本文主要是介绍协方差的理解,希望对大家解决编程问题提供一定的参考价值,需要的开发者们随着小编来一起学习吧!
1. 协方差的意义:
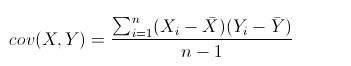
协方差的定义,两个变量总体误差的期望:


定理:数据0中心化后, (X * X转置) /n 等于协方差矩阵
解决多维样本之间的特征联系:

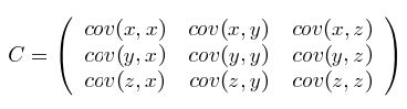
协方差矩阵:

可见:协方差矩阵是一个对称的矩阵,而且对角线是各个维度上的方差。
①协方差就是看两个变量是否正负相关,也就是数值上变化是否同或反向;
②相关系数直接衡量的就是线性相关关系,取值就在+-1之间,体现的含义是X和Y多大程度在一条斜率存在且不为0的直线上;

相关系数值域在[-1,1]之间,-1表示最强负相关,1表示最强正相关,0表示不相关。
Cov(a,b)= Cov(b,a)
相关系数:
其中:D(X)为X的方差,D(Y)为Y的方差,Corr(X,Y)称为随机变量X和Y的(Pearson)相关系数。
1. Corr(X,Y)=1的时候,说明两个随机变量完全正相关,即满足Y=aX+b,a>0
考虑Corr(X,X),两个随机变量相同,肯定满足线性关系,此时,Cov(X,X)=Var(X),容易得到Corr(X,Y)=1
2. Corr(X,Y)=-1的时候,说明两个随机变量完全负相关,即满足Y=-aX+b,a>0
3. 0<| Corr(X,Y)|<1的时候,说明两个随机变量具有一定程度的线性关系。
PS:
1.统计学基本概念公式
统计里最基本的概念:样本的均值,方差(协方差的对角线,协方差特例),标准差(散布度),中位数,众数

2. 理解协方差矩阵的关键就在于牢记它计算的是不同维度之间的协方差,而不是不同样本之间,拿到一个样本矩阵,我们最先要明确的就是一行是一个样本还是一个维度。
这篇关于协方差的理解的文章就介绍到这儿,希望我们推荐的文章对编程师们有所帮助!