本文主要是介绍一天一道LeetCode(151-190),希望对大家解决编程问题提供一定的参考价值,需要的开发者们随着小编来一起学习吧!
一天一道LeetCode(151-190)
文章目录
- 一天一道LeetCode(151-190)
- 151.翻转字符串里的单词
- 152.乘积最大子数组
- 153.寻找旋转排序数组中的最小值
- 154.寻找旋转排序数组中的最小值 II
- 155.最小栈
- 160.相交链表
- 162.寻找峰值
- 164.最大间距
- 165.比较版本号
- 166.分数到小数
- 167.两数之和 II - 输入有序数组
- 168.Excel表列名称
- 169.多数元素
- 171. Excel表序列号
- 172.阶乘后的零
- 173.二叉搜索树迭代器
- 174.地下城游戏(略)
- 175. 组合两个表
- 176.第二高的薪水(SQL题目,略)
- 177、178(SQL题目,略)
- 179. 最大数
- 180-186(SQL题目,略)
- 187.重复的DNA序列
- 188. 买卖股票的最佳时机 IV(略....太难了T_T)
- 189. 旋转数组
- 190.颠倒二进制位
151.翻转字符串里的单词
题目:
给定一个字符串,逐个翻转字符串中的每个单词
实例:
输入:"the sky is blue"
输出:"blue is sky the"
输入:" hello world! "
输出:"world! hello"
解释:输入字符串可以在前面或者后面包含多余的空格,但是反转后的字符不能包括
输入:"a good example"
输出:"example good a"
解释:如果两个单词间有多余的空格,将反转后单词间的空格减少到只含一个
输入:s = " Bob Loves Alice "
输出:"Alice Loves Bob"
输入:s = "Alice does not even like bob"
输出:"bob like even not does Alice"
class Solution:def reverseWords(self, s):s = s.strip()lst = s.split()return ' '.join(lst[::-1])
152.乘积最大子数组
题目:
给定一个整数数组nums,请找出数组中乘积最大的连续子数组(该子数组中至少包含一个数字),并返回该子数组所对应的乘积
实例:
输入: [2,3,-2,4]
输出: 6
解释: 子数组 [2,3] 有最大乘积 6
输入: [-2,0,-1]
输出: 0
解释: 结果不能为 2, 因为 [-2,-1] 不是子数组
思路:
类似滑动窗口
product(i, j) = product(0, j) / product(0, i),从数组i到j的累乘等于从数组开头到j的累乘除以从数组开头i的累乘(先忽略0的情况),要考虑三种情况累乘的乘积等于0,就要重新开始
累乘的乘积小于0,要找到前面最大的负数,这样才能保证从i到j最大
累乘的乘积大于0,要找到前面最小的正数
法二:动态规划
记录前i的最小值和最大值,那么dp[i] = max(nums[i] * pre_max, nums[i] * pre_min, nums[i])
class Solution:def maxProduct(self, nums):if not nums: return # 当前的累乘cur_pro = 1# 前面最小的整数min_pos = 1# 前面最大的负数max_neg = float('-inf')# 结果res = float('-inf')for num in nums:cur_pro *= num# 考虑三种情况# 当前的累乘结果大于0,要找到前面最小的正数if cur_pro > 0:res = max(res, cur_pro // min_pos)min_pos = min(min_pos, cur_pro)# 当前的累乘结果小于0,要找到前面最大的负数elif cur_pro < 0:if max_neg != float('-inf'):res = max(res, cur_pro // max_neg)else:res = max(res, num)max_neg = max(max_neg, cur_pro)# 当前累乘结果等于0,重新开始else:cur_pro = 1min_pos = 1max_neg = float('-inf')res = max(res, num)return res
# 法二:动态规划
class Solution:def maxProduct(self, nums):if not nums: returnres = nums[0]pre_max = nums[0]pre_min = nums[0]for num in nums[1:]:cur_max = max(pre_max * num, pre_min * num, num)cur_min = min(pre_max * num, pre_min * num, num)res = max(res, cur_max)pre_max = cur_maxpre_min = cur_minreturn res
