springboot+Mysql 英语学习规划系统app计算机毕业设计源码77524

本文主要是介绍springboot+Mysql 英语学习规划系统app计算机毕业设计源码77524,希望对大家解决编程问题提供一定的参考价值,需要的开发者们随着小编来一起学习吧!

摘  要

如今随着人们对英语学习的重视,人们对各种英语学习资料的需求越来越大,如何更好的进行英语学习规划成为当今热门的话题。如今,各种英语学习信息越来越多,学习资料相关信息的成倍的增长,这个时候,一个好的英语学习、规划系统可以给用户带来很大的便利,而开发一个英语学习规划系统很好的完成了这样的目的,能够让用户进行学习专区的英资料学习,制定每周计划、打卡提醒、在线进行测试,成绩查询,给用户的英语学习规划带来便利。总体来说此APP是通过Springboot架构搭建后台的,中间件使用的是tomcat服务器,数据库管理平台采用开源的Mysql,前端使用的主要是jsp页面展示技术。通过测试,该需要能够较好的完成设定的目标。

关键词:英语学习规划系统;APP;MySQL;Springboot

Abstract

Nowadays, with the attention paid to English learning, people are increasingly demanding various English learning materials. How to better plan English learning has become a hot topic today. Nowadays, there are more and more English learning information, and the information related to learning materials has multiplied. At this time, a good English learning and planning system can bring great convenience to users, and the development of an English learning planning system has done such a good job, allowing users to learn English materials in the learning zone, conduct online tests, and query scores, bringing convenience to users' English learning planning. In general, this APP is built in the background through the Springboot architecture. The middleware uses the tomcat server, the database management platform uses the open-source Mysql, and the front end uses the jsp page display technology. Through the test, this need can better complete the set goals.

Key words English Learning Planning System; APP; MySQL; springboot

目  录

  

  

1 引言

1.1 选题背景及意义

1.2 研究现状

1.3系统的特点

1.4论文结构与章节安排

2 系统需求分析

2.1可行性分析

2.1.1 技术可行性分析

2.1.2 操作可行性分析

2.1.3 经济可行性分析

2.2功能需求分析

2.3用例分析

3系统总体设计

3.1 系统开发架构的选择

3.1系统功能模块设计

3.1.1 前台页面设计

3.1.2 用户模块设计

3.1.3 评价建议管理模块设计

3.1.4 学习专区管理模块设计

3.2数据库设计

3.2.1数据库概要设计

3.2.2数据库逻辑设计

4系统详细实现

4.1APP前台功能实现

4.1.1网站主页功能实现

4.1.2用户注册登录功能实现

4.2.3 登录功能实现

4.2.4每周计划功能实现

4.2.5学习专区功能实现

4.2.6在线测试功能实现

4.2.7成绩信息功能实现

4.2APP后台功能实现

4.2.1后台管理员登录功能实现

4.2.2用户管理功能实现

4.2.3交流管理功能实现

4.2.4每日打卡管理功能实现

4.2.5成绩信息管理功能实现

4.2.6学习评价管理功能实现

5系统测试

5.1 系统测试目的

5.2 系统可用性测试

5.3 系统典型测试用例

5.4 测试总结

总结

参考文献

  

1 引言

1.1 选题背景及意义

众所周知英语是当今世界最主流的语言,同时也是国际通用语言,说英语的人数已经完全超过了任何语言的人数,包括汉语,从全世界来看,自21世纪以来,中国也日益呈现国际化趋势,中国正在以开放无比的胸怀融入整个世界,在这样一个人才聚集的大时代,学习英语成了提高自身水平,综合能力的途径之一,同时学习英语还能让待就业的学生形成一定的竞争力,尤其是对于与英语相关的专业(如:计算机),所以,设计一款适用于大多数学生学习英语和对学习进行规划的系统,有助于提高学生的英语学习方面的能力,使得学生除了在校的英语必修课外,学生还可以自主网上学习已经进行学习规划、在线测试等,进而提高英语水平。

1.2 研究现状

由于这几年来,计算机技术的逐日发展,在现代化的生活中,我们所需要的各种信息的处理操作都是通过使用计算机来完成的,有了计算机就可以方便的对各种信息进行查询和维护了。

因为国内外传统的学习学习查询、学习管理方式是基于纸质课本的,有时候也上网搜索,而人的精力和工作准确度是有限的,所以传统的学习方式难免会存在效率低下、准确率低等缺点,还伴随着人力资源的大量浪费,管理的工作中,所涉及到的工作电脑机器比人类更为擅长,能够达到快速、准确、耗费资源小等要求。基于这些显著的优点,如果能设计一套完整且贴合具体以后需求的英语学习规划系统,那么将大大地提高英语学习的效率以及质量。在具备这样的英语学习规划系统之下,管理人员只需配备少量的专业人员对数据库进行日常数据审核、管理以及定期维护。整个过程中,管理员只需提供少量的必要信息,大部分数据处理工作皆由数据库和相关程序来完成,节省了大量时间。如果数据库中的某部分信息存在错误,那么管理员可以通过批量修改等方式来降低排错过程中所要花费的时间和精力。

1.3系统的特点

(1)英语学习规划系统中的web后台管理中的后端不再使用古老的jsp+javabean+servlet技术,而是使用当前主流的springboot框架,它减少java配置代码,简化编程代码,目前springboot框架也是很多企业选择的框架之一。

(2)英语学习规划系统中的web后台管理中的前端使用的是bootstrap框架,它配合ajax和jquery可以美化页面设计。

(3)英语学习规划系统中数据库用的mysql5.7,它执行效率高。

1.4论文结构与章节安排

本文共分为六章,章节内容安排如下:

