本文主要是介绍火线对决,希望对大家解决编程问题提供一定的参考价值,需要的开发者们随着小编来一起学习吧!
大家应该看过最强大脑吧!
在《最强大脑第五季》第三场国际赛中国战队 V S VS VS日本战队的比赛中 ,杨英豪迎战伊泽拓司 ,双方比拼的项目就是火线对决
比赛规则为:
拿最简单的题来说, 20 20 20个节点组成了 50 50 50条线,选手需要拖动节点使每条线都不相交,用时短的选手获胜。
现在只要你能够完成就行了
虽然我弄了好久……
但还是没弄出来……
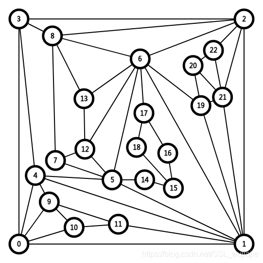
我这里是有 22 22 22个节点组成了 47 47 47条线
我这里提供一个网站:https://csacademy.com/app/graph_editor/
把以下共 47 47 47行复制到 G r a p h D a t a Graph Data GraphData里面
(复制上去后,先固定一下所有点(点一下点后,圈就会变粗,代表已经固定了),否则你固定一个跑掉一个)
(记得把先把 G r a p h D a t a Graph Data GraphData里的清掉)
( N o d e C o u n t Node Count NodeCount里可以不用写)
0 1
1 2
2 3
0 3
4 0
3 4
4 1
5 4
5 1
2 6
7 8
8 6
8 3
7 5
0 9
4 9
9 10
9 11
11 1
10 11
10 0
2 8
7 12
12 6
12 13
13 8
13 6
6 5
12 5
14 5
1 6
14 15
15 16
16 17
17 18
18 15
17 6
6 19
19 1
19 20
20 21
20 22
22 2
21 1
21 19
21 2
21 22
如果还想要的话,可以在评论栏里向我要,或是与我私聊!
答案

两天后
其实有很多摆法使他们无法相交
(只要不相交,一切答案都成立)
这不,我就找出了另一种摆法


这篇关于火线对决的文章就介绍到这儿,希望我们推荐的文章对编程师们有所帮助!