本文主要是介绍凸优化学习-(十九)深入分析对偶问题,希望对大家解决编程问题提供一定的参考价值,需要的开发者们随着小编来一起学习吧!
凸优化学习
学习笔记
一、原问题最优值 p ∗ \text p^* p∗与与对偶问题最优值 d ∗ \text d^* d∗分析
1、背景知识
对于一个普通优化问题:
min f 0 ( x ) ( P ) s.t. f i ( x ) ≤ 0 i = 1 ⋯ m h i ( x ) = 0 i = 1 ⋯ p \begin{aligned} \min&& f_0(x)&\\ (\text P)\qquad\text{s.t.}&&f_i(x)&\le0\qquad i=1\cdots m\\ &&h_i(x)&=0\qquad i=1\cdots p\\ \end{aligned}\\ min(P)s.t.f0(x)fi(x)hi(x)≤0i=1⋯m=0i=1⋯p
拉格朗日函数( lagrangian function \text{lagrangian function} lagrangian function):
l ( x , λ , v ) = f 0 ( x ) + ∑ i = 1 m λ i f i ( x ) + ∑ i = 1 p v i h i ( x ) l(x,\lambda,v)=f_0(x)+\sum_{i=1}^m\lambda_if_i(x)+\sum_{i=1}^pv_ih_i(x) l(x,λ,v)=f0(x)+i=1∑mλifi(x)+i=1∑pvihi(x)
由拉格朗日函数构造的对偶函数( dual function \text{dual function} dual function):
g ( λ , v ) = inf x ∈ D l ( x , λ , v ) g(\lambda,v)=\inf_{x\in D}l(x,\lambda,v) g(λ,v)=x∈Dinfl(x,λ,v)
其对偶问题为:
max g ( λ , v ) ( D ) s.t. λ ≥ 0 \begin{aligned} \max&& g(\lambda,v)&\\ (\text D)\qquad\text{s.t.}&&\lambda\ \ge0&\\ \end{aligned}\\ max(D)s.t.g(λ,v)λ ≥0
结论:
- 对偶问题是凸优化问题。
- d ∗ ≤ p ∗ \text d^*\le\text p^* d∗≤p∗
定义:
- p ∗ \text p^* p∗:原问题最优值。 d ∗ \text d^* d∗:对偶问题最优值。
- 弱对偶 Weak Duality \text{Weak Duality} Weak Duality: d ∗ ≤ p ∗ \text d^*\le\text p^* d∗≤p∗时。任何优化问题都是弱对偶。
强对偶 Strong Duality \text{Strong Duality} Strong Duality: d ∗ = p ∗ \text d^*=\text p^* d∗=p∗时。凸问题一般是强对偶。 - p ∗ − d ∗ \text p^*-\text d^* p∗−d∗:对偶间隙 Duality gap \text{Duality gap} Duality gap。
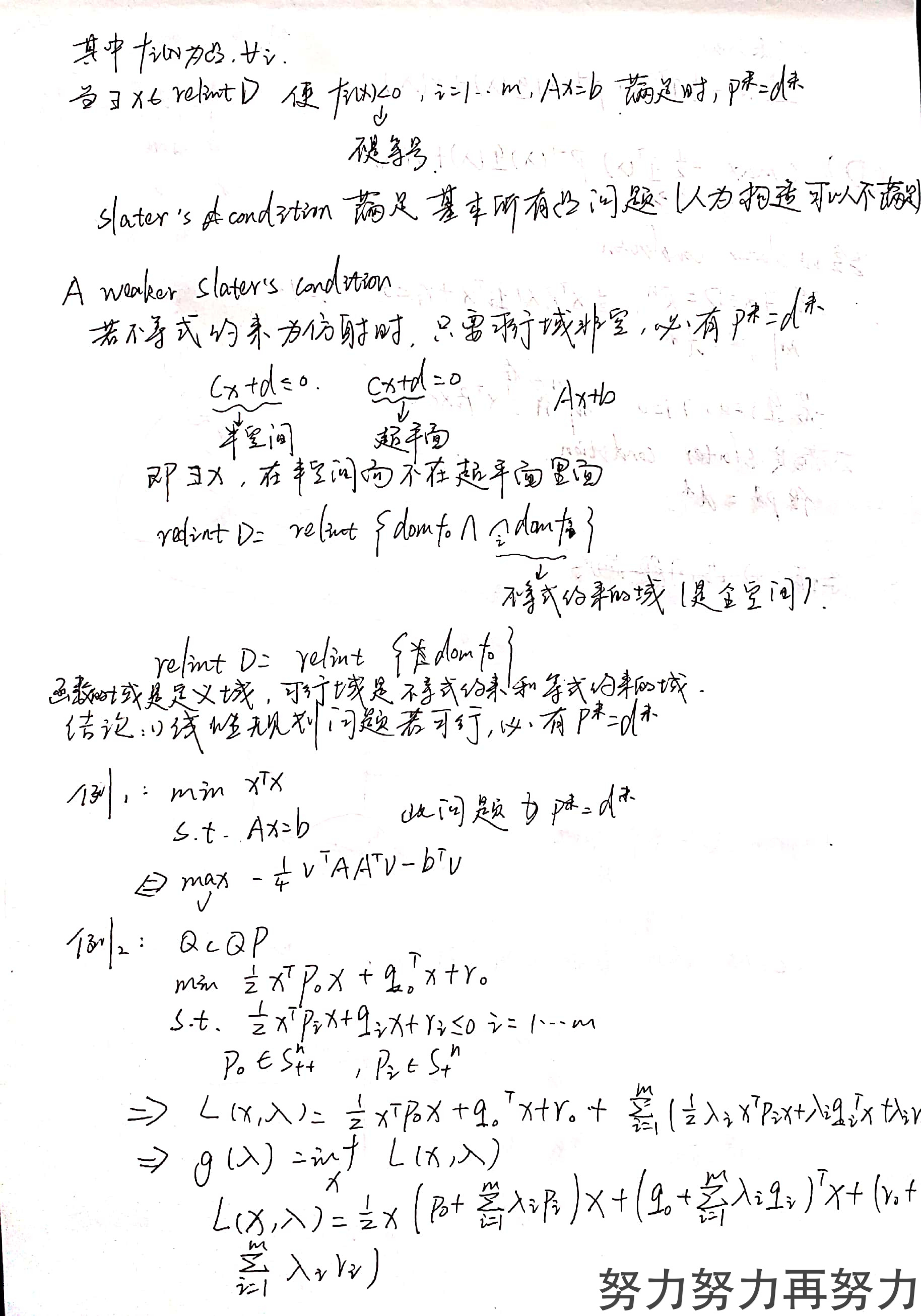
- 相对内部 Relative Interior \text{Relative Interior} Relative Interior。
形如:
Relint D = { x ∈ D ∣ B ( x , r ) ∩ aff D ∈ D ∃ r ∈ D \text{Relint}D=\lbrace x\in D\mid B(x,r)\cap\text{aff}D\in D\quad\exist r\in D RelintD={x∈D∣B(x,r)∩affD∈D∃r∈D
其中, B ( x , r ) B(x,r) B(x,r)是以 x x x为中心, r r r为半径的球。 aff D \text{aff}D affD指 D D D的仿射包。

相当于将集合的边缘去掉,使之成为一个开集。
2、 d ∗ = p ∗ \text d^*=\text p^* d∗=p∗的条件
Slater’s Condition \text{Slater's Condition} Slater’s Condition(充分而不必要):
若有凸问题:
min f 0 ( x ) s.t. f i ( x ) ≤ 0 i = 1 ⋯ m h i ( x ) = 0 i = 1 ⋯ p \begin{aligned} \min&& f_0(x)&\\ \text{s.t.}&&f_i(x)&\le0\qquad i=1\cdots m\\ &&h_i(x)&=0\qquad i=1\cdots p\\ \end{aligned}\\ mins.t.f0(x)fi(x)hi(x)≤0i=1⋯m=0i=1⋯p
当 ∃ x ∈ relint D \exist x\in \text{relint}D ∃x∈relintD使 f i ( x ) < 0 , i = 1 ⋯ m , h i ( x ) = 0 , i = 1 ⋯ p f_i(x)<0,i=1\cdots m,h_i(x)=0,i=1\cdots p fi(x)<0,i=1⋯m,hi(x)=0,i=1⋯p满足时, d ∗ = p ∗ \text d^*=\text p^* d∗=p∗。
一般我们见到的凸问题都是满足的,有一些人为构造的凸问题不满足。
当然这个可能还是有些难以满足,所以又有如下一个较弱的条件:
A Weaker Slater’s Condition \text{A Weaker Slater's Condition} A Weaker Slater’s Condition
若不等式约束为仿射时,只要可行域非空,必有 d ∗ = p ∗ \text d^*=\text p^* d∗=p∗。
线性规划若可行,必有 d ∗ = p ∗ \text d^*=\text p^* d∗=p∗。
例1: QCQP问题
min 1 2 x T P 0 x + q 0 T x + r 0 ( P ) s.t. 1 2 x T p i x + q i x + r i ≤ 0 i = 1 ⋯ m P 0 ∈ S ++ n , p i ∈ S + n \begin{aligned} \min&&\frac 1 2x^T\textbf{P}_{\textbf 0}x+q^T_0x+r_0&\\ (\text P)\qquad\text{s.t.}&&\frac 1 2 x^Tp_ix+q_ix+r_i&\le0\qquad i=1\cdots m\\ && \textbf{P}_{\textbf 0}\in\textbf{S}_{\textbf {++}}^n,p_i\in\textbf{S}_{\textbf +}^n \end{aligned}\\ min(P)s.t.21xTP0x+q0Tx+r021xTpix+qix+riP0∈S++n,pi∈S+n≤0i=1⋯m
拉格朗日函数( lagrangian function \text{lagrangian function} lagrangian function):
