本文主要是介绍超前进位加法器(verilog),希望对大家解决编程问题提供一定的参考价值,需要的开发者们随着小编来一起学习吧!
文章目录
- 1.串行进位加法器
- 2.超前进位加法器
加法器单元可以分为全加器和半加器,半加器没有输入进位端,所以半加器时两个比特相加,而全加器时3个比特相加。如下为一个1位半加器,
而一个1位全加器单元的逻辑门数量要比半加器多,:
1.串行进位加法器
多位数相加时,直接描述产生串行进位加法器。代码如下:
//3位半加器
module(cout,sum,a,b);output cout;output [2:0]sum;input [2:0]a,b;assign {cout,sum} = a + b;
endmodule//3位全加器,有低位向本位的进位
module(cout,sum,a,b,cin);output cout;output [2:0]sum;input [2:0]a,b;input cin;assign {cout,sum} = a + b + cin;
endmodule
2.超前进位加法器
两个多bit位的数相加时,每一位都是带进位相加的,因为必须要使用全加器。如果采用串行进位加法器(如上代码所示)的话,只要依次将低位全加器的进位输出端(CO)接到高位全加器的进位输入端(CI)。这就每一位相加的结果都必须要等到低一位的计算结束,产生进位交给高一位的进位输入端,才可以计算高一位。由此类推,如果数值的位数多的话,那么这个串行进位加法器的输出延迟会非常的大。
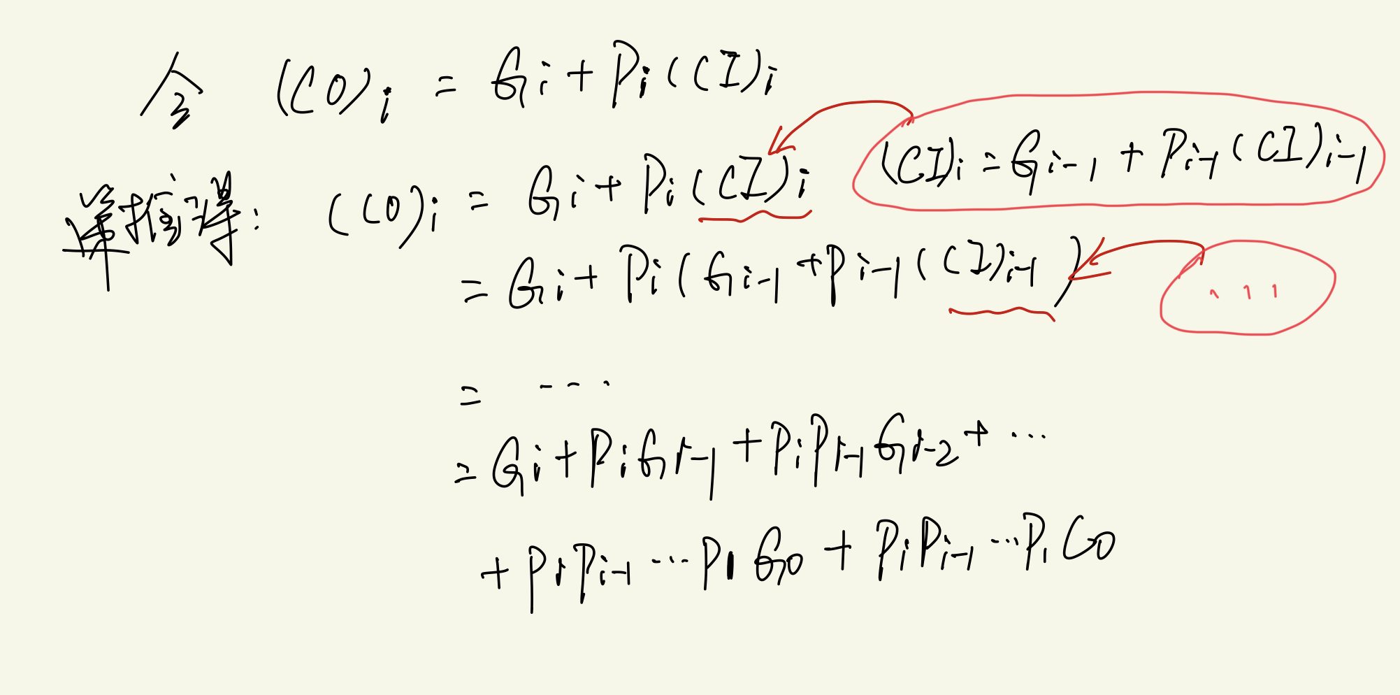
为了提高运行速度,提前计算好进位信号,这样高位的全加器就不需要等待来自低位的进位信号了。怎么实现呢?因为第i位的信号都可以由两个数的第 (i-1) 位、第 (i-2) 位、…、第0位唯一地确定。第 i 进位可以用 :


以四阶超前进位加法器为例,进位的产生如下图:

代码如下:
module four_bits_fast_adder(cout,sum,a,b,cin);output [3:0]sum;//数据累加和本位output cout;//输出进位input [3:0]a,b;//需要相加的数input cin;//输入进位wire [4:0]g,p,c;//分别对应Gi、Pi和Ciassign c[0] = din;//最低进位为输入进位assign P = a | b;// Pi = Ai·Biassign g = a & b;// Gi = Ai+Biassign c[1] = g[0] | (p[0]&c[0]);//对应图中 C1assign c[2] = g[1] | ( p[1]&(g[0] | (p[0]&c[0]) );assign c[3] = g[2] | (p[2]&(g[1]|(p[1]&(g[0]|(p[0]&c[0])))));assign c[4] = g[3] | (p[3]&(g[2]|(p[2]&(g[1]|(p[1]&(g[0]|(p[0]&c[0])))))));assign sum = p ^ c[3:0]; assign cout = c[4];
endmodule
这篇关于超前进位加法器(verilog)的文章就介绍到这儿,希望我们推荐的文章对编程师们有所帮助!