第一章:引言。第一章主要介绍了课题研究的背景意义,国内目前相关研究现状以及技术和本文的研究内容与主要工作。

第二章:系统需求分析。第二章主要从系统的可行性、功能等方面进行需求分析。

第三章:系统总体设计。第三章主要对系统功能模块、数据库进行功能设计。

第四章:系统详细设计。第四章主要介绍了系统各个用户的功能、系统界面的实现。

第五章:系统测试。第五章主要对系统的部分界面进行测试并对主要功能进行测试

2 系统需求分析

2.1可行性分析

通过以下的网站总体需求分析,进而分析是否拥有达成需求的技术、资金和开发人员等条件。那么就从以下几点进行简单的说明:

2.1.1 技术可行性分析

英语学习规划系统存储所使用的mysql数据库以及开发中所使用的IDEA、Tomcat这些开发工具的使用,能够给我们的编写工作带来许多的便利。系统使用springboot框架进行开发,使系统的可扩展性和维护性更佳,减少java配置代码,简化编程代码,目前springboot框架也是很多企业选择的框架之一。

2.1.2 操作可行性分析

总体来严,该APP的操作设计和逻辑设计还是比较简单的。因为总体的设计目标只是包括数据的读取等基本内容。而且,就目前使用的客户一般都是用户和管理人员,都是有较高文化的一群人和学习能力较强的人。但是还是要把系统的操作设计得尽量简单,比如学习专区、每日规划编辑、打卡提醒、在线测试等功能,比如用户的登录和登出功能等,都需要尽量的简单,这样让网站用户更容易上手。针对管理员的操作,这边需要指出,是需要一定的理解的,比如学习专区管理,每周计划管理、每日打卡管理、打卡提醒管理、在线测试以及成绩管理的设定,比如各类信息的添加和修改等,还是需要一定的计算机基本认识,如有需要,可以对其进行简单的介绍或者培训。

2.1.3 经济可行性分析

在开发英语学习规划系统中所使用的开发软件像IDEA开发工具、Tomcat8.0服务器、MySQL5.7数据库、Photoshop图片处理软件等,这些都是开源免费的,并且英语学习规划系统是自己设计并编码实现的,数据库是使用流行mysql进行数据的存储,开源的mysql等技术的使用,减少系统开发费用。

2.2功能需求分析

英语学习规划系统的主要目的分为三个。

首先:可以通过该APP可以很好的整合英语学习资料相关信息。以前通过传统的课程学习方式有个最大的问题就是信息查询、交流方式繁琐,而且各种信息容易丢死,有了这样一个英语学习规划系统,那么则可以很容易的把所有的学习资料都放到数据库中,如果再对数据库进行备份处理,那么这样就可以很好的对学习专区学习资料进行保存。

其次:英语学习规划系统提供了一个用户进行学习规划制定的功能,用户可以通过注册获取一个帐户,在线进行学习专区学习,自己制定每周的学习规划等,还有打卡提醒的功能。

再次:该APP需要很好的功能扩充性和可维护性。由于该APP是涉及的用户比较多,对管理员来说同样也是一个信息管理网站,包括用户信息,资讯信息,学习专区、成绩信息等。而且,随着用户数量的增加,必然对程序的更新迭代要求更高,所有在开发的时候就需要注意程序的可维护性和可拓展性。

2.3用例分析

英语学习规划系统中的管理员角色主要负责了如下功能操作。

(1)资源管理功能需求:资源管理包括了新闻资讯、资讯分类、在线测试三部分,管理员可以对这三部分进行添加,修改,删除和查询等。

(2)用户管理功能需求:用户管理部分包括了管理员,系统用户两部分,管理员可以对这两部分进行添加,修改,删除以及查询等。

(3)交流管理功能需求:交流管理部分包括了提问专区、专区分类两部分,管理员可以对其进行管控。

(4)模块管理功能需求:模块管理主要实现了学习专区、每周计划、每日打卡、打卡提醒、成绩信息、学习建议、学习评价管理的功能,管理员可以进行维护管理操作。

 

图2-1管理员角色用例图

英语学习规划系统中的前台用户角色主负责了如下功能操作。

(1)用户查看系统信息功能需求:用户可以通过系统首页查看英语学习规划系统信息,包括首页,新闻资讯,学习专区,每周规划,每日打卡,打卡提醒在线测试、成绩信息查询等模块。

(2)用户登录与注册功能需求:用户可以通过注册获取帐户。

(3)新闻资讯功能需求:用户登录APP以后,是可以对新闻资讯进行查看、评论等操作。

(4)学习专区功能需求:用户登录APP以后,是可以进行对学习专区的学习资料信息进行查看,进行学习收藏操作。

(5)每周计划功能需求:用户登录APP以后,是可以进行个人每周英语学习计划编辑。

(6)每日打卡功能需求:用户登录APP以后,是可以进行每日英语学习打卡记录的。

(7)打卡提醒功能需求:用户登录APP以后,有学习打卡提醒。

(8)在线测试功能需求:用户可以在线进行英语水平测试然后提交。

(9)成绩信息功能需求:用户可以在线进行英语测试成绩查询等。

(10)学习建议功能需求:用户可以提交学习建议计划等内容。

 

图2-2 前台用户角色用例图

3系统总体设计

3.1 系统开发架构的选择

app可以通过浏览器来规避很多问题,依靠浏览器让项目的开发变得简单,不再担心项目的版本跟新带来的数据传输等一系列的问题。值得注意的是B/S架构的项目,浏览器与服务器的数据的交互是通过http协议进行的,同样,服务器与数据库的数据交互也是通过http协议,统一的格式让信息的交互更加的简便与快捷。下图是具体的b/s架构图:

 

                                                   图3-1 系统B/S结构

3.1系统功能模块设计

英语学习规划系统的整体架构确定以后,再来看英语学习规划系统的主要功能模块图。整体的功能模块包括前台和后台,前台只要实现用户注册登录,主要的页面,包括首页,新闻资讯,学习专区、每周计划、每日打卡、打卡提醒、在线测试、成绩查询、学习评价、学习建议等页面。后台的模块主要实现了管理员用户,有资源管理、交流管理、系统用户管理、模块管理等。确定了模块以后,再设计各个模块的功能特点,方便抽取出各个模块的公共部分来。

