深度学习之前馈神经网络(前向传播和误差反向传播)

2024-01-22 20:08

本文主要是介绍深度学习之前馈神经网络(前向传播和误差反向传播),希望对大家解决编程问题提供一定的参考价值,需要的开发者们随着小编来一起学习吧!

转自:https://www.cnblogs.com/Luv-GEM/p/10694471.html

这篇文章主要整理三部分内容,一是常见的三种神经网络结构:前馈神经网络、反馈神经网络和图网络;二是整理前馈神经网络中正向传播、误差反向传播和梯度下降的原理;三是梯度消失和梯度爆炸问题的原因及解决思路。

一、神经网络结构

目前比较常用的神经网络结构有如下三种:

1、前馈神经网络

前馈神经网络中,把每个神经元按接收信息的先后分为不同的组,每一组可以看做是一个神经层。每一层中的神经元接收前一层神经元的输出,并输出到下一层神经元。整个网络中的信息是朝着一个方向传播的,没有反向的信息传播(和误差反向传播不是一回事),可以用一个有向无环图来表示。

前馈神经网络包括全连接前馈神经网络和卷积神经网络。

前馈神经网络可以看做是一个函数,通过简单非线性函数的多次复合,实现输入空间到输出空间的复杂映射。

2、反馈神经网络

反馈神经网络中神经元不但可以接收其他神经元的信号,而且可以接收自己的反馈信号。和前馈神经网络相比,反馈神经网络中的神经元具有记忆功能,在不同时刻具有不同的状态。反馈神经网络中的信息传播可以是单向也可以是双向传播,因此可以用一个有向循环图或者无向图来表示。

常见的反馈神经网络包括循环神经网络、Hopfield网络和玻尔兹曼机。

而为了进一步增强记忆网络的记忆容量,可以映入外部记忆单元和读写机制,用来保存一些网络的中间状态,称为记忆增强网络,比如神经图灵机。

3、图网络

前馈神经网络和反馈神经网络的输入都可表示为向量或者向量序列,但实际应用中很多数据都是图结构的数据,比如知识图谱、社交网络和分子网络等。这时就需要用到图网络来进行处理。

图网络是定义在图结构数据上的神经网络,图中每个结点都由一个或者一组神经元组成。结点之前的连接可以是有向的,也可以是无向的。每个结点可以收到来自相邻结点或自身的信息。

以下是这三种神经网络结构的示意图:

 

二、前馈神经网络

在前馈神经网络(Feedforward Neural Network, FNN )中,每一层的神经元可以接收前一层神经元的信号,并产生信号输出到下一层。第0层叫做输入层,最后一层叫做输出层,其他中间层叫做隐藏层。整个网络中无反馈,信号从输入层向输出层单向传播,可用一个有向无环图表示。

多层前馈神经网络的图示如下:

1、前馈神经网络的前向传播

用下面的记号来描述一个前馈神经网络:

前馈神经网络通过下面公式进行信息传播:

样前馈神经网络通过逐层的信息传递,得到网络最后的输出a(L)。整个网络可以看做是一个复合函数,将向量x作为第1层的输入a(0),将第L层的输出a(L)作为整个函数的输出。

 2、前馈神经网络的梯度下降法

神经网络具有极其强大的拟合能力,可以作为一个万能函数来使用,通过进行复杂的特征转换,可以以任意精度来近似任何一个有界闭集函数。

类似于其他机器学习算法求解参数的数值计算方法,我们首先考虑用梯度下降法来进行参数学习。

如果采用交叉熵损失函数,对于样本(x,y),其损失函数为:

其中y∈{0, 1}C是标签y对应的one-hot向量表示,C是类别的个数。

给定训练集D={(x(1), y(1)),(x(2), y(2)),...,(x(N), y(N))},将每个样本x(n)输入给前馈神经网络,得到神经网络的输出后,其在训练集D上的结构化风险函数为:

其中W和b分别表示网络中所有的权重矩阵和偏置向量。是正则化项,公式为:

