本文主要是介绍AcWing 206. 石头游戏(矩阵快速幂 关于矩阵的一些理解),希望对大家解决编程问题提供一定的参考价值,需要的开发者们随着小编来一起学习吧!
石头游戏在一个 n 行 m 列 (1≤n,m≤8) 的网格上进行,每个格子对应一种操作序列,操作序列至多有10种,分别用0~9这10个数字指明。
操作序列是一个长度不超过6且循环执行、每秒执行一个字符的字符串。
每秒钟,所有格子同时执行各自操作序列里的下一个字符。
序列中的每个字符是以下格式之一:
1、数字09:表示拿09个石头到该格子。
2、NWSE:表示把这个格子内所有的石头推到相邻的格子,N表示上方,W表示左方,S表示下方,E表示右方。
3、D:表示拿走这个格子的所有石头。
给定每种操作序列对应的字符串,以及网格中每个格子对应的操作序列,求石头游戏进行了 t 秒之后,石头最多的格子里有多少个石头。
在游戏开始时,网格是空的。
输入格式
第一行4个整数n, m, t, act。
接下来n行,每行m个字符,表示每个格子对应的操作序列。
最后act行,每行一个字符串,表示从0开始的每个操作序列。
输出格式
一个整数:游戏进行了t秒之后,所有方格中石头最多的格子有多少个石头。
数据范围
1≤m,n≤8,
1≤t≤108,
1≤act≤10
输入样例:
1 6 10 3
011112
1E
E
0
输出样例:
3
样例解释
样例中给出了三组操作序列,第一个格子执行编号为0的操作序列”1E”,第二至五个格子执行编号为1的操作序列”E”,第六个格子执行编号为2的操作序列”0”。
这是另一个类似于传送带的结构,左边的设备0间隔地产生石头并向东传送。
设备1向右传送,直到设备2。
10秒后,总共产生了5个石头,2个在传送带上,3个在最右边。
思路:
思路和代码都是书上的,就不解释了。
简要说一下我对矩阵递推的理解:
假设 1 ∗ n 1*n 1∗n的矩阵乘上 x ∗ y x*y x∗y的矩阵
那么会出现 F [ i ] = ∑ F [ j ] ∗ a [ j ] [ i ] F[i] = ∑F[j]*a[j][i] F[i]=∑F[j]∗a[j][i]
相当于j,i两个状态间发生了转移。
而对于题目的递推关系就可以用矩阵来表示,矩阵乘法满足结合律,当存在很多相同递推关系时,可以用快速幂的形式加速递推。
再说对于矩阵乘法的理解:
线性代数只是混过了考试,很多概念没有完全理解。
可以参考一下阮一峰的博客
http://www.ruanyifeng.com/blog/2015/09/matrix-multiplication.html
现在对于矩阵乘法的理解是,是一种运算的方法,可以(可以有多种解读)用来表达线性方程组的关系
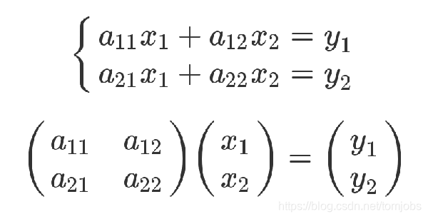
从方程组

到了对应的矩阵。

左边矩阵是 n ∗ m n*m n∗m的
中间的矩阵是 k ∗ 1 的 k * 1的 k∗1的
其中 m = k m=k m=k,这是很自然的,因为未知数必须和系数一一对应。
n则是新矩阵的纵长,代表了有几个方程组。
同理,将中间矩阵扩展宽度q,那么右边矩阵也会扩展相应宽度q。
假设 q = 2
[x a]
[y b]
同样是这个矩阵的每一列与左边矩阵的每一行对应相乘,得到的矩阵中每一列都可以看做一个线性方程组,那么有了q个线性方程组。
就会有 c [ i ] [ j ] = ∑ a [ i ] [ k ] ∗ b [ k ] [ j ] c[i][j] = ∑a[i][k]*b[k][j] c[i][j]=∑a[i][k]∗b[k][j]
如果去掉所谓系数和未知数,统一改为变量,这实际就是一个c[i][j]就是关于a[i][k]和b[k][i]的递推式。
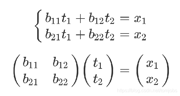
假设有关于x和y的线性方程组