图3.1英语学习规划系统功能模块图

 

3.1.1 前台页面设计

本英语学习规划系统的前台页面所有的页面设计主要是上中下的结构,这样的好处是让所有的页面更加的整洁。主题的页面颜色采用淡色为主,为突出页面的美观。主页面上分为导航栏,导航栏的每个导航项目设计为一张jsp页面,除此之外,还有就是用户中心页面,后台管理的页面了。后台管理页面已简单的上下结构为主。

3.1.2 用户模块设计

(1)用户模块结构图

本网站的用户包括管理员,系统用户两模块。两种用户模块的功能基本是相同的,系统用户模块比管理员多了一个注册功能,所以以用户模块的结构图为例进行分析,如下图:

 

图3.2用户模块结构图

(2)各个结构的具体业务逻辑

a.查询用户信息:设计最基础的查询功能,主要就是根据用户id查询用户信息。该功能主要体现在管理员用户信息查询和用户自己查询信息的时候。

b.修改用户信息:用户可以根据情况,对自己的基本信息进行修改,包括名字修改、密码修改、头像修改等操作。

c.增加用户:用户可以通过注册来获得账号

d.删除用户信息:管理员没有权利进行删除信息的删除,最多把用户加入到黑名单中,禁止用户进行登录操作。

3.1.3 价建议管理模块设计

(1)评价建议模块结构图

英语学习规划系统也是一个带有交流性质的APP,用户和用户之间可以对网站上的内容,比如资讯等进行点评,发布学习评价以及反馈学习建议等,增加用户之间的互动性。但是同时也为了更好的规范内容,给予管理员维护管理权限,具体的结构图如下:

 

图3.3评价建议模块结构图

(2)各个结构的具体业务逻辑

a.查询评价建议:设计最基础的查询功能,主要就是根据用户id查询该用户下的所有评价建议信息。

b.发布评价建议:用户可以根据情况,发布自己学习评价建议信息到系统上。

c.回复评价建议:管理员没有权限修改用户的评价建议信息,但是可以进行回复。

3.1.4学习专区管理模块设计

(1)学习专区模块结构图

英语学习规划系统是中需要存储不少英语学习知识点信息,用户可以查看学习知识点,进行学习以及在线测试,管理员可以添加,修改,删除学习专区信息,进行测试以及成绩管理等,具体的结构图如下:

 

图3.4学习专区模块结构图

(2)各个结构的具体业务逻辑

a.添加知识点:管理员可以对知识点进行添加。

b.修改知识点:管理员可以对知识点进行修改。

c.删除知识点:管理员可以对知识点进行删除。

d.英语测试:用户可以在线进行英语测试。

e.测试成绩:管理员对用户的测试成绩进行管理,用户可以进行成绩查看。

3.2数据库设计

3.2.1数据库概要设计

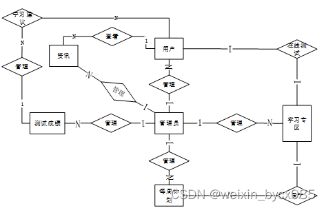
英语学习规划系统根据上面的E-R实体图,就再找到实体与实体之间的关系来,制作总的E-R图,实体之间的关系一共有4种,也就是一对一,多对一,一对多和多对多,总的E-R图是设计数据库表格的依据,如下图是网站的总E-R图。

 

图3.5系统总体E-R图

3.2.2数据库逻辑设计

根据上面的E-R图,继而设计数据库表格,注意的是数据库表格遵从三范式标准,这样以后操作也会更加简单一些。

系统的各个数据库表如下。

表3.1 system_user

名称

类型

长度

不是null

主键

注释

system_user_id

int

11

系统用户ID

user_no

varchar

64

用户编号

user_name

varchar

64

用户姓名

gender

varchar

64

性别

examine_state

varchar

16

审核状态

recommend

int

11

智能推荐

user_id

int

11

用户ID

create_time

datetime

0

创建时间

update_time

timestamp

0

更新时间

表3.2 learning_zone

名称

类型

长度

不是null

主键

注释

learning_zone_id

int

11

学习专区ID

study_title

varchar

64

学习标题

cover

varchar

255

封面

knowledge_points

varchar

64

知识点

learning_video

varchar

255

学习视频

enclosure

varchar

255

附件

details

text

0

详情说明

praise_len

int

11

点赞数

recommend

int

11

智能推荐

timer_title

varchar

64

计时器标题

timing_start_time

datetime

0

计时开始时间

timing_end_time

datetime

0

计时结束时间

create_time

datetime

0

创建时间

update_time

timestamp

0

更新时间

表3.3 clock_in_every_day

名称

类型

长度

不是null

主键

注释

clock_in_every_day_id

int

11

每日打卡ID

plan_no

varchar

64

计划编号

plan_name

varchar

64

计划名称

cover

varchar

255

封面

label_classification

varchar

64

标签分类

plan_content

text

0

计划内容

user_no

int

11

用户编号

user_name

varchar

64

用户姓名

clock_in_time

datetime

0

打卡时间

clock_in_today

varchar

64

今日打卡

achieve_goals

varchar

64

完成目标

learning_notes

varchar

64

学习备注

recommend

int

11

智能推荐

user_id

int

11

用户ID

create_time

datetime

0

创建时间

update_time

timestamp

0

更新时间

表3.4 clock_in_reminder

名称

类型

长度

不是null

主键

注释

clock_in_reminder_id

int

11

打卡提醒ID

plan_no

varchar

64

计划编号

plan_name

varchar

64

计划名称

cover

varchar

255

封面

label_classification

varchar

64

标签分类

plan_content

text

0

计划内容

user_no

int

11

用户编号

user_name

varchar

64

用户姓名

reminder_date

date

0

提醒日期

examine_state

varchar

16

审核状态

examine_reply

varchar

16

审核回复

recommend

int

11

智能推荐

create_time

datetime

0

创建时间

update_time

timestamp

0

更新时间

表3.5 exam_question

名称

类型

长度

不是null

主键

注释

exam_question_id

mediumint

8

测试题目

type

varchar

20

类型

title

varchar

255

题目

question_item

varchar

500

选项

answer

varchar

500

参考答案

score

double

8

总分

question_order

int

11

排序

exam_id

mediumint

8

所属试卷

create_time

timestamp

0

创建时间:

update_time

timestamp

0

更新时间:

