本文主要是介绍弹性常数关系,希望对大家解决编程问题提供一定的参考价值,需要的开发者们随着小编来一起学习吧!


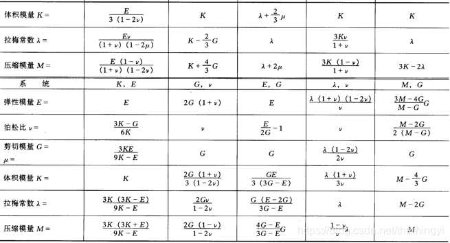
各向同性材料的三个弹性常数E,G,μ之间存在着如下关系:
个人笔记使用,如有侵权联系后删除
这篇关于弹性常数关系的文章就介绍到这儿,希望我们推荐的文章对编程师们有所帮助!
本文主要是介绍弹性常数关系,希望对大家解决编程问题提供一定的参考价值,需要的开发者们随着小编来一起学习吧!


各向同性材料的三个弹性常数E,G,μ之间存在着如下关系:
个人笔记使用,如有侵权联系后删除
这篇关于弹性常数关系的文章就介绍到这儿,希望我们推荐的文章对编程师们有所帮助!
http://www.chinasem.cn/article/856266。
23002807@qq.com