本文主要是介绍【你也能看得懂的电磁场与电磁波系列连载 14】,希望对大家解决编程问题提供一定的参考价值,需要的开发者们随着小编来一起学习吧!
在上一个连载里面,我们通过静磁场的两个基本方程推导出了静磁场的边界条件。
那么今天的连载,我们将给大家看看这种形式的安培环路定理所带来的矛盾。
首先,我们看安培环路定理的左边部分:是磁场的曲线积分,那么讲道理它就应该只跟你这个曲面边界的形状有关。
在安培环路定理里,我们可以随意选一个曲面,然后所有穿过这个曲面的电流会在这个曲面的边界上形成一个环绕磁场。那么这个曲面如何选取就很有意思了。我们下面看看这个电容器电路:

当开关闭合时,很明显导线上是有电流经过的。如果我们选取的曲面是上图的阴影部分,曲面的边界(安培环路)是虚线部分,那么使用安培环路定理没有任何问题,因为这个安培环路确实包围了电流,而且也确确实实有电流穿过了这个曲面。但是,大家看看下面我这样取一个曲面:

如果我这样取,曲面是图中的黑色区域,曲面的边界(也就是安培环路)依然是虚线部分。但是很明显,我这个曲面是经过了电容器了,而电容器在充电的时候,电容器里面是没有电流的。也就是说,压根就没有电流经过这个闭合曲面。
那么下面我们捋一捋矛盾到底是什么:
首先,如果我们选取了第一个情况的曲面,那么这个曲面是有电流通过的,那么就会在这个曲面的边界产生一个环绕的磁场。
而如果我选取的是第二种情况的曲面,那么这个曲面是没有电流通过的,那么也不会在这个曲面的边界产生环绕的磁场。
但是,问题来了,正如我刚刚说的,安培环路定律公式的左边只是闭合回路的线积分,它只限定曲面的边界,并不管你曲面的其它地方,而不幸的是我们上面两个情况下,曲面的边界是一样的!
这说明,安培环路定律还有其不完善的地方!
那么根据我们的常识,电容器充电的时候电路中是有电流的,所以它周围应该是会产生磁场的。可是根据我们在第二个情况下所选取的曲面,却没有电流通过,那么是什么产生的磁场呢?
我们不妨分析一下电容器充电的过程:
电池驱使着电荷不断地向电容器聚集,电容器中间虽然没有电流,但是它两边聚集的电荷却越来越多。电荷越来越多的话,在电容器两个夹板之间的电场强度是不是也会越来越大?电场强度越来越大的话,这意味着什么?

没错!电场强度越来越大,就意味着通过这个曲面的电通量越来越大。所以,虽然在电容器两个极板之间虽然没有电流,但是又变化的电场导致通过曲面的电通量发生变化。
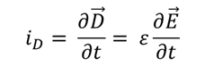
因此,麦克斯韦大胆地假设极板之间存在位移电流,且位移电流可以表示为:

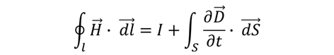
那么把这个电流加进原本的安培环路定理的右边,就可以得到修正之后的安培环路定理:

如果将 I I I 用体电流密度的形式写出来,那么就是:

这下子,我们才算是真正弄明白了电生磁的意义。所以其实我们之前看的那个安培环路定理里面的 I I I 表示的是 传导电流和运流电流。而我们今天就是把位移电流加进去了。那么很自然地,位移电流密度就是电位移 D ˉ \bar{D} Dˉ 对时间的偏导数了。
这个式子也是 M a x w e l l Maxwell Maxwell 方程关于电生磁的描述。那么,很自然地,有了电生磁,那么肯定有磁生电,因此,在下一个连载里面,我们详细看一看磁如何生电,并且推导 M a x w e l l Maxwell Maxwell 的最后一个方程。
这篇关于【你也能看得懂的电磁场与电磁波系列连载 14】的文章就介绍到这儿,希望我们推荐的文章对编程师们有所帮助!