153.寻找旋转排序数组中的最小值
题目:
假设按照升序排序的数组在预先未知的某个点上进行了旋转,例如,数组[0, 1, 2, 3, 4, 5, 6, 7]可能变为[4, 5, 6, 7, 0, 1, 2],请找出其中最小元素
实例:
输入:nums = [3,4,5,1,2]
输出:1
输入:nums = [4,5,6,7,0,1,2]
输出:0
输入:nums = [1]
输出:1
class Solution:def findMin(self, nums):return min(nums)
#---------------------------------------------------------------
# 二分法
class Solution:def findMin(self, nums):left = 0right = len(nums) - 1while left < right:mid = left + (rignt - left) // 2if nums[right] < nums[mid]:left = mid + 1else:right = midreturn nums[left]
# 当nums[mid] > nums[right],说明在mid左半边的递增区域,说明最小元素在>mid区域
# 当nums[mid] <= nums[right],说明在mid右半边的递增区域,说明最小元素在<=mid区域
154.寻找旋转排序数组中的最小值 II
题目:
假设按照升序排列的数组在预先未知的某个点上进行了旋转(例如,数组[0, 1, 2, 4, 5, 6, 7]可能变为[4, 5, 6, 7, 0, 1, 2],请找出其中最小的元素
注意:数组中可能存在重复元素
实例:
输入: [1,3,5]
输出: 1
输入: [2,2,2,0,1]
输出: 0
思路:
-
旋转排序数组nums可以被拆分为2个排序数组nums1,nums2,并且nums1任意一元素 >= nums2任意一元素,因此,考虑二分法寻找两数组的分界点nums[i](即第二个数组的首个元素)
-
设置left, right指针在nums数组两端,mid为每次二分的中点:
-
当
nums[mid] > nums[right]时,mid一定在1个排序数组中,i一定满足mid < i <= right,因此,执行left = mid + 1 -
当
nums[mid] < nums[right]时,mid一定在第2个排序数组中,i一定满足left < i <= mid因此,执行right = mid -
当
nums[mid] == nums[right]时,由于数组中的元素可能重复,难以判断分界点i指针区间-
采用
right = right - 1的方法,证明:1.此操作不会使数组越界:因为迭代条件保证
right > left >= 02.此操作不会使最小值丢失:假设
nums[right]是最小值,有两种情况- 若
nums[right]是唯一最小值:那就不可能满足判断条件nums[mid] == nums[right]因为mid < right (left != right且mid = (left + right) // 2向下取整) - 若
nums[right]不是唯一最小值,由于mid < right而nums[mid] == nums[right],即还有最小值存在于[left, right - 1]区间,因此不会丢失最小值
- 若
-
-
class Solution:def findMin(self, nums):left, right = 0, len(nums) - 1while left < right:mid = (left + right) // 2if nums[mid] > nums[right]:left = mid + 1elif nums[mid] < nums[right]:right = midelse:right = right - 1return nums[left]
155.最小栈
题目:
设计一个支持push, pop, top操作,并能在常数时间内检索到最小元素的栈
push(x)——将元素x推入栈中pop()——删除栈顶的元素top()——获取栈顶元素getMin()——检索栈中的最小元素
实例
输入:
["MinStack","push","push","push","getMin","pop","top","getMin"]
[[],[-2],[0],[-3],[],[],[],[]]输出:
[null,null,null,null,-3,null,0,-2]解释:
MinStack minStack = new MinStack();
minStack.push(-2);
minStack.push(0);
minStack.push(-3);
minStack.getMin(); --> 返回 -3.
minStack.pop();
minStack.top(); --> 返回 0.
minStack.getMin(); --> 返回 -2.