然后用梯度下降法来进行学习。在梯度下降法的每次迭代中,第l层的参数W(l)和b(l)的参数更新方式为:

梯度下降法需要计算损失函数对参数的偏导数,如果用链式法则对每个参数逐一求偏导,涉及到矩阵微分,效率比较低。所以在神经网络中经常使用反向传播算法来高效地计算梯度。

3、前馈神经网络的误差反向传播算法

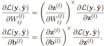
假设给定一个样本(x,y),将其输入到神经网络模型中,得到损失函数为:,如果要采用梯度下降法对神经网络的参数进行学习,那么就要计算损失函数关于每个参数的导数。

我们就拿第l层中的参数矩阵W(l)和b(l)为例,计算损失函数对参数矩阵的偏导数。但因为的计算涉及到矩阵微分,非常繁琐,于是我们先计算W(l)中某个元素的偏导数。根据链式法则有:

上面两个公式中的第二项都是目标函数关于第l层的神经元z(l)的偏导数,称为误差项。那么我们需要计算三个偏导数:

(1)计算偏导数

由于z(l)和Wij(l)的函数关系为,所以偏导数为

 其中Wi:(l)为权重矩阵W(l)的第i行。

(2)计算偏导数

因为z(l)与b(l)的函数关系为,因此偏导数是一个维度是m(l) × m(l) 的单位矩阵。

 (3)计算误差项

用δ(l)来定义第l层神经元的误差项,它用来表示第l层神经元对最终损失的影响,也反映了最终损失对第l层神经元的敏感程度。

根据链式法则,第l层的误差项为:

首先根据,其中fl(•)是按位计算的函数,计算的偏导数如下。diag(•)表示对角矩阵。

然后根据,有:

于是第l层的误差项δ(l)最终表示为:

其中⊙表示向量的点积运算符,表示每个元素相乘。

上面这个公式就是误差的反向传播公式!因为第l层的误差项可以通过第l+1层的误差项计算得到。反向传播算法的含义是:第l层的一个神经元的误差项等于该神经元激活函数的梯度,再乘上所有与该神经元相连接的第l+1层的神经元的误差项的权重和。

再回到开头求两个参数的公式:

里面的三个偏导数都已经求出来了。于是可以求出:

进一步,损失函数关于第l层权重W(l)梯度为:

而损失函数关于第l层偏置b(l)的梯度为:

于是在利用误差反向传播算法计算出每一层的误差项后,就可以得到每一层参数的梯度。

基于误差反向传播算法(backpropagation,BP)的前馈神经网络训练过程可以分为以下三步:

1、在前向传播时计算每一层的净输入z(l)和激活值a(l),直至最后一层;

2、用误差反向传播计算每一层的误差项 δ(l);

3、计算每一层参数的偏导数,并更新参数。

使用随机梯度下降的误差反向传播算法的具体训练过程如下:

 

三、梯度消失和梯度爆炸

训练神经网络,尤其是深度神经网络时,面临的一个问题是梯度消失或者梯度爆炸,也就是神经元上的梯度会变得非常小或者非常大,从而加大训练的难度。

1、原理

梯度消失(Vanishing Gradient Problem,或称梯度弥散)的意思是,在误差反向传播的过程中,误差经过每一层传递都会不断衰减,当网络层数很深时,神经元上的梯度也会不断衰减,导致前面的隐含层神经元的学习速度慢于后面隐含层上的神经元。

在上面我们得到了神经网络中误差反向传播的迭代公式:

误差从输出层反向传播时,在每一层都要乘以该层的激活函数的导数,如果导数的值域小于1,甚至如Sigmoid函数在两端的饱和区导数趋于0,那么梯度就会不断衰减甚至消失。

与之相对的问题是梯度爆炸(Exploding Gradient Problem),也就是前面层中神经元的梯度变得非常大。与梯度消失不太一样的是,梯度爆炸通常产生于过大的权重W。