那么y和x的递推关系为
y i = ∑ x j ∗ a j i yi=∑xj*aji yi=∑xj∗aji
又有x和t的线性方程组

那么x和t的递推关系为 x i = ∑ t j ∗ b j i xi=∑tj*bji xi=∑tj∗bji
那么由y和x的递推关系和x和t的递推关系,我们就可以导出
t和y的递推关系
y i = ∑ ( ∑ t k ∗ b k j ) ∗ a j i yi=∑(∑tk*bkj)*aji yi=∑(∑tk∗bkj)∗aji
用图表示就是

前两个矩阵相乘以后为

很明显符合以上的递推式。
图片均转自阮一峰博客。
#include <cstdio>
#include <cstring>
#include <algorithm>using namespace std;const int maxn = 105;
typedef long long ll;
int n,m,t,act;
int a[maxn][maxn];
ll c[maxn][maxn],e[maxn][maxn][maxn];
ll d[maxn][maxn],f[maxn];
char b[maxn][maxn];
int p;int num(int x,int y)
{return (x - 1) * m + y;
}void mul(ll x[maxn],ll y[maxn][maxn])
{ll z[maxn];memset(z,0,sizeof(z));for(int i = 1;i <= p;i++){for(int j = 1;j <= p;j++){z[i] += x[j] * y[j][i];}}for(int i = 1;i <= p;i++){f[i] = z[i];}
}void mul2(ll x[maxn][maxn],ll y[maxn][maxn])
{ll z[maxn][maxn];memset(z,0,sizeof(z));for(int i = 1;i <= p;i++){for(int j = 1;j <= p;j++){for(int k = 1;k <= p;k++){z[i][j] += x[i][k] * y[k][j];}}}for(int i = 1;i <= p;i++){for(int j = 1;j <= p;j++){x[i][j] = z[i][j];}}
}int main()
{scanf("%d%d%d%d",&n,&m,&t,&act);for(int i = 1;i <= n;i++){for(int j = 1;j <= m;j++){scanf("%1d",&a[i][j]);a[i][j]++;}}for(int i = 1;i <= act;i++){scanf("%s",b[i]);}p = n * m + 1;for(int k = 1;k <= 60;k++){for(int i = 1;i <= n;i++){for(int j = 1;j <= m;j++){int x = a[i][j],y = c[i][j];if(b[x][y] >= '0' && b[x][y] <= '9'){e[k][p][num(i,j)] = b[x][y] - '0';e[k][num(i,j)][num(i,j)] = 1;}else if(b[x][y] == 'N' && i > 1) e[k][num(i,j)][num(i-1,j)] = 1;else if(b[x][y] == 'W' && j > 1)e[k][num(i,j)][num(i,j-1)] = 1;else if(b[x][y] == 'S' && i < n)e[k][num(i,j)][num(i+1,j)] = 1;else if(b[x][y] == 'E' && j < m)e[k][num(i,j)][num(i,j+1)] = 1;c[i][j] = (y + 1) % strlen(b[x]);}}e[k][p][p] = 1;}memcpy(d,e[1],sizeof(e[1]));for(int k = 2;k <= 60;k++){mul2(d,e[k]);}ll ans = 0;f[p] = 1;int w = t / 60;while(w){if(w & 1) mul(f,d);mul2(d,d);w >>= 1;}w = t % 60;for(int i = 1;i <= w;i++) mul(f,e[i]);for(int i = 1;i < p;i++) ans = max(ans,f[i]);printf("%lld\n",ans);return 0;
}
这篇关于AcWing 206. 石头游戏(矩阵快速幂 关于矩阵的一些理解)的文章就介绍到这儿,希望我们推荐的文章对编程师们有所帮助!