表3.6 score_information

名称

类型

长度

不是null

主键

注释

score_information_id

int

11

成绩信息ID

test_paper_name

varchar

64

试卷名

test_score

int

11

考试分数

user_no

int

11

用户编号

release_date

date

0

发布日期

recommend

int

11

智能推荐

create_time

datetime

0

创建时间

update_time

timestamp

0

更新时间

表3.7 learning_evaluation

名称

类型

长度

不是null

主键

注释

learning_evaluation_id

int

11

学习评价ID

plan_no

varchar

64

计划编号

plan_name

varchar

64

计划名称

cover

varchar

255

封面

label_classification

varchar

64

标签分类

plan_content

text

0

计划内容

user_no

int

11

用户编号

user_name

varchar

64

用户姓名

evaluation_date

date

0

评价日期

evaluation_grade

varchar

64

评价等级

recommend

int

11

智能推荐

create_time

datetime

0

创建时间

update_time

timestamp

0

更新时间

表3.8 learning_suggestions

名称

类型

长度

不是null

主键

注释

learning_suggestions_id

int

11

学习建议ID

plan_no

varchar

64

计划编号

plan_name

varchar

64

计划名称

cover

varchar

255

封面

label_classification

varchar

64

标签分类

plan_content

text

0

计划内容

user_no

int

11

用户编号

user_name

varchar

64

用户姓名

learning_method

text

0

学习方法

learning_video

varchar

255

学习视频

recommend

int

11

智能推荐

create_time

datetime

0

创建时间

update_time

timestamp

0

更新时间

4系统详细实现

英语学习规划系统的详细设计与实现主要是根据前面的英语学习规划系统的需求分析和英语学习规划系统的总体设计来设计页面并实现业务逻辑。主要从英语学习规划系统界面实现、业务逻辑实现这两部分进行介绍。

4.1 APP前台功能实现

4.1.1 APP主页功能实现

用户进入首页之后会显示如下的一个窗口。系统以上中下的布局进行展示,首先映入眼帘的是系统的导航栏,下面是轮播图,再往下是各种各样的新闻资讯,其主界面展示如下图4.1所示。

如下图:

 

图4.1英语学习规划系统主界面

由于该项目只是用来测试,用户登录首页展示的图片等数据有的是从项目本地拿到的,有的则是从数据库中获取的。页面中的搜索部分,页头部分等都是属于公共样式,可以进行公告样式的抽取,然后再引入到jsp页面中。

4.1.2用户注册登录功能实现

不是英语学习规划系统中正式用户的是可以在线进行注册的,当用户点击右上角的“注册”的时候,,当填写上自己的账号+密码+确认密码+昵称+邮箱+手机号+选择身份登信息后,后再点击“注册”按钮后将会先验证输入的有没有空数据,再次验证密码和确认密码是否是一样的,最后验证输入的账户名和数据库表中已经注册的账户名是否重复,只有都验证没问题后即可注册成功。用户注册界面展示如下图4.2所示。

 

图4.2英语学习规划系统用户注册界面

系统用户注册关键代码如下。

/**

     * 注册

     * @param user

     * @return

     */

    @PostMapping("register")

    public Map<String, Object> signUp(@RequestBody User user) {

        // 查询用户

        Map<String, String> query = new HashMap<>();

        query.put("username",user.getUsername());

        List list = service.select(query, new HashMap<>()).getResultList();

        if (list.size()>0){

            return error(30000, "用户已存在");

        }

        user.setUserId(null);

        user.setPassword(service.encryption(user.getPassword()));

        service.save(user);

        return success(1);

}

/**

     * 用户ID:[0,8388607]用户获取其他与用户相关的数据

     */

    @Id

    @GeneratedValue(strategy = GenerationType.IDENTITY)

    @Column(name = "user_id")

    private Integer userId;

    /**

     * 账户状态:[0,10](1可用|2异常|3已冻结|4已注销)

     */

    @Basic

    @Column(name = "state")

    private Integer state;

    /**

     * 所在用户组:[0,32767]决定用户身份和权限

     */

    @Basic

    @Column(name = "user_group")

    private String userGroup;

    /**

     * 上次登录时间:

     */

    @Basic

    @Column(name = "login_time")

    private Timestamp loginTime;

    /**

     * 手机号码:[0,11]用户的手机号码,用于找回密码时或登录时

     */

    @Basic

    @Column(name = "phone")

    private String phone;

    /**

     * 手机认证:[0,1](0未认证|1审核中|2已认证)

     */

    @Basic

    @Column(name = "phone_state")

    private Integer phoneState;

    /**

     * 用户名:[0,16]用户登录时所用的账户名称

     */

    @Basic

    @Column(name = "username")

    private String username;

    /**

     * 昵称:[0,16]

     */

    @Basic

    @Column(name = "nickname")

    private String nickname;

    /**

     * 密码:[0,32]用户登录所需的密码,由6-16位数字或英文组成

     */

    @Basic

    @Column(name = "password")

    private String password;

    /**

     * 邮箱:[0,64]用户的邮箱,用于找回密码时或登录时

     */

    @Basic

    @Column(name = "email")

    private String email;

    /**

     * 邮箱认证:[0,1](0未认证|1审核中|2已认证)

     */

    @Basic

    @Column(name = "email_state")

    private Integer emailState;