class Solution:def __init__(self):self.stack = []self.min_stack = []def push(self, x):self.stack.append(x)if not self.min_stack or x <= self.min_stack[-1]:self.min_stack.append(x)def pop(self):if self.stack.pop() == self.min_stack[-1]:self.min_stack.pop()def top(self):return self.stack[-1]def getMin(self):return self.min_stack[-1]
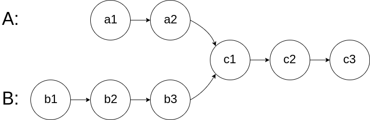
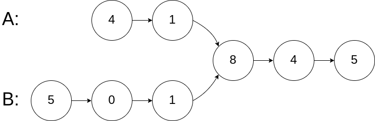
160.相交链表
题目:
找到两个单链表相交的起始节点,如下面的两个链表

在节点c1开始相交
实例:

输入:intersectVal = 8, listA = [4,1,8,4,5], listB = [5,0,1,8,4,5], skipA = 2, skipB = 3
输出:Reference of the node with value = 8
输入解释:相交节点的值为 8 (注意,如果两个链表相交则不能为 0)。从各自的表头开始算起,链表 A 为 [4,1,8,4,5],链表 B 为 [5,0,1,8,4,5]。在 A 中,相交节点前有 2 个节点;在 B 中,相交节点前有 3 个节点
思路:

分别为链表A和链表B设置指针A和指针B,然后开始遍历链表,如果遍历完当前链表,则将指针指向另外一个链表的头部继续遍历,直到两个指针相遇,最终两个指针分别走过的路径为:
A:a + c + b
B:b + c + a
明显a + c + b = b + c + a,因而如果两个链表相交,则指针A和指针B必定在相交节点相遇
class Solution:def getIntersectionNode(self, headA, headB):if not headA or not headB:return NonenodeA = headAnodeB = headBwhile nodeA != nodeB:nodeA = nodeA.next if nodeA else headBnodeB = nodeB.next if nodeB else headAreturn nodeA
162.寻找峰值
题目:
峰值元素是指其值大于左右相邻值得元素
给定一个输入数组nums,其中 n u m s [ i ] ≠ n u m s [ i + 1 ] nums[i] \not= nums[i+1] nums[i]=nums[i+1],找到峰值元素,并返回其索引
数组可能包含多个峰值,在这种情况下,返回任何一个峰值所在位置即可,可以假设 n u m s [ − 1 ] = n u m s [ n ] = − ∞ nums[-1] = nums[n] = -\infin nums[−1]=nums[n]=−∞
实例:
输入: nums = [1,2,3,1]
输出: 2
解释: 3 是峰值元素,你的函数应该返回其索引 2
输入: nums = [1,2,1,3,5,6,4]
输出: 1 或 5
解释: 你的函数可以返回索引 1,其峰值元素为 2;或者返回索引 5, 其峰值元素为 6
# 法一:直接求
class Solution:def findPeakElement(self, nums):n = len(nums)max_num = max(nums)max_idx = nums.index(max_num)if max_idx < n:return max_idx
# 法二:二分法
class Solution:def findPeakElement(self, nums):left = 0right = len(nums) - 1while left < right:mid = left + (right - left) // 2if nums[mid] < nums[mid + 1]:left = mid + 1else:right = midreturn left
164.最大间距
题目:
给定一个无序数组,找出数组在排序之后,相邻元素之间的最大差值,如果数组元素个数小于2,则返回0
实例
输入: [3,6,9,1]
输出: 3
解释: 排序后的数组是 [1,3,6,9], 其中相邻元素 (3,6) 和 (6,9) 之间都存在最大差值 3
输入: [10]
输出: 0
解释: 数组元素个数小于 2,因此返回 0
说明:
- 可以假设数组中所有元素都是非负数,且数值在32位有符号整数范围内
- 请尝试在线性时间复杂度和空间复杂度条件下解决问题
class Solution:def maximumGap(self, nums):nums = sorted(nums)n = len(nums) - 1if n < 2 :return 0max_gap = 0for i in range(n):cur_gap = nums[i+1] - nums[i]if cur_gap > max_gap:max_gap = cur_gapreturn max_gap
165.比较版本号
题目:
给你两个版本号version1和version2,请比较他们
版本号由一个或多个修订号组成,各修订号由一个'.'连接,每个修订号由多位数字组成,可能包含前导零。每个版本号至少包含一个字符。修订号从左到右编号,下标从0开始,最左边的修订号下标为0,下一个修订号下标为1,以此类推。例如2.5.33和0.1都是有效的版本号
比较版本号时,请按照从左到右的顺序依次比较他们的修订号,比较修订号时,只需要比较忽略任何前导零后的整数值。也就是说,修订号1和修订号001相等,如果版本号没有指定某个下标处的修订号,则该修订号为0。例如版本1.0小于版本1.1,因为他们下标为0的修订号相同,而下标为1的修订号分别为0和1
实例:
输入:version1 = "1.01", version2 = "1.001"
输出:0
解释:忽略前导零,"01" 和 "001" 都表示相同的整数 "1"
输入:version1 = "1.0", version2 = "1.0.0"
输出:0
解释:version1 没有指定下标为 2 的修订号,即视为 "0"
输入:version1 = "0.1", version2 = "1.1"
输出:-1
