本文主要是介绍概率论与数理统计学习笔记——第12讲——协方差、相关系数和矩(2.相关系数的性质),希望对大家解决编程问题提供一定的参考价值,需要的开发者们随着小编来一起学习吧!
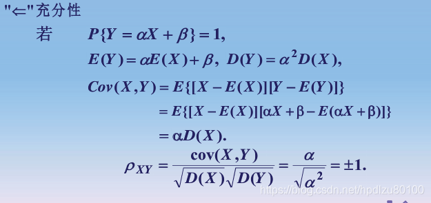
1. 相关系数的性质(正相关、负相关、不相关、线性关系)





2. 独立变量不相关






这篇关于概率论与数理统计学习笔记——第12讲——协方差、相关系数和矩(2.相关系数的性质)的文章就介绍到这儿,希望我们推荐的文章对编程师们有所帮助!
本文主要是介绍概率论与数理统计学习笔记——第12讲——协方差、相关系数和矩(2.相关系数的性质),希望对大家解决编程问题提供一定的参考价值,需要的开发者们随着小编来一起学习吧!
1. 相关系数的性质(正相关、负相关、不相关、线性关系)





2. 独立变量不相关






这篇关于概率论与数理统计学习笔记——第12讲——协方差、相关系数和矩(2.相关系数的性质)的文章就介绍到这儿,希望我们推荐的文章对编程师们有所帮助!
http://www.chinasem.cn/article/839770。
23002807@qq.com