本文主要是介绍【每日一更】<吴恩达-机器学习>正规方程不可逆性,希望对大家解决编程问题提供一定的参考价值,需要的开发者们随着小编来一起学习吧!
目录
一、Normal equation - 正规方程:
1.梯度下降法:
2.正规方程法:
3.梯度下降和正规方程的选择:
二、正规方程和不可逆性 - Normal equation and non-invertibility:
一、Normal equation - 正规方程:
1.梯度下降法:

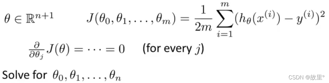
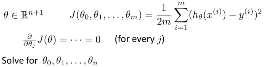
Normal equation: Method to solve for analytically.


2.正规方程法:

通过下面这个方程就可以得到最小的 值:

对于特征值,不需要进行特征缩放!
3.梯度下降和正规方程的选择:

二、正规方程和不可逆性 - Normal equation and non-invertibility:
有时候XTX是不可逆的(奇异矩阵)。
造成不可逆的原因通常是以下两个:
- 有冗余特征: 有两个特征之间存在着一定联系,比如一个单位x1是米,另一个x2单位是千米,但表示的是同一个特征,这时候这两个特征之间存在着关系x2=x1。 根据线性代数的知识, 线形相关的矩阵不可逆的。
- 特征数n>训练集数m
这篇关于【每日一更】<吴恩达-机器学习>正规方程不可逆性的文章就介绍到这儿,希望我们推荐的文章对编程师们有所帮助!