解释:version1 中下标为 0 的修订号是 "0",version2 中下标为 0 的修订号是 "1" 。0 < 1,所以 version1 < version2
输入:version1 = "1.0.1", version2 = "1"
输出:1
输入:version1 = "7.5.2.4", version2 = "7.5.3"
输出:-1
class Solution:def compareVersion(self, version1, version2):ver1 = version1.split('.')ver2 = version2.split('.')while ver1 or ver2:x = int(ver1.pop(0)) if ver1 else 0y = int(ver2.pop(0)) if ver2 else 0if x == y:continueif x > y: return 1if x < y: return -1return 0
166.分数到小数
题目:
给定两个整数,分别表示分数的分子numerator和分母denominator,以字符串形式返回小数,如果小数部分为循环小数,则将循环的部分括在括号内,如果存在多个答案,只需返回任意一个,对于所有给定的输入,保证答案字符串的长度小于 1 0 4 10^4 104
实例:
输入:numerator = 1, denominator = 2
输出:"0.5"
输入:numerator = 2, denominator = 1
输出:"2"
输入:numerator = 2, denominator = 3
输出:"0.(6)"
输入:numerator = 4, denominator = 333
输出:"0.(012)"
输入:numerator = 1, denominator = 5
输出:"0.2"
class Solution:def fractionToDecimal(self, numerator, denominator):if numerator == 0: return '0'res = []# 先判断正负,异或作用就是两个数不同,为Trueif (numerator > 0) ^ (denominator > 0):res.append('-')numerator, denominator = abs(numerator), abs(denominator)# 判断有没有小数,divmod方法得到商和余数的元组,例如2 / 3,那么a = 0, b = 2a, b = divmod(numerator, denominator)res.append(str(a))# 无小数if b == 0:return ''.join(res)res.append('.')# 处理余数,把所有出现过的余数记录下来loc = {b: len(res)}while b:b *= 10a, b = divmod(b, denominator)res.append(str(a))# 如果余数前面出现过,说明开始循环,加括号if b in loc:res.insert(loc[b], '(')res.append(')')break# 记录位置loc[b] = len(res)return ''.join(res)
167.两数之和 II - 输入有序数组
题目:
给定一个已按照升序排列的有序数组,找到两个数使得他们相加之和等于目标数,函数应该返回这两个数的下标值index1和index2,其中index1必须小于index2
实例:
输入: numbers = [2, 7, 11, 15], target = 9
输出: [1,2]
解释: 2 与 7 之和等于目标数 9 。因此 index1 = 1, index2 = 2 。
思路:
双指针
# 双指针
class Solution:def towSum(self, numbers, target):left, right = 0, len(numbers) - 1while left <= right:res = numbers[left] + numbers[right]if res == target:return (left+1, right+1)elif res < target:left += 1elif res > target:right -= 1
# 哈希表
class Solution:def twoSum(self, numbers, target):dct = dict()for index, num in enumerate(numbers):if num in dct:return (dct.get(num)+1, index+1)dct[target-num] = index
168.Excel表列名称
题目:
给定一个正整数,返回它在Excel表中相对应的列名称
实例:
1 -> A2 -> B3 -> C...26 -> Z27 -> AA28 -> AB ...
输入: 1
输出: "A"
输入: 28
输出: "AB"
输入: 701
输出: "ZY"
十进制转二十六进制
class Solution:def convertToTitle(self, n):res = ''while n:n, y = divmod(n, 26)if y == 0:n -= 1y = 26res = chr(y + 64) + resreturn res
169.多数元素
题目:
给定一个大小为n的数组,找到其中的多数元素(多数元素是指在数组中出现次数大于 ⌊ n / 2 ⌋ \lfloor{n/2}\rfloor ⌊n/2⌋的元素)
实例:
输入: [3,2,3]
输出: 3
输入: [2,2,1,1,1,2,2]
输出: 2
思路:
摩尔投票法
如何在任意多的候选人中(选票无序),选出获得票数最多的那个
1.对抗阶段:分属两个候选人的票数进行两两对抗抵消
2.计数阶段:计算对抗结果中最后留下的候选人票数是否有效
class Solution:def majorityElement(self, nums):major = 0count = 0for n in nums:# 从0开始计数,如果从头开始,或者计数为0,那么major就等于当前遍历的数字if count == 0:major = n# 如果major和当前遍历到的数字相等,那么计数加一,反之减一if n == major:count += 1else:count -= 1return major
171. Excel表序列号
题目:
给定一个Excel表格中的列名称,返回其相应的序列号
实例:
A -> 1B -> 2C -> 3...Z -> 26AA -> 27AB -> 28 ...