总结一下就是:梯度消失通常出现在深层网络和采用了不合适的损失函数(sigmoid)的情形,梯度爆炸一般出现在深层网络和权值初始化值太大的情况下。

2、举例

可以通过一个例子来更好的理解这两个问题。来看一个简单的深度神经网络:每一层都只有一个神经元。如下图是有三层隐含层的神经网络:

这里w表示权重,b是偏置值,C是代价函数。然后通过计算代价函数关于第一个隐含神经元的偏置的梯度,以及关于第三个隐含神经元偏置的梯度,来考察梯度消失和梯度爆炸问题。

经过推导可得梯度的公式:

 

(1)梯度消失

首先看公式中的导数σ'(z)。激活函数如果采用Sigmoid函数,则其导数为:,也就是说导数的最大值为0.25。

其次看公式中的权重w。如果用均值为0标准差为1的高斯分布来初始化网络的权重,那么所有的权重会满足|wj|<1。

那么就会与wjσ'(zj)<0.25,于是梯度公式中所有项相乘时,梯度以指数级下降;神经网络的层数越深,梯度的值下降得更快。

然后再与第三个隐含神经元的梯度进行对比,如下图。可见前面的神经元的偏置的梯度是后面的1/16甚至更小。所以梯度消失产生的原因主要就是激活函数的导数值太小。

 

(2)梯度爆炸

梯度爆炸的一个原因是网络的权重设置得过大,比如在上图中,让wj=100 。然后选择偏置使得σ'(zj)项不会太小,比如σ'(zj)=0.25,那么wjσ'(zj)=25。代入上面的梯度公式中,可以看到梯度以25的指数级增大,神经网络的层数越深,梯度越大。这就带来了梯度爆炸的问题。

 3、解决

那么如何解决梯度消失和梯度爆炸的问题呢?

一般用以下几种方法来解决梯度消失和梯度爆炸的问题。

(1)对于梯度消失问题,可以选择导数比较大的激活函数,比如ReLU激活函数。

Sigmoid函数和Tanh函数都属于两端饱和型激活函数,使用这两种激活函数的神经网络,在训练过程中梯度通常会消失,因此可以选择其他激活函数来替代。

ReLU激活函数在正数部分的导数恒为1,每层网络都可以得到相同的更新速度,因此在深层网络中不会产生梯度消失和梯度爆炸的问题。

2)对于梯度爆炸问题,可以采取梯度截断和权重正则化的方法。

梯度截断这个方案主要是针对梯度爆炸提出的,其思想是设置一个梯度截断阈值,然后在更新梯度的时候,如果梯度超过这个阈值,那么就将其强制限制在这个范围之内。

权重正则化就是在损失函数中,加入对网络的权重进行惩罚的正则化项,比如权重的L1正则化或者L2正则化。如果发生梯度爆炸,权值的范数会变得非常大,通过正则化项进行惩罚,可以限制权重的值,从而减轻梯度爆炸的问题。

(3)选择更好的随机初始化权重的方法。

一是对每个权重都进行随机初始化,尽量让每个权重都不同,使不同神经元之间的区分性更好。

二是选择合适的随机初始化权重的区间,不能太小,也不能太大。一般而言,参数初始化的区间应该根据神经元的性质进行差异化的设置,如果一个神经元的输入连接很多,那么每个输入连接上的权重要小一些,以避免神经元的输出过大(当激活函数为ReLU时,但输出为正时导数都是1)或者过饱和(当激活函数为Sigmoid函数时,梯度会接近于0)

此外,还有Batchnorm(batch normalization)的方法,留待以后探究。

 

参考资料:

1、邱锡鹏:《神经网络与深度学习》

2、Michael Nielsen:《Neural Network and Deep Learning》

这篇关于深度学习之前馈神经网络(前向传播和误差反向传播)的文章就介绍到这儿,希望我们推荐的文章对编程师们有所帮助!



http://www.chinasem.cn/article/634101

相关文章

Java中Redisson 的原理深度解析

《Java中Redisson的原理深度解析》Redisson是一个高性能的Redis客户端,它通过将Redis数据结构映射为Java对象和分布式对象,实现了在Java应用中方便地使用Redis,本文... 目录前言一、核心设计理念二、核心架构与通信层1. 基于 Netty 的异步非阻塞通信2. 编解码器三、

