本文主要是介绍Nature Biotechnology | 新技术整合取得宏基因组MAGs研究新突破,希望对大家解决编程问题提供一定的参考价值,需要的开发者们随着小编来一起学习吧!
微生物群落可能包括密切相关的不同谱系,这使得宏基因组的组装变得复杂,并阻碍了完整宏基因组微生物基因组(MAGs)的组装。研究人员发现,长读长高精准的HiFi测序与Hi-C分箱相结合可以解决这一挑战,能够区分几乎相同的生物,甚至可用于复杂的微生物群落,使得研究人员可以更完整全面地分类微生物群落。
美国农业部Timothy P. L. Smith、加州大学旧金山分校Pavel A. Pevzner等研究人员,利用HiFi测序结合先进的算法,从复杂微生物群落中生成亲缘关系相近的完整宏基因组组装MAGs。这一研究成果于2022年1月3日发表在《Nature Biotechnology》(IF=54.908)期刊,论文题为“Generating lineage-resolved, complete metagenome-assembled genomes from complex microbial communities”(https://doi.org/10.1038/s41587-021-01130-z)。

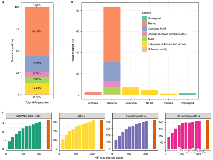
本研究对绵羊粪便进行了宏基因组HiFi测序,通过宏基因组数据结合Hi-C binning方法,组装到428个MAGs,完整度超过90%,其中包括44个单个环状contigs的MAGs。


图1 Contigs水平比较pCLR和HiFi组装

图2 HiFi宏基因组组装低丰度物种MAGs

图3 组装得到的MAGs系统发育进化树
为了解决区分高度相似的菌株问题,研究人员采用了一种由Pevzner实验室开发的组装算法——metaFlye。同时,他们还用PacBio的程序MAGPhase来区分单个样本中非常相似的细菌菌株,即通过区分数万碱基的基因组序列中的SNP单倍型来区分相似微生物。MAGPhase在本数据集中确定了220个亲缘关系高度相似的MAGs。

图4 使用MAGPhase在宏基因组中进行SNP单倍型检测

图5 不同测序深度的MAGs组装结果,MAGs的总数量和完整性随测序深度的增加而增加
HiFi解析复杂微生物群落中密切相关微生物的能力提高有着广泛的应用,例如,生物合成基因簇的鉴别以及移动遗传元件与宿主关联的精确度。研究人员利用Hi-C分箱确定了1,400个完整的和350个部分的生物合成基因簇,其中大部分是新发现的。同时鉴定了424个潜在的宿主-病毒(其中298个宿主-质粒关联)。
鉴定绵羊及其他牲畜的微生物组还有助于开发方法来减少疾病和温室气体排放。菌株水平的基因组解析将有助于追踪与抗生素耐药性有关的基因,并确定畜牧业导致人类和动物疾病中抗生素耐药性上升的程度。

图5 HiFi reads提高了移动遗传元件与候选宿主物种的关联
总之,HiFi宏基因组能够跨越直系同源基因组区域并解析物种水平和菌株水平单个微生物基因组,获得复杂细菌群落的真正宏基因组MAGs。由此产生的谱系解析完整MAGs是迈向“完整宏基因组学”的一步——从复杂的宏基因组样本中分离出高质量微生物基因组。所以,就像将完整基因组应用于罕见病诊断一样,完整宏基因组学将可能很快就进入医学和许多其他学科。
参考文献
Generating lineage-resolved, complete metagenome-assembled genomes from complex microbial communities. Nature Biotechnology, 2022.
这篇关于Nature Biotechnology | 新技术整合取得宏基因组MAGs研究新突破的文章就介绍到这儿,希望我们推荐的文章对编程师们有所帮助!