输入: "A"
输出: 1
输入: "AB"
输出: 28
输入: "ZY"
输出: 701
class Solution:def titleToNumber(self, s):d = len(s)value = 0sdict = dict()for i in range(1, 27):sdict[chr(i + 64)] = ifor i in s:if d > 0:value += sdict[i] * 26 ** (d-1)d -= 1return value
172.阶乘后的零
题目:
给定一个整数n,返回n!结果尾数中零的数量
实例:
输入: 3
输出: 0
解释: 3! = 6, 尾数中没有零。
输入: 5
输出: 1
解释: 5! = 120, 尾数中有 1 个零.
# 笨办法
class Solution:def trailingZeroes(self, n):res = 1count = 0for i in range(1, n+1):res *= ires = list(str(res))while True:tail = res.pop()if tail == '0':count += 1continuebreakreturn count
# 能在末尾形成0,来自因子2和5,只有有5,就一定存在一个数可以拆成2,这样末尾就有0了
class Solution:def trailingZeroes(self, n):res = 0while n > 0:n //= 5res += nreturn res
173.二叉搜索树迭代器
题目:
实现一个二叉搜索树迭代器,使用二叉搜索树的根节点初始化迭代器,调用next()将返回二叉搜索树中的下一个最小的数
实例:

BSTIterator iterator = new BSTIterator(root);
iterator.next(); // 返回 3
iterator.next(); // 返回 7
iterator.hasNext(); // 返回 true
iterator.next(); // 返回 9
iterator.hasNext(); // 返回 true
iterator.next(); // 返回 15
iterator.hasNext(); // 返回 true
iterator.next(); // 返回 20
iterator.hasNext(); // 返回 false
class BTSTIterator:def __init__(self, root):self.stack = []self.push_stack(root)def next(self):tmp = self.stack.pop()if tmp.right:self.push_stack(tmp.right)return tmp.valdef hasNext(self):return bool(self.stack)def push_stack(self, node):while node:self.stack.append(node)node = node.left
174.地下城游戏(略)
175. 组合两个表
# 表1:person
+-------------+---------+
| 列名 | 类型 |
+-------------+---------+
| PersonId | int |
| FirstName | varchar |
| LastName | varchar |
+-------------+---------+
PersonId 是上表主键
# 表2:Address
+-------------+---------+
| 列名 | 类型 |
+-------------+---------+
| AddressId | int |
| PersonId | int |
| City | varchar |
| State | varchar |
+-------------+---------+
AddressId 是上表主键
编写一个SQL查询,满足条件:无论person是否有地址信息,都需要基于上述两表提供person的以下信息
FirstName, LastName, City, State
selectFirstName,LastName,City,State
fromPerson p
left outer joinAddress a
on p.PersonId = a.PersonId
176.第二高的薪水(SQL题目,略)
177、178(SQL题目,略)
179. 最大数
题目:
给定一组非负整数nums,重新排列他们每个数字的顺序(每个数字不可拆分)使之组成一个最大的整数
注意:输出结果可能非常大,所以需要返回一个字符串而不是整数
实例:
输入:nums = [10,2]
输出:"210"
输入:nums = [3,30,34,5,9]
输出:"9534330"
输入:nums = [1]
输出:"1"
输入:nums = [10]
输出:"10"
# a = '3', b = '30', a < b
# 两个数排序比较,如果x + y > y + x,则x应该排在y的左边,这样最后才能得到最大值,默认排序是从低到高,所以重载比较运算符__lt__
class StrLt(str):def __lt__(x, y):return x+y > y+xclass Solution:def largestNumber(self, nums):nums = list(map(str, nums))nums.sort(key=StrLt)return ''.join(nums) if nums[0] != '0' else '0'
