RBF-Softmax:让模型学到更具表达能力的类别表示

2024-06-21 08:38

本文主要是介绍RBF-Softmax:让模型学到更具表达能力的类别表示,希望对大家解决编程问题提供一定的参考价值,需要的开发者们随着小编来一起学习吧!

点击上方“AI公园”,关注公众号,选择加“星标“或“置顶”


导读

这是一篇商汤科技的ECCV2020的论文,用一种非常优雅的方法解决了传统softmax在训练分类时的两个问题,并在多个数据集上取得了很好的效果,代码已开源。

公众号后台回复“RBF”,下载已打包好的论文和代码。

RBF-Softmax: Learning Deep Representative Prototypes with Radial Basis Function Softmax

摘要

交叉熵是深度学习中非常常用的一种损失,通过交叉熵学到的特征表示会有比较大的类内的多样性。因为传统的softmax损失优化的是类内和类间的差异的最大化,也就是类内和类间的距离(logits)的差别的最大化,没有办法得到表示类别的向量表示来对类内距离进行正则化。之前的方法都是想办法增加类内的内聚性,而忽视了不同的类别之间的关系。本文提出了Radial Basis Function(RBF)距离来代替原来的softmax中的內积,这样可以自适应的给类内和类间距离施加正则化,可以得到更好的表示类别的向量,从而提高性能。

1. 介绍

在使用交叉熵损失进行分类的时候,一般我们会将样本通过一个卷积神经网络,得到样本的特征表示,然后再来决定样本的类别标签。确定类别标签的时候,我们先计算样本表示向量和表示类别的向量的距离,得到logits,一般来说,距离的度量方式包括內积,余弦以及欧式距离,都可以用来得到logits。在很多现有的方法中,得到的logits会进行softmax的归一化,得到每个类别的概率。

欧式距离是一种很常用的相似性度量方法,而且具有很清晰的几何意义。但是,现有的基于softmax的方法并不是直接去优化欧式距离,而是优化类内和类间的相对差别。对比损失和三元组损失则是直接去优化欧式距离,也得到了很好的效果,但是需要比较麻烦的样本挖掘方法,而且比较不容易收敛,所以,无法完全取代传统的softmax损失。

本文的贡献有:

1、讨论了传统的softmax的主要缺陷。

2、提出了RBF softmax的方法来解决传统softmax的问题。

3、通过实验证明了RBF softmax在分类上的有效性。

在mnist数据集中各种softmax的特征可视化如下:

2. 方法

2.1 softmax交叉熵损失以及Prototype的分析

传统的softmax交叉熵损失的计算方式为:

其中,fij表示样本xi与类别特征Wj的相似度,当j=yi时,表示的就是xi与其对应的类别的特征Wj的相似度,也就是类内的sample-prototype距离,在文中我们叫做类内logit。对应的,j≠yi的时候,叫做类间logit。在度量相似度的时候,常常会用內积和欧式距离。

在softmax损失中,prototype可以看做是一个特定类别的所有样本的代表,直觉上,这个理想的prototype应该在该类别的所有样本的特征向量的几何中心上。因此,prototype需要非常显著的表达能力,包括两个方面:

1、Prototype应该具有显著的区别不同类别的样本的能力。类间的距离需要大于类内的距离。

2、Prototype应该可以显示出类别之间的关系,也就是说相似的类别应该比差别明显的类别靠的更近。

图2中描述了这两个方面:

图2,从a中可以看到,黑点是类别的prototype,各种颜色的圆点是样本的特征,相似的类别的特征和prototype是可分的,但是距离相比明显有区别的类别要更靠近一些。b是训练刚开始的阶段。c是训练的后期。

最后的特征分布非常依赖于使用的损失函数。softmax的logit的计算方法会导致两种缺陷。

训练的开始会有损失分配的偏差。因为刚开始训练的时候,特征xi和prototype Wyj并不能很好的表示他们之间的相似度,我们希望给样本的损失一些约束,以免受到离群点较大的负面影响。如图2(b)。表1显示了在训练开始的时候,样本的类内距离具有很大的多样性。最终,这种有偏差的损失分配会导致类别的prototype之间的显著的偏差,并影响真实的特征分布。

训练后期的大类内sample-prototype距离。在训练的后期,softmax也会有问题。如图2(c)所示,当一个样本的类间sample-prototype距离显著大于其类内的sample-prototype距离的时候,损失会很小,即便此时类内的logit很大。但是,我们希望能有个较大的loss来让这个样本可以更加靠近其类别的prototype。

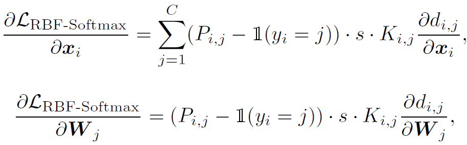
2.2 RBF-Softmax损失函数

为了解决上面的两个问题,我们提出了一个距离,叫做Radial Basis Function kernel distance(RBF-score),用来度量xi和Wj之间的相似度:

其中,dij是xi和wj之间的欧式距离,γ是超参数。相比于无界的內积和欧式距离,RBF-score在欧式距离变大的时候会衰减,其值域是0到1,RBF-score很好的度量了xi和wj之间的相似度,可以用作softmax中的logit。我们这样定义RBF-Softmax:

其中,s是超参数,用来扩展RBF-score的尺度。

我们再看下RBF-Softmax是如何克服上面说的两个问题的。

刚开始训练的时候,我们需要平衡类内的logits,而开始的时候,类内的logits往往会比较大,我们通过RBF kernel可以将非常大的欧式距离映射成相对小的RBF-score,这样就显著的减小了类内的多样性。这样的话,训练的开始阶段,类内的偏差就会显著的变小。另一方面,在训练的后期,传统的softmax给出的概率很容易就可以到1,但是用了RBF的概率很难到1,这样可以持续的进行优化。

