本文主要是介绍如何理解DAG中的Source和Sink,希望对大家解决编程问题提供一定的参考价值,需要的开发者们随着小编来一起学习吧!
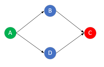
最近在学习图相关的知识,在DAG中遇到一个未知的概念Source和Sink,然后我搜了一下国内的资源,好像没有关于该概念的讲解,最后我在stack overflow上找到了相关解答,先给出摘出的部分英文原文回答吧:By definition vertex with indegree 0 is called source and vertex with outdegree 0 is called sink. 其大致意思是在有向图中,入度为0的顶点称为source,出度为0的顶点称为sink。下面给出一个例子:

上图中顶点A便是一个Source,顶点C为一个Sink。最后贴一下原回答链接:Source and Sink in DAGs
这篇关于如何理解DAG中的Source和Sink的文章就介绍到这儿,希望我们推荐的文章对编程师们有所帮助!