本文主要是介绍160.相交链表---链表(Java),希望对大家解决编程问题提供一定的参考价值,需要的开发者们随着小编来一起学习吧!
给你两个单链表的头节点 headA 和 headB ,请你找出并返回两个单链表相交的起始节点。如果两个链表不存在相交节点,返回 null 。
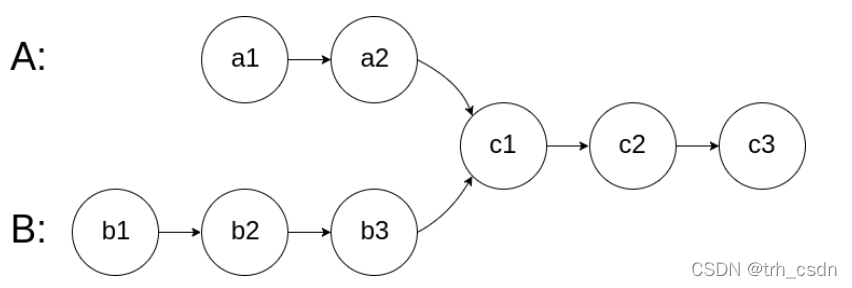
图示两个链表在节点 c1 开始相交:

题目数据 保证 整个链式结构中不存在环。
注意,函数返回结果后,链表必须 保持其原始结构 。
自定义评测:
评测系统 的输入如下(你设计的程序 不适用 此输入):
intersectVal - 相交的起始节点的值。如果不存在相交节点,这一值为 0
listA - 第一个链表
listB - 第二个链表
skipA - 在 listA 中(从头节点开始)跳到交叉节点的节点数
skipB - 在 listB 中(从头节点开始)跳到交叉节点的节点数
评测系统将根据这些输入创建链式数据结构,并将两个头节点 headA 和 headB 传递给你的程序。如果程序能够正确返回相交节点,那么你的解决方案将被 视作正确答案 。


规律:
1.如果链表A和链表B不相交,则它们最后都会走到空的位置。
2.当指针 pointA 遍历到链表 A 的尾节点时,此时指针 pointA 走了 a 个节点,将指针 pointA 指向链表 B 的头部,继续向后遍历,直至走到 c1,此时指针 pointA 总共走了 a + ( b - c ) 步。
当指针 pointB 遍历到链表 B 的尾节点时,此时指针 pointB 走了 b 个节点,将指针 pointB 指向链表 A 的头部,继续向后遍历,直至走到 c1,此时指针 pointB 总共走了 b + ( a - c ) 步。
根据数学知识,a + ( b - c ) = b + ( a - c ) ,如果 c > 0,表明两链表有公共尾部, c1 存在,两两链表同时到达 c1;如果 c = 0,表明两链表没有公共尾部,指针 pointA 和 pointB 都指向 NULL。
/*** Definition for singly-linked list.* public class ListNode {* int val;* ListNode next;* ListNode(int x) {* val = x;* next = null;* }* }*/
public class Solution {public ListNode getIntersectionNode(ListNode headA, ListNode headB) {if(headA == null || headB == null) return null;//边界条件,如果链表A和链表B的头节点都是空的就直接返回空了ListNode pointA = headA;//指针pointA指向头节点AListNode pointB = headB;//指针pointB指向头节点Bwhile(pointA != pointB){//链表A和链表B不相交,继续执行while循环if(pointA == null){//如果遍历到链表A的结尾pointA = headB;//把指针指向链表B继续遍历,直到链表A和链表B相交}else{pointA = pointA.next;//如果没有遍历到链表A的结尾,继续遍历}if(pointB == null){//如果遍历到链表B的结尾pointB = headA;//把指针指向链表A继续遍历,直到链表A和链表B相交}else{pointB = pointB.next;//如果没有遍历到链表B的结尾,继续遍历} }return pointA;//最后链表A和链表B相交,返回哪一个都行,headA 和 headB 不相交,那么 pointA 和 pointB 均为 null,也返回任意一个均可}
}
这篇关于160.相交链表---链表(Java)的文章就介绍到这儿,希望我们推荐的文章对编程师们有所帮助!