超参数的影响。我们看下不同的超参数γ,s对训练的影响,如下图。

图3(a)中,当γ变大的时候,RBF-score也会变大,样本及其对应的prototype的相似度也会变大,优化任务变得简单。图3(b)(c)显示了不同的s下将欧式距离和RBF-score映射到概率的表现。s控制了概率的范围以及分类任务的难易程度:对于固定的欧式距离和RBF-score,小的s导致了概率的狭窄的范围,使得分类任务变得困难。从梯度的角度也能得到相似的结论,RBF-score和s决定了梯度的大小。

3. 实验

3.1 Prototype的探索实验

图4显示了WordNet上的不同类别的prototype的相似度矩阵:

很明显,RBF-Softmax得到的相似度矩阵和WordNet的相似度矩阵更加类似。

表2显示了两种不同的指标:

3.2 MNIST上的探索实验

不同超参数下的准确率。

不同loss的准确率:

3.3 CIFAR-10/100上的实验

不同损失函数的准确率:

3.4 ImageNet的实验

请长按或扫描二维码关注本公众号

喜欢的话,请给我个好看吧

这篇关于RBF-Softmax:让模型学到更具表达能力的类别表示的文章就介绍到这儿,希望我们推荐的文章对编程师们有所帮助!



http://www.chinasem.cn/article/1080734

相关文章

Linux五种IO模型的使用解读

《Linux五种IO模型的使用解读》文章系统解析了Linux的五种IO模型(阻塞、非阻塞、IO复用、信号驱动、异步),重点区分同步与异步IO的本质差异,强调同步由用户发起,异步由内核触发,通过对比各模... 目录1.IO模型简介2.五种IO模型2.1 IO模型分析方法2.2 阻塞IO2.3 非阻塞IO2.4

详解如何使用Python从零开始构建文本统计模型

《详解如何使用Python从零开始构建文本统计模型》在自然语言处理领域,词汇表构建是文本预处理的关键环节,本文通过Python代码实践,演示如何从原始文本中提取多尺度特征,并通过动态调整机制构建更精确... 目录一、项目背景与核心思想二、核心代码解析1. 数据加载与预处理2. 多尺度字符统计3. 统计结果可

SpringBoot整合Sa-Token实现RBAC权限模型的过程解析

《SpringBoot整合Sa-Token实现RBAC权限模型的过程解析》:本文主要介绍SpringBoot整合Sa-Token实现RBAC权限模型的过程解析,本文给大家介绍的非常详细,对大家的学... 目录前言一、基础概念1.1 RBAC模型核心概念1.2 Sa-Token核心功能1.3 环境准备二、表结

Spring Security基于数据库的ABAC属性权限模型实战开发教程

《SpringSecurity基于数据库的ABAC属性权限模型实战开发教程》:本文主要介绍SpringSecurity基于数据库的ABAC属性权限模型实战开发教程,本文给大家介绍的非常详细,对大... 目录1. 前言2. 权限决策依据RBACABAC综合对比3. 数据库表结构说明4. 实战开始5. MyBA

Java的IO模型、Netty原理解析

《Java的IO模型、Netty原理解析》Java的I/O是以流的方式进行数据输入输出的,Java的类库涉及很多领域的IO内容:标准的输入输出,文件的操作、网络上的数据传输流、字符串流、对象流等,这篇... 目录1.什么是IO2.同步与异步、阻塞与非阻塞3.三种IO模型BIO(blocking I/O)NI

基于Flask框架添加多个AI模型的API并进行交互

《基于Flask框架添加多个AI模型的API并进行交互》:本文主要介绍如何基于Flask框架开发AI模型API管理系统,允许用户添加、删除不同AI模型的API密钥,感兴趣的可以了解下... 目录1. 概述2. 后端代码说明2.1 依赖库导入2.2 应用初始化2.3 API 存储字典2.4 路由函数2.5 应

C#集成DeepSeek模型实现AI私有化的流程步骤(本地部署与API调用教程)

《C#集成DeepSeek模型实现AI私有化的流程步骤(本地部署与API调用教程)》本文主要介绍了C#集成DeepSeek模型实现AI私有化的方法,包括搭建基础环境,如安装Ollama和下载DeepS... 目录前言搭建基础环境1、安装 Ollama2、下载 DeepSeek R1 模型客户端 ChatBo

SpringBoot快速接入OpenAI大模型的方法(JDK8)

《SpringBoot快速接入OpenAI大模型的方法(JDK8)》本文介绍了如何使用AI4J快速接入OpenAI大模型,并展示了如何实现流式与非流式的输出,以及对函数调用的使用,AI4J支持JDK8... 目录使用AI4J快速接入OpenAI大模型介绍AI4J-github快速使用创建SpringBoot

0基础租个硬件玩deepseek,蓝耘元生代智算云|本地部署DeepSeek R1模型的操作流程

《0基础租个硬件玩deepseek,蓝耘元生代智算云|本地部署DeepSeekR1模型的操作流程》DeepSeekR1模型凭借其强大的自然语言处理能力,在未来具有广阔的应用前景,有望在多个领域发... 目录0基础租个硬件玩deepseek,蓝耘元生代智算云|本地部署DeepSeek R1模型,3步搞定一个应

Deepseek R1模型本地化部署+API接口调用详细教程(释放AI生产力)

《DeepseekR1模型本地化部署+API接口调用详细教程(释放AI生产力)》本文介绍了本地部署DeepSeekR1模型和通过API调用将其集成到VSCode中的过程,作者详细步骤展示了如何下载和... 目录前言一、deepseek R1模型与chatGPT o1系列模型对比二、本地部署步骤1.安装oll