本文主要是介绍微积分 重难点记录 四 近似积分 + 反常积分,希望对大家解决编程问题提供一定的参考价值,需要的开发者们随着小编来一起学习吧!
微积分 重难点记录 见 微积分 重难点记录
知识点一:



知识点二:
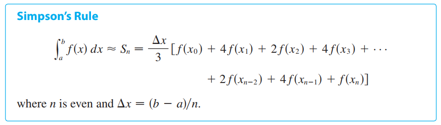
中点定理就是根据中间点的值来计算积分值:

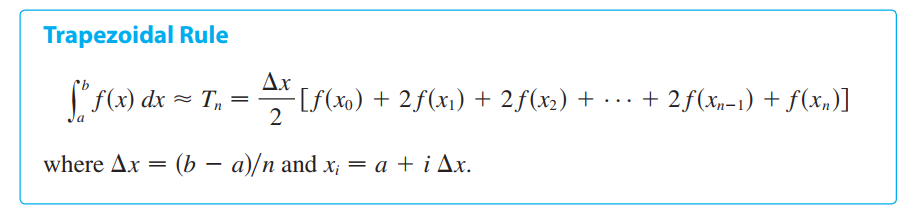
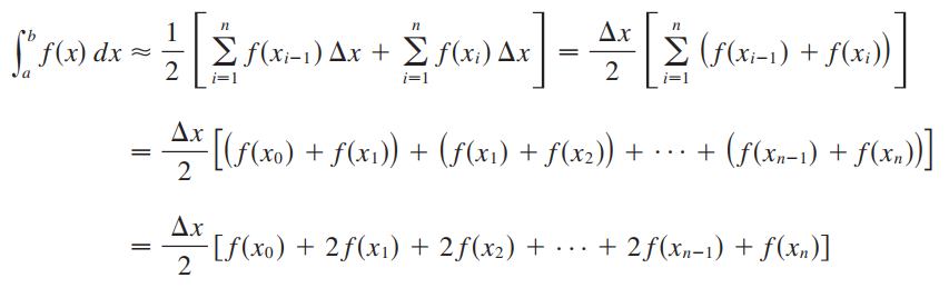
而Trapezoidal 则是利用了两个边界值的中值,所以如下图:
粉色表示中点定理的误差,蓝色表示Trapezoidal的误差,故中点的误差更小。

知识点三:

证明过程见书上。


知识点四:



题目五:




题目六:



知识点七:





这篇关于微积分 重难点记录 四 近似积分 + 反常积分的文章就介绍到这儿,希望我们推荐的文章对编程师们有所帮助!