本文主要是介绍估计理论笔记1 - 标量下Cramer Rao LB公式推导以及与MVUE的关系,希望对大家解决编程问题提供一定的参考价值,需要的开发者们随着小编来一起学习吧!
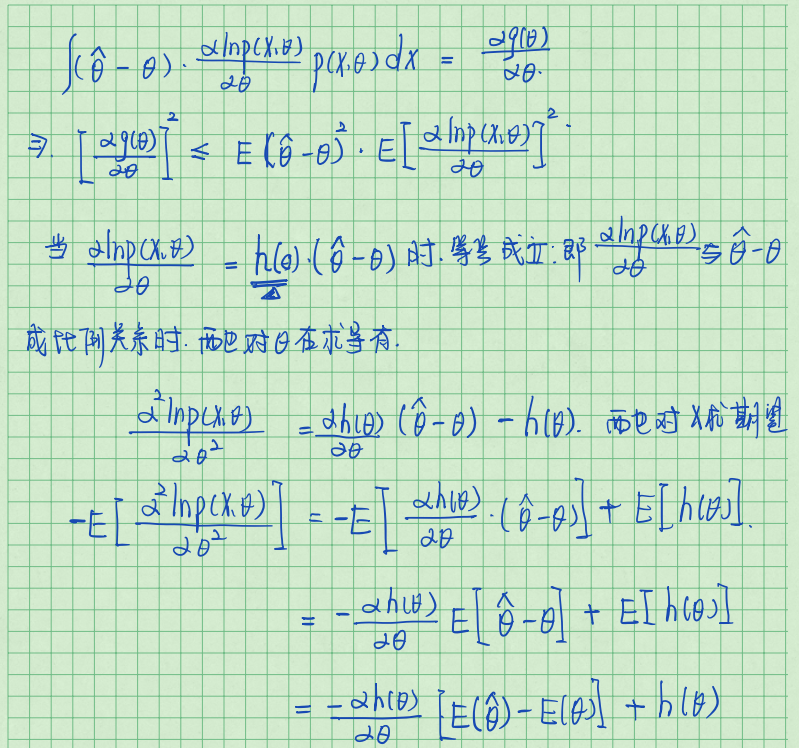
CRLB的推导其实有两个关键的地方,第一个关键的是如何理解满足"正则"条件,第二个地方是柯西不等式的使用,并且在柯西不等式取等号的时候,与统计量的MVUE的联系。
第一 : 正则条件,他的意思其实就是说,你再使用概率密度函数的时候,这些个带参数的概率目的函数是满足概率密度函数的定义的,在直接一点讲,概蜜在x轴上的积分等于1,这个在证明中使用到了
第二:柯西不等式取等号的条件,是在a = kb的条件中,书上关于克拉美劳定义证明时,他直接把k就告诉你是等于fisher信息量的,这里我开始一直很迷惑,后来才发现,应该是先满足a = kb,然后在通过进一步推导,才发现,原来比例系数K就是fisher信息量。
一下是证明过程和一些注意的地方:







此文是关于标量下的cramer-rao下界,其实在统计量达到下界的情况下,如果他同时是无偏的,那么就可以用它来直接得到UVME,但有些情况下得不到,那么只能通过后续的blackwell来构造。
这篇关于估计理论笔记1 - 标量下Cramer Rao LB公式推导以及与MVUE的关系的文章就介绍到这儿,希望我们推荐的文章对编程师们有所帮助!