    /**

     * 头像地址:[0,255]

     */

    @Basic

    @Column(name = "avatar")

    private String avatar;

    /**

     * 创建时间:

     */

    @Basic

    @Column(name = "create_time")

    @JsonFormat(pattern = "yyyy-MM-dd HH:mm:ss")

    private Timestamp createTime;

    @Basic

    @Transient

    private String code;

}

4.2.3 登录功能实现

英语学习规划系统中的前台上注册后的用户是可以通过自己的账户名和密码进行登录的,当用户输入完整的自己的账户名和密码信息并点击“登录”按钮后,将会首先验证输入的有没有空数据,再次验证输入的账户名+密码和数据库中当前保存的用户信息是否一致,只有在一致后将会登录成功并自动跳转到英语学习规划系统的首页中;否则将会提示相应错误信息,用户登录界面如下图4.3所示。

 

图4.3英语学习规划系统登录界面

登录关键代码如下。

/**

     * 登录

     * @param data

     * @param httpServletRequest

     * @return

     */

    @PostMapping("login")

    public Map<String, Object> login(@RequestBody Map<String, String> data, HttpServletRequest httpServletRequest) {

        log.info("[执行登录接口]");

        String username = data.get("username");

        String email = data.get("email");

        String phone = data.get("phone");

        String password = data.get("password");

        List resultList = null;

        Map<String, String> map = new HashMap<>();

        if(username != null && "".equals(username) == false){

            map.put("username", username);

            resultList = service.select(map, new HashMap<>()).getResultList();

        }

        else if(email != null && "".equals(email) == false){

            map.put("email", email);

            resultList = service.select(map, new HashMap<>()).getResultList();

        }

        else if(phone != null && "".equals(phone) == false){

            map.put("phone", phone);

            resultList = service.select(map, new HashMap<>()).getResultList();

        }else{

            return error(30000, "账号或密码不能为空");

        }

        if (resultList == null || password == null) {

            return error(30000, "账号或密码不能为空");

        }

        //判断是否有这个用户

        if (resultList.size()<=0){

            return error(30000,"用户不存在");

        }

        User byUsername = (User) resultList.get(0);

        Map<String, String> groupMap = new HashMap<>();

        groupMap.put("name",byUsername.getUserGroup());

        List groupList = userGroupService.select(groupMap, new HashMap<>()).getResultList();

        if (groupList.size()<1){

            return error(30000,"用户组不存在");

        }

        UserGroup userGroup = (UserGroup) groupList.get(0);

        //查询用户审核状态

        if (!StringUtils.isEmpty(userGroup.getSourceTable())){

            String sql = "select examine_state from "+ userGroup.getSourceTable() +" WHERE user_id = " + byUsername.getUserId();

            String res = String.valueOf(service.runCountSql(sql).getSingleResult());

            if (res==null){

                return error(30000,"用户不存在");

            }

            if (!res.equals("已通过")){

                return error(30000,"该用户审核未通过");

            }

        }

        //查询用户状态

        if (byUsername.getState()!=1){

            return error(30000,"用户非可用状态,不能登录");

        }

        String md5password = service.encryption(password);

        if (byUsername.getPassword().equals(md5password)) {

            // 存储Token到数据库

            AccessToken accessToken = new AccessToken();

            accessToken.setToken(UUID.randomUUID().toString().replaceAll("-", ""));

            accessToken.setUser_id(byUsername.getUserId());

            tokenService.save(accessToken);

            // 返回用户信息

            JSONObject user = JSONObject.parseObject(JSONObject.toJSONString(byUsername));

            user.put("token", accessToken.getToken());

            JSONObject ret = new JSONObject();

            ret.put("obj",user);

            return success(ret);

        } else {

            return error(30000, "账号或密码不正确");

        }

}

4.2.4每周计划功能实现

用户登录后可以进行英语学习每周规划编辑然后提交,用户每周规划编辑提交界面如图4.4所示:

 

图4.4英语学习规划系统用户每周计划编辑界面

每周计划关键代码如下所示。

@PostMapping("/add")

    @Transactional

    public Map<String, Object> add(HttpServletRequest request) throws IOException {

        service.insert(service.readBody(request.getReader()));

        return success(1);

    }

    @Transactional

    public Map<String, Object> addMap(Map<String,Object> map){

        service.insert(map);

        return success(1);

}

    public Map<String,Object> readBody(BufferedReader reader){

        BufferedReader br = null;

        StringBuilder sb = new StringBuilder("");

        try{

            br = reader;

            String str;

            while ((str = br.readLine()) != null){

                sb.append(str);

            }

            br.close();

            String json = sb.toString();

            return JSONObject.parseObject(json, Map.class);

        }catch (IOException e){

            e.printStackTrace();

        }finally{

            if (null != br){

                try{

                    br.close();

                }catch (IOException e){

                    e.printStackTrace();

                }

            }

        }

        return null;

}

    public void insert(Map<String,Object> body){

        StringBuffer sql = new StringBuffer("INSERT INTO ");

        sql.append("`").append(table).append("`").append(" (");

        for (Map.Entry<String,Object> entry:body.entrySet()){

            sql.append("`"+humpToLine(entry.getKey())+"`").append(",");

        }

        sql.deleteCharAt(sql.length()-1);

        sql.append(") VALUES (");

        for (Map.Entry<String,Object> entry:body.entrySet()){

            Object value = entry.getValue();

            if (value instanceof String){

                sql.append("'").append(entry.getValue()).append("'").append(",");

            }else {

                sql.append(entry.getValue()).append(",");

            }

        }

        sql.deleteCharAt(sql.length() - 1);

        sql.append(")");

        log.info("[{}] - 插入操作:{}",table,sql);

        Query query = runCountSql(sql.toString());

        query.executeUpdate();

    }

4.2.5学习专区功能实现

用户在学习专区界面可以查看英语学习资料信息,点击进入详细界面,可以进行知识点了解等,具体的实现界面如下图4.5所示:

 

图4.5学习专区界面

学习专区关键代码如下所示。

@PostMapping("/upload")

    public Map<String, Object> upload(@RequestParam("file") MultipartFile file) {

        log.info("进入方法");

        if (file.isEmpty()) {

            return error(30000, "没有选择文件");

        }

        try {

            //判断有没路径,没有则创建

            String filePath = System.getProperty("user.dir") + "\\target\\classes\\static\\upload\\";

            File targetDir = new File(filePath);

            if (!targetDir.exists() && !targetDir.isDirectory()) {

                if (targetDir.mkdirs()) {

                    log.info("创建目录成功");

                } else {

                    log.error("创建目录失败");

                }

            }

            String fileName = file.getOriginalFilename();

            File dest = new File(filePath + fileName);

            log.info("文件路径:{}", dest.getPath());

            log.info("文件名:{}", dest.getName());

            file.transferTo(dest);

            JSONObject jsonObject = new JSONObject();

            jsonObject.put("url", "/api/upload/" + fileName);

            return success(jsonObject);

        } catch (IOException e) {

            log.info("上传失败:{}", e.getMessage());

        }

        return error(30000, "上传失败");

}

4.2.6在线测试功能实现

当用户点击导航栏“在线测试”后可以进行英语测试,具体的实现界面如下图4.6所示:

 

图4.6在线测试界面

在线测试关键代码如下所示。

@RequestMapping("/get_list")

    public Map<String, Object> getList(HttpServletRequest request) {

        Map<String, Object> map = service.selectToPage(service.readQuery(request), service.readConfig(request));

        return success(map);

4.2.7成绩信息功能实现

当用户点击导航栏“成绩信息”后可以查看到测试成绩信息的列表,具体的实现界面如下图4.7所示:

 

图4.7成绩信息界面

4.2 APP后台功能实现

4.2.1后台管理员登录功能实现

英语学习规划系统中的后台的管理员是可以通过自己的账户名和密码进行登录的,当管理员输入完整的自己的账户名和密码信息并点击“登录”按钮后,将会首先验证输入的有没有空数据,再次验证输入的账户名+密码和数据库中当前保存的用户信息是否一致,只有在一致后将会登录成功并自动跳转到英语学习规划系统的首页中;否则将会提示相应错误信息,管理员登录界面如下图4.8所示。

 

图4.8后台管理员登录界面

4.2.2用户管理功能实现

管理员在用户管理模块,可以对用户信息进行管理,用户管理模块由管理员,系统用户两部分组成组成,这里以用户管理为例,具体的实现界面如下图4.9所示:

 

图4.9用户管理界面

4.2.3交流管理功能实现

管理员点击“交流管理”这一按钮就会展示其下子菜单提问专区与专区分类,选择“提问专区”以后就会显示出提问信息列表等,具体的实现界面如下图4.10所示:

 

图4.10提问专区管理界面

提问专区管理关键代码如下所示。

@RequestMapping("/get_obj")

    public Map<String, Object> obj(HttpServletRequest request) {

        Query select = service.select(service.readQuery(request), service.readConfig(request));

        List resultList = select.getResultList();

        if (resultList.size() > 0) {

            JSONObject jsonObject = new JSONObject();

            jsonObject.put("obj",resultList.get(0));

            return success(jsonObject);

        } else {

            return success(null);

        }

}

 public Query select(Map<String,String> query,Map<String,String> config){

        StringBuffer sql = new StringBuffer("select ");

        sql.append(config.get(FindConfig.FIELD) == null || "".equals(config.get(FindConfig.FIELD)) ? "*" : config.get(FindConfig.FIELD)).append(" ");

        sql.append("from ").append("`").append(table).append("`").append(toWhereSql(query, "0".equals(config.get(FindConfig.LIKE))));

        if (config.get(FindConfig.GROUP_BY) != null && !"".equals(config.get(FindConfig.GROUP_BY))){

            sql.append("group by ").append(config.get(FindConfig.GROUP_BY)).append(" ");

        }

        if (config.get(FindConfig.ORDER_BY) != null && !"".equals(config.get(FindConfig.ORDER_BY))){

            sql.append("order by ").append(config.get(FindConfig.ORDER_BY)).append(" ");

        }

        if (config.get(FindConfig.PAGE) != null && !"".equals(config.get(FindConfig.PAGE))){

            int page = config.get(FindConfig.PAGE) != null && !"".equals(config.get(FindConfig.PAGE)) ? Integer.parseInt(config.get(FindConfig.PAGE)) : 1;

            int limit = config.get(FindConfig.SIZE) != null && !"".equals(config.get(FindConfig.SIZE)) ? Integer.parseInt(config.get(FindConfig.SIZE)) : 10;

            sql.append(" limit ").append( (page-1)*limit ).append(" , ").append(limit);

        }

        log.info("[{}] - 查询操作,sql: {}",table,sql);

        return runEntitySql(sql.toString());

    }

4.2.4每日打卡管理功能实现

管理员在“模块管理”界面的子菜单下可以管理“每日打卡”,管理员能够对每日打卡进行增删改查,具体的实现界面如下图4.11所示:

 

图4.11每日打卡管理界面

每日打卡管理关键代码如下所示。

@RequestMapping(value = {"/count_group", "/count"})

    public Map<String, Object> count(HttpServletRequest request) {

        Query count = service.count(service.readQuery(request), service.readConfig(request));

        return success(count.getResultList());

}

4.2.5成绩信息管理功能实现

管理员在“模块管理”界面的子菜单下可以管理“成绩信息”,可以进行增删改查操作,具体的实现界面如下图4.12所示:

 

图4.12成绩信息管理界面

成绩信息管理关键代码如下所示。

@RequestMapping(value = {"/avg_group", "/avg"})

public Map<String, Object> avg(HttpServletRequest request) {

        Query count = service.avg(service.readQuery(request), service.readConfig(request));

        return success(count.getResultList());