Java HashMap的底层实现原理深度解析

《JavaHashMap的底层实现原理深度解析》HashMap基于数组+链表+红黑树结构,通过哈希算法和扩容机制优化性能,负载因子与树化阈值平衡效率,是Java开发必备的高效数据结构,本文给大家介绍... 目录一、概述:HashMap的宏观结构二、核心数据结构解析1. 数组(桶数组)2. 链表节点(Node

Java 虚拟线程的创建与使用深度解析

《Java虚拟线程的创建与使用深度解析》虚拟线程是Java19中以预览特性形式引入,Java21起正式发布的轻量级线程,本文给大家介绍Java虚拟线程的创建与使用,感兴趣的朋友一起看看吧... 目录一、虚拟线程简介1.1 什么是虚拟线程?1.2 为什么需要虚拟线程?二、虚拟线程与平台线程对比代码对比示例:三

Python函数作用域与闭包举例深度解析

《Python函数作用域与闭包举例深度解析》Python函数的作用域规则和闭包是编程中的关键概念,它们决定了变量的访问和生命周期,:本文主要介绍Python函数作用域与闭包的相关资料,文中通过代码... 目录1. 基础作用域访问示例1:访问全局变量示例2:访问外层函数变量2. 闭包基础示例3:简单闭包示例4

深度解析Python中递归下降解析器的原理与实现

《深度解析Python中递归下降解析器的原理与实现》在编译器设计、配置文件处理和数据转换领域,递归下降解析器是最常用且最直观的解析技术,本文将详细介绍递归下降解析器的原理与实现,感兴趣的小伙伴可以跟随... 目录引言:解析器的核心价值一、递归下降解析器基础1.1 核心概念解析1.2 基本架构二、简单算术表达

深度解析Java @Serial 注解及常见错误案例

《深度解析Java@Serial注解及常见错误案例》Java14引入@Serial注解,用于编译时校验序列化成员,替代传统方式解决运行时错误,适用于Serializable类的方法/字段,需注意签... 目录Java @Serial 注解深度解析1. 注解本质2. 核心作用(1) 主要用途(2) 适用位置3

Java MCP 的鉴权深度解析

《JavaMCP的鉴权深度解析》文章介绍JavaMCP鉴权的实现方式,指出客户端可通过queryString、header或env传递鉴权信息,服务器端支持工具单独鉴权、过滤器集中鉴权及启动时鉴权... 目录一、MCP Client 侧(负责传递,比较简单)(1)常见的 mcpServers json 配置

Maven中生命周期深度解析与实战指南

《Maven中生命周期深度解析与实战指南》这篇文章主要为大家详细介绍了Maven生命周期实战指南,包含核心概念、阶段详解、SpringBoot特化场景及企业级实践建议,希望对大家有一定的帮助... 目录一、Maven 生命周期哲学二、default生命周期核心阶段详解(高频使用)三、clean生命周期核心阶

深度剖析SpringBoot日志性能提升的原因与解决

《深度剖析SpringBoot日志性能提升的原因与解决》日志记录本该是辅助工具,却为何成了性能瓶颈,SpringBoot如何用代码彻底破解日志导致的高延迟问题,感兴趣的小伙伴可以跟随小编一起学习一下... 目录前言第一章:日志性能陷阱的底层原理1.1 日志级别的“双刃剑”效应1.2 同步日志的“吞吐量杀手”

Unity新手入门学习殿堂级知识详细讲解(图文)

《Unity新手入门学习殿堂级知识详细讲解(图文)》Unity是一款跨平台游戏引擎,支持2D/3D及VR/AR开发,核心功能模块包括图形、音频、物理等,通过可视化编辑器与脚本扩展实现开发,项目结构含A... 目录入门概述什么是 UnityUnity引擎基础认知编辑器核心操作Unity 编辑器项目模式分类工程