本文主要是介绍吴恩达机器学习之多变量线性回归:多维特征、多变量梯度下降、梯度下降法实践之特征缩放和学习率、特征和多项式回归、正规方程及不可逆性(详细笔记,建议收藏,已有专栏),希望对大家解决编程问题提供一定的参考价值,需要的开发者们随着小编来一起学习吧!
吴恩达机器学习栏目清单
专栏直达:https://blog.csdn.net/qq_35456045/category_9762715.html
文章目录
- 4.多变量线性回归(Linear Regression with Multiple Variables)
- 4.1 多维特征
- 4.2 多变量梯度下降
- 4.3 梯度下降法实践1-特征缩放
- 4.4 梯度下降法实践2-学习率
- 4.5 特征和多项式回归
- 4.6 正规方程
- 4.7 正规方程及不可逆性(选修)
4.多变量线性回归(Linear Regression with Multiple Variables)
4.1 多维特征
参考视频: 4 - 1 - Multiple Features (8 min).mkv
目前为止,我们探讨了单变量/特征的回归模型,现在我们对房价模型增加更多的特征,例如房间数楼层等,构成一个含有多个变量的模型,模型中的特征为


增添更多特征后,我们引入一系列新的注释:

4.2 多变量梯度下降
参考视频: 4 - 2 - Gradient Descent for Multiple Variables (5 min).mkv
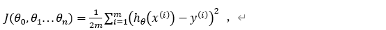
与单变量线性回归类似,在多变量线性回归中,我们也构建一个代价函数,则这个代价函数是所有建模误差的平方和,即:

其中:

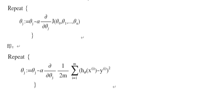
我们的目标和单变量线性回归问题中一样,是要找出使得代价函数最小的一系列参数。 多变量线性回归的批量梯度下降算法为:

求导数后得到:

我们开始随机选择一系列的参数值,计算所有的预测结果后,再给所有的参数一个新的值,如此循环直到收敛。
代码示例:

Python 代码:(多变量线性回归的代价函数)
def computeCost(X这篇关于吴恩达机器学习之多变量线性回归:多维特征、多变量梯度下降、梯度下降法实践之特征缩放和学习率、特征和多项式回归、正规方程及不可逆性(详细笔记,建议收藏,已有专栏)的文章就介绍到这儿,希望我们推荐的文章对编程师们有所帮助!