}

4.2.6学习评价管理功能实现

管理员在“模块管理”界面的子菜单下点击“学习评价”就是显示出所有的用户学习评价列表信息,具体的实现界面如下图4.13所示:

 

图4.13学习评价管理界面

5系统测试

5.1 系统测试目的

系统开发到了最后一个阶段那就是系统测试,系统测试对软件的开发其实是非常有必要的。因为没什么系统一经开发出来就可能会尽善尽美,再厉害的系统开发工程师也会在系统开发的时候出现纰漏,系统测试能够较好的改正一些bug,为后期系统的维护性提供很好的支持。通过系统测试,开发人员也可以建立自己对系统的信心,为后期的系统版本的跟新提供支持。

5.2 系统可用性测试

系统的可用性测试是测试网站最基本的功能,比如鼠标点击是否可用,页面跳转是否正常等。下面是具体的测试结果。

表5-1英语学习规划系统可用性测试

测试项

测试人员评价

窗口移动、改变大小、关闭等操作是否正常

操作模块是否友好

模块和提示内容等文字描述是否正确

模块布局是否合理、协调

模块的状态是否正确(对选中项能否发生对应切换)

键盘、鼠标操作是否支持

所需的数据项是否正确显示

操作流程是否合理

是否提供帮助信息

5.3 系统典型测试用例

对系统的主要页面和功能点的测试用例如下:

(1) 用户登陆系统测试用例如表 5-2 所示。

表5-2用户登录系统测试用例

用例名称

用户登录系统

目的

测试用户通过正确的用户名和密码可否登录功能

前提

未登录的情况下

测试流程

1) 进入登录页面

2) 输入正确的用户名和密码

预期结果

用户名和密码正确的时候,跳转到登录成功界面,反之则显示错误信息,提示重新输入

实际结果

实际结果与预期结果一致

(2)新闻资讯信息测试用例如表 5-3 所示

表5-3 新闻资讯测试用例

用例名称

新闻资讯

目的

测试新闻资讯功能

前提

测试流程

打开新闻资讯界面

预期结果

可以进行查看新闻资讯详细

实际结果

实际结果与预期结果一致

(3)评价建议试用例如表 5-4所示

表5-4评价建议测试用例

用例名称

评价建议

目的

测试评价建议模块功能

前提

测试流程

用户在评价建议区进行评价建议编辑操作。

预期结果

评价建议提交以后,可以查看到自己的评价建议信息

实际结果

实际结果与预期结果一致

(4)学习专区添加信息测试用例如表 5-5 所示

表5-5 学习专区添加测试用例

用例名称

学习专区添加

目的

测试学习专区添加功能

前提

测试流程

管理员点击学习专区添加,输入知识点信息等

预期结果

提交后可以查看学习专区信息,前台显示学习专区信息

实际结果

实际结果与预期结果一致

(5)在线测试用例如表 5-6 所示

表5-6 在线测试用例

用例名称

在线测试

目的

测试功能

前提

测试流程

用户选择测试,点击答题

预期结果

进入答题界面进行答题

实际结果

实际结果与预期结果一致

5.4 测试总结

通过系统的调试,能够检测项目的稳定性,为项目正式运行、稳定运行提供了可预测性的维护备案。能够帮助用户熟悉整个项目,并对项目可能出现的错误有所了解。本文提供了部分调试用例及调试日志,可以帮助用户解决简单的错误问题,也加深了开发者对于此框架下的项目编写的了解度,为后期开发者顺利完成项目、发布项目提供了非常大的帮助。

总结

本次设计中,我还学会了很多,例如良好的编程思想和完善的规划思想。在着手编程之前需要罗列出程序框架的大概,脑海中构建出程序的主题框架。做好这一步我们才能胸有成竹的经行开发项目。当设计框架了熟于心之后,需要思考本次编程所需的主要知识点和技术点,并充分学习。如此一来项目的开发才能循序渐进、如丝般顺滑,长久以往就能养成良好的开发习惯。一个程序好不好还要看出的bug多不多,如果在项目完成前做好bug的查验与预防可能发生的事故才能保证程序的稳定长久性运行。如果项目在完工后出现各种问题自己,那么在进入社会后,不仅会给公司团队带来麻烦和增加不必要的工作,还会导致客户流失,公司对自己的评价下降。

在本次项目中我也暴露了诸多问题。对于Java的编程知识有所欠缺,环境配置和算法上出现诸多问题,时常导致项目运行出错,或者目标的实现有问题。或者实现想法时算法未优化,使得代码冗长,程序运行不顺畅。

参考文献

  1. 刘志.大学生应用学习类APP现状调查研究[J/OL].中国教育技术装备:1-4[2022-12-13].
  2. 杨梅.基于“随行课堂APP”的泛在学习在高职英语教学中的应用[J].新课程研究,2022(30):31-33.

[3]刘健.软件工程技术在系统软件开发中的应用[J].互联网周刊,2022(20):38-40.

[4]赵青.应用语言学在英语词汇教学中的应用研究[J].海外英语,2022(19):82-83+91.

[5]韦艳丽,李子纯,杨国霞.基于福格行为模型的英语学习类App劝导设计研究[J].设计艺术研究,2022,12(05):80-85+103.

[6]谭奕,龙娟.非英语专业大学生的英语学习App调查研究[J].海外英语,2022(18):131-132+135.

[7]贾梦琦.基于知识库的自适应英语学习系统研究[J].信息技术,2022(08):33-37.

[8]李慧娟,谷现海.基于手机App的初中生英语移动学习现状调查研究[J].英语广场,2022(24):133-136.

[9]杨敏,李伊茹.中介论和内化论视角下的英语词汇学习APP有效性研究[J].英语教师,2022,22(14):43-48.

[10]赵俊.基于Android系统的英语阅读移动学习APP设计[J].自动化技术与应用,2022,41(06):154-156.

