本文主要是介绍基于拉格朗日乘法优化的Linear SVM 数学推导,希望对大家解决编程问题提供一定的参考价值,需要的开发者们随着小编来一起学习吧!
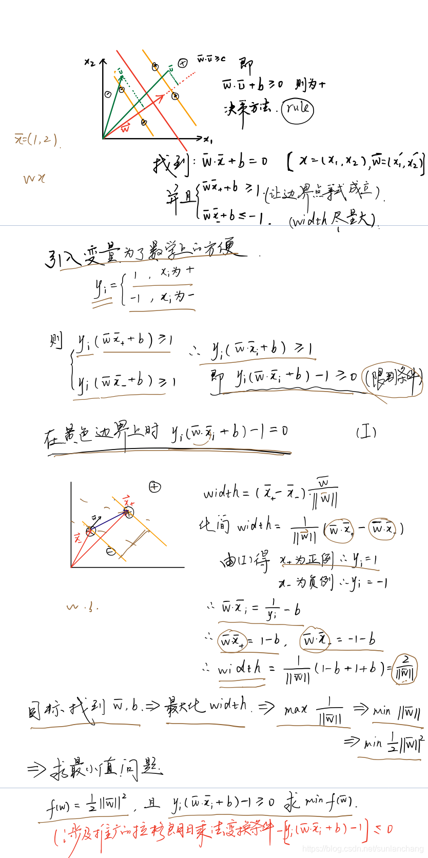
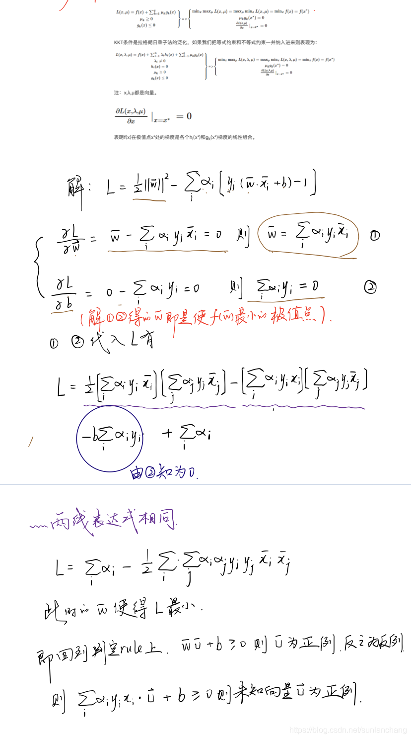
对于一个线性可分的二分类数据集,Linear SVM是如何进行work的,这里基于MIT公开课进行了详细的数学推导,后续使用kernal trick的方法的数学推导后续再补上,这里使用拉格朗日乘法优化超平面,当然也可以使用梯度下降的方法,写一篇博客会写一个小程序使用梯度下降的方法,以使自己对SVM梯度下降有个清楚的认识,以便自己以后查阅复试使用。
李航老师对于SVM的章节的综述非常的到位,这里引用一下:



参考:https://www.youtube.com/watch?v=_PwhiWxHK8o&t=54s
《统计学习方法》李航
这篇关于基于拉格朗日乘法优化的Linear SVM 数学推导的文章就介绍到这儿,希望我们推荐的文章对编程师们有所帮助!