180-186(SQL题目,略)
187.重复的DNA序列
题目:
所有的DNA都由一系列缩写为’A’,‘C’,‘G’,和’T’的核苷酸组成,例如:'ACGAATTCCG',在研究DNA时,识别DNA中的重复序列有时会对研究非常有帮助。编写一个函数来找出所有目标子串,目标子串长度为10,且在DNA字符串s中出现次数超过一次
实例:
输入:s = "AAAAACCCCCAAAAACCCCCCAAAAAGGGTTT"
输出:["AAAAACCCCC","CCCCCAAAAA"]
输入:s = "AAAAAAAAAAAAA"
输出:["AAAAAAAAAA"]
class Solution:def findRepeatedDnaSequences(self, s):from collections import defaultdictvisited = set()res = set()for i in range(0, len(s)-9):tmp = s[i: i+10]if tmp in visited:res.add(tmp)visited.add(tmp)return list(res)
188. 买卖股票的最佳时机 IV(略…太难了T_T)
题目:
给定一个整数数组prices,它的第i个元素prices[i]是一支给定的股票在第i天的价格,设计一个算法来计算你所能获取的最大利润,最多可以完成k笔交易
注意:不能同时参与多笔交易(必须在再次购买前出售掉之前的股票)
实例:
输入:k = 2, prices = [2,4,1]
输出:2
解释:在第 1 天 (股票价格 = 2) 的时候买入,在第 2 天 (股票价格 = 4) 的时候卖出,这笔交易所能获得利润 = 4-2 = 2
输入:k = 2, prices = [3,2,6,5,0,3]
输出:7
解释:在第 2 天 (股票价格 = 2) 的时候买入,在第 3 天 (股票价格 = 6) 的时候卖出, 这笔交易所能获得利润 = 6-2 = 4 。随后,在第 5 天 (股票价格 = 0) 的时候买入,在第 6 天 (股票价格 = 3) 的时候卖出, 这笔交易所能获得利润 = 3-0 = 3
189. 旋转数组
题目:
给定一个数组,将数组中的元素向右移动k个位置,其中k是非负数
实例:
输入: [1,2,3,4,5,6,7] 和 k = 3
输出: [5,6,7,1,2,3,4]
解释:
向右旋转 1 步: [7,1,2,3,4,5,6]
向右旋转 2 步: [6,7,1,2,3,4,5]
向右旋转 3 步: [5,6,7,1,2,3,4]
输入: [-1,-100,3,99] 和 k = 2
输出: [3,99,-1,-100]
解释:
向右旋转 1 步: [99,-1,-100,3]
向右旋转 2 步: [3,99,-1,-100]
class Solution:def rotate(self, nums):n = len(nums)num1 = nums[: n-k]del nums[: n-k]nums += num1
# 三次翻转
class Solution:def rotate(self, nums):n = len(nums)k = k % ndef swap(l, r):while l < r:nums[l], nums[r] = nums[r], nums[l]l += 1r -= 1swap(0, n-k-1)swap(n-k, n-1)swap(0, n-1)
190.颠倒二进制位
题目:
颠倒给定的32位无符号整数的二进制位
实例:
输入: 00000010100101000001111010011100
输出: 00111001011110000010100101000000
解释: 输入的二进制串 00000010100101000001111010011100 表示无符号整数 43261596,因此返回 964176192,其二进制表示形式为 00111001011110000010100101000000。
输入:11111111111111111111111111111101
输出:10111111111111111111111111111111
解释:输入的二进制串 11111111111111111111111111111101 表示无符号整数 4294967293,因此返回 3221225471 其二进制表示形式为 10111111111111111111111111111111 。
class Solution:def def reverseBits(self, n):str1 = bin(n) # 转换位二进制字符串str2 = str1[2: ].zfill(32) # 去掉前'0b'后填充为32位str3 = str2[::-1] # 字符串反转return int(str3, 2) # 转为10进制# zfill()方法:返回指定长度字符串,原字符串右对其,前面填充0# 三次翻转法class Solution:def rotate(self, nums):n = len(nums)k = k % ndef swap(l, r):while l < r:nums[l], nums[r] = nums[r], nums[l]l += 1r -= 1swap(0, n-k-1)swap(n-k, n-1)swap(0, n-1)
这篇关于一天一道LeetCode(151-190)的文章就介绍到这儿,希望我们推荐的文章对编程师们有所帮助!