[11]杨阳.“英语趣配音”APP在英语口语学习中的应用[J].英语画刊(高中版),2022(18):52-54.

[12]闫旭,郝强.基于用户体验的英语学习类App情况调查——以太原学院为例[J].林区教学,2022(05):74-77.

[13]赵书田.基于Android平台的移动英语学习系统设计[J].电子测试,2020(19):84-85+103.

[14]张孟琳.基于移动终端与互联网技术的英语学习系统设计[J].信息记录材料,2019,20(11):200-201.

[15]李望秀,李华新.基于情境感知的移动英语学习系统的设计与应用[J].软件导刊(教育技术),2019,17(10):67-69..

致  谢

至此论文结束,感谢您的阅读。在此我要感谢我的导师,虽然我在实习期间很忙,论文撰写总是停停改改,但是导师依然十分负责,时不时的询问我的任务进展情况,跟进我的论文进度。虽然我在实习期间很忙,以至于很晚才开始进行论文撰写和编写程序的工作,但是在指导老师的帮助下,我逐步完成了自己的论文和程序,从导师身上也学习到很多知识,和经验,这些知识和经验令我受益匪浅。也从导师身上看到了自己的不足,不论是在即使层面上还是在对待工作的态度上,倒数如同明镜一般照出了我的缺点我的不足。此外,我还要感谢在我实习期间在论文和程序上帮助过我的同学和社会人士,此前我对于框架及JQuery和BootSatrp方面的一些知识还不了解,是他们在我编写程序过程中给了我很多的启发和感想,也帮助了我对于程序的调试和检测。没有他们我是不能顺利完成本次毕业设计的。至此,我的毕业设计就花上了一个圆满的句号了。

免费领取项目源码,请关注●点赞收藏并私信博主,谢谢-

这篇关于springboot+Mysql 英语学习规划系统app计算机毕业设计源码77524的文章就介绍到这儿,希望我们推荐的文章对编程师们有所帮助!



http://www.chinasem.cn/article/671658

相关文章

Java中Map的五种遍历方式实现与对比

《Java中Map的五种遍历方式实现与对比》其实Map遍历藏着多种玩法,有的优雅简洁,有的性能拉满,今天咱们盘一盘这些进阶偏基础的遍历方式,告别重复又臃肿的代码,感兴趣的小伙伴可以了解下... 目录一、先搞懂:Map遍历的核心目标二、几种遍历方式的对比1. 传统EntrySet遍历(最通用)2. Lambd

SQL Server 中的表进行行转列场景示例

《SQLServer中的表进行行转列场景示例》本文详细介绍了SQLServer行转列(Pivot)的三种常用写法,包括固定列名、条件聚合和动态列名,文章还提供了实际示例、动态列数处理、性能优化建议... 目录一、常见场景示例二、写法 1:PIVOT(固定列名)三、写法 2:条件聚合(CASE WHEN)四、

Spring Boot 中 RestTemplate 的核心用法指南

《SpringBoot中RestTemplate的核心用法指南》本文详细介绍了RestTemplate的使用,包括基础用法、进阶配置技巧、实战案例以及最佳实践建议,通过一个腾讯地图路线规划的案... 目录一、环境准备二、基础用法全解析1. GET 请求的三种姿势2. POST 请求深度实践三、进阶配置技巧1

springboot+redis实现订单过期(超时取消)功能的方法详解

《springboot+redis实现订单过期(超时取消)功能的方法详解》在SpringBoot中使用Redis实现订单过期(超时取消)功能,有多种成熟方案,本文为大家整理了几个详细方法,文中的示例代... 目录一、Redis键过期回调方案(推荐)1. 配置Redis监听器2. 监听键过期事件3. Redi

Spring Boot 处理带文件表单的方式汇总

《SpringBoot处理带文件表单的方式汇总》本文详细介绍了六种处理文件上传的方式,包括@RequestParam、@RequestPart、@ModelAttribute、@ModelAttr... 目录方式 1:@RequestParam接收文件后端代码前端代码特点方式 2:@RequestPart接

SpringBoot整合Zuul全过程

《SpringBoot整合Zuul全过程》Zuul网关是微服务架构中的重要组件,具备统一入口、鉴权校验、动态路由等功能,它通过配置文件进行灵活的路由和过滤器设置,支持Hystrix进行容错处理,还提供... 目录Zuul网关的作用Zuul网关的应用1、网关访问方式2、网关依赖注入3、网关启动器4、网关全局变

SpringBoot全局异常拦截与自定义错误页面实现过程解读

《SpringBoot全局异常拦截与自定义错误页面实现过程解读》本文介绍了SpringBoot中全局异常拦截与自定义错误页面的实现方法,包括异常的分类、SpringBoot默认异常处理机制、全局异常拦... 目录一、引言二、Spring Boot异常处理基础2.1 异常的分类2.2 Spring Boot默

基于SpringBoot实现分布式锁的三种方法

《基于SpringBoot实现分布式锁的三种方法》这篇文章主要为大家详细介绍了基于SpringBoot实现分布式锁的三种方法,文中的示例代码讲解详细,感兴趣的小伙伴可以跟随小编一起学习一下... 目录一、基于Redis原生命令实现分布式锁1. 基础版Redis分布式锁2. 可重入锁实现二、使用Redisso

SpringBoot的全局异常拦截实践过程

《SpringBoot的全局异常拦截实践过程》SpringBoot中使用@ControllerAdvice和@ExceptionHandler实现全局异常拦截,@RestControllerAdvic... 目录@RestControllerAdvice@ResponseStatus(...)@Except

Springboot配置文件相关语法及读取方式详解

《Springboot配置文件相关语法及读取方式详解》本文主要介绍了SpringBoot中的两种配置文件形式,即.properties文件和.yml/.yaml文件,详细讲解了这两种文件的语法和读取方... 目录配置文件的形式语法1、key-value形式2、数组形式读取方式1、通过@value注解2、通过