本文主要是介绍全额与净额结算实例解析,希望对大家解决编程问题提供一定的参考价值,需要的开发者们随着小编来一起学习吧!
我们经常听到谁谁谁是全额实时结算,谁谁谁是净额分批结算等概念,今天我们就简单介绍一下什么是全额结算,什么是净额结算。
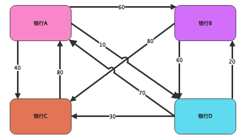
看下面这个例子,四家银行在一个结算周期内,有如下的结算关系,箭头是资金流方向,线条上的是结算金额:

我们来看在不同的结算模型下的结算情况。
一、全额结算
是指在资金转账前并不进行帐户金额的对冲,以实际的支付金额进行转账的结算方式。比如我要给你100,你要给我50,全额结算下我先给你100,你再给我50,发生了2笔转账,总金额150元。我们来看开头的例子:

我们从以下几个维度分析:
1)银行间的交易渠道维度:6条渠道;

2)银行间资金转账的实际笔数:9笔;
这篇关于全额与净额结算实例解析的文章就介绍到这儿,希望我们推荐的文章对编程师们有所帮助!