总个数未变)的两两连接相乘,然后加上一个偏置即可。所以我们也可以总结出规律:对于某个全连接层,如果输入的数据有个节点,输出的数据有
个节点,它的parameters个数为:
。如果上层是卷积层,
就是上层的输出三维矩阵元素个数,即三个维度相乘。
FLOPs
首先介绍一个很形似的概念——FLOPS:全称是floating point operations per second,意指每秒浮点运算次数,即用来衡量硬件的计算性能,比如nvidia官网上列举各个显卡的算力(Compute Capability)用的就是这个指标,如下图,不过图中是TeraFLOPS,前缀Tera表示量级:MM,2^12之意。

这里我们讨论的FLOPs全称是floating point operations,即表示浮点运算次数,小s后缀是复数的缩写,可以看做FLOPS在时间上的积分,区别类似速度和时间。
同样从Andrew的前向传播PPT中,我们也可以看到,这里的浮点运算主要就是相关的乘法,以及
相关的加法,每一个
对应
中元素个数个乘法,每一个
对应一个加法,因此好像FLOPs个数和parameters是相同的。
但其实有一个地方我们忽略了,那就是每个feature map上每个点的权值是共享,这是CNN的一个重要特性,也可以说是优势(因此才获得特征不变性,以及大幅减少参数数量),所以我们在计算FLOPs是只需在parameters的基础上再乘以feature map的大小即可,即对于某个卷积层,它的FLOPs数量为:,其中
表示该层参数的数目。
还是里AlexNet网络第一卷积层为例,它的FLOPs数目为: 。
对于全连接层,由于不存在权值共享,它的FLOPs数目即是该层参数数目:。
小结
运用上面的规律,我们便可以很轻松地计算出AlexNet网络的parameters和FLOPs数目,如下图(来自网络,出处已不可考):

这里不再重复举例。但是其中就是有一个地方和我算的有出入:第四卷积层的FLOPs数目,我计算是:,图中是
。
最后还要说一点关于FLOPs的计算,在知乎上也有讨论,另外Nvidia的Pavlo Molchanov等人的文章的APPENDIX中也有介绍,由于是否考虑biases,以及是否一个MAC算两个operations等因素,最终的数字上也存在一些差异。但总的来说,计算FLOPs其实也是在对比之下才显示出某种算法,或者说网络的优势,如果我们坚持一种计算标准下的对比,那么就是可以参考的,有意义的计算结果。
参考链接:
均已在文中用超链接显示。
这篇关于图像处理论文中parameters和FLOPs的文章就介绍到这儿,希望我们推荐的文章对编程师们有所帮助!