l ( x , λ ) = 1 2 x T P 0 x + q 0 T x + r 0 + ∑ i = 1 m λ i ( 1 2 x T p i x + q i x + r i ) = 1 2 x ( p 0 + ∑ i = 1 m λ i p i ) x + ( q 0 + ∑ i = 1 m λ i q i ) T x + r 0 + ∑ i = 1 m λ i r i \begin{aligned} l(x,\lambda)&=\frac 1 2x^T\textbf{P}_{\textbf 0}x+q^T_0x+r_0+\sum_{i=1}^m\lambda_i(\frac 1 2 x^Tp_ix+q_ix+r_i)\\ &=\frac 1 2x(p_0+\sum_{i=1}^m\lambda_ip_i)x+(q_0+\sum_{i=1}^m\lambda_iq_i)^Tx+r_0+\sum_{i=1}^m\lambda_ir_i \end{aligned} l(x,λ)=21xTP0x+q0Tx+r0+i=1∑mλi(21xTpix+qix+ri)=21x(p0+i=1∑mλipi)x+(q0+i=1∑mλiqi)Tx+r0+i=1∑mλiri
对偶函数( dual function \text{dual function} dual function):
g ( λ ) = inf x ∈ D l ( x , λ ) = − 1 2 q T ( λ ) p − 1 ( λ ) q ( λ ) + r ( λ ) \begin{aligned} g(\lambda)&=\inf_{x\in D}l(x,\lambda)\\ &=-\frac 1 2q^T(\lambda)p^{-1}(\lambda)q(\lambda)+r(\lambda) \end{aligned} g(λ)=x∈Dinfl(x,λ)=−21qT(λ)p−1(λ)q(λ)+r(λ)
其对偶问题为:
max − 1 2 q T ( λ ) p − 1 ( λ ) q ( λ ) + r ( λ ) ( D ) s.t. λ ≥ 0 \begin{aligned} \max&&-\frac 1 2q^T(\lambda)p^{-1}(\lambda)q(\lambda)+r(\lambda) \\ (\text D)\qquad\text{s.t.}&&\lambda\ \ge0\\ \end{aligned}\\ max(D)s.t.−21qT(λ)p−1(λ)q(λ)+r(λ)λ ≥0
显然 d ∗ = p ∗ \text d^*=\text p^* d∗=p∗,此时我们验证一下 Slater’s Condition \text{Slater's Condition} Slater’s Condition:
对于约束 1 2 x T p i x + q i x + r i ≤ 0 i = 1 ⋯ m \frac 1 2 x^Tp_ix+q_ix+r_i\le0\qquad i=1\cdots m 21xTpix+qix+ri≤0i=1⋯m当 q i = 0 , r i = 0 q_i=0,r_i=0 qi=0,ri=0时,怎么样都不满足此约束。
故QCQP问题是一个不满足 Slater’s Condition \text{Slater's Condition} Slater’s Condition但 d ∗ = p ∗ \text d^*=\text p^* d∗=p∗的问题。
个人思考
凸问题的另一良好性质展现了, d ∗ = p ∗ \text d^*=\text p^* d∗=p∗,这对于不是很好直接求解的凸问题提出了一种新的求解方法。
纸质笔记



这篇关于凸优化学习-(十九)深入分析对偶问题的文章就介绍到这儿,希望我们推荐的文章对编程师们有所帮助!