本文主要是介绍论文学习---Resource allocation in EE URLLC in Relay System,希望对大家解决编程问题提供一定的参考价值,需要的开发者们随着小编来一起学习吧!
Title:Resource Allocation in Energy-Efficient URLLC Multi-user Multicarrier AF Relay Networks
Author:Keshav Singh†, Meng-Lin Ku‡, and Mark F. Flanagan†
学习目标:
系统架构:多用户多载波AF系统
性能指标:最大化能效
方法:联合优化发射功率,子载波配对及分配,
约束:误解码概率,总发射功率,子载波配对
数学问题:非凸问题及其转化
仿真结论:the impact of various system parameters on EE
Introduction
Relay: improving the EE and spectral efficiency (SE) as well as extending coverage area。
multicarrier(MC) transmission:enhance the multiuser system capacity and reliability by exploiting the multi-user/MC diversity and flexibility in the resource allocation.
Systme Model
-
Symbols used
K:URLLC paired users,S = {S1, S2, . . . , SK} and D = {D1, D2, . . . , DK},
M:numbers of subcarriers used for transmission in each hop
Pmax: maximum transmission power budget
Channel: Rayleigh fading
Lk: information bits for k-th user
dk:a block code of length dk symbos,same for all users as d
单天线,无直传链路,半双工
h k m h_k^m hkm: channel coefficient between user Sk and the relay node ont the m-th subcarrier
x k m [ n ] x_k^m[n] xkm[n]:symbol transmitted by Sk on the m-th subcarrier with nomalized mean. -
received signal
at the relay node

at the receiver by user Dk on subcarrier m ′ m' m′

α m ′ [ n ] \alpha^{m'}[n] αm′[n]:amplification factor

-
SINR

-
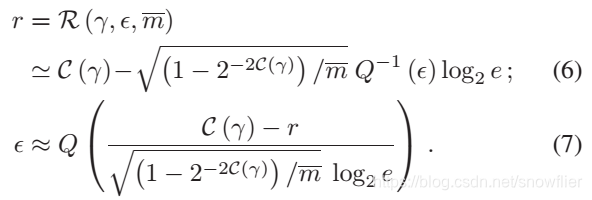
Achievable Rate
approximation for the real AWGN channel with FBL coding
γ \gamma γ :SNR
ϵ \epsilon ϵ:decoding error probability
m ‾ \overline{m} m:blocklength
C ( γ ) = l o g 2 ( 1 + γ ) C(\gamma)=log_2{(1+\gamma)} C(γ)=log2(1+γ)
complex quasi-static fading channel

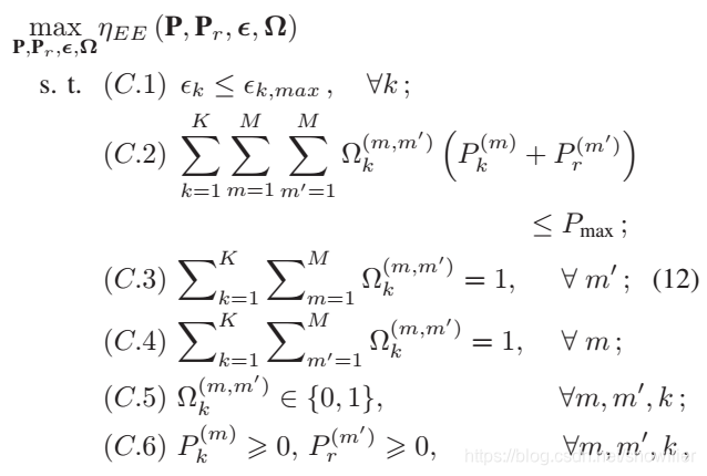
Problem Fromaulation
Target: maximum the EE(throuput over power)
- Throughput
minimize the interference terms-----adopt a subcarrier pairing and allocation approach
Ω k ( m , m ′ ) ∈ 0 , 1 \Omega_k^{(m,m')}\in{0,1} Ωk(m,m′)∈0,1 : binary variable for subcarrier pairing and allocation, if it is 1 , which means the m-th subcarrier in MA phase is paired with m’-th subcarrier in BC phase and assigned to the k-th user.
achieva ble rate of the k-th user pair


1/2—require two phases
P k = { P k ( m ) } \bold P_k=\{P_k{(m)}\} Pk={Pk(m)} P r = { P r ( m ′ ) } \bold P_r=\{P_r{(m')}\} Pr={Pr(m′)} Ω = { Ω k ( m , m ′ ) } \bold \Omega=\{\Omega_k{(m,m')}\} Ω={Ωk(m,m′)}
ϵ k \epsilon_k ϵk:PEP of the k-th user pair
Throughput:

- Power consumption
Transmit power(depends on channel conditions,cell coverages…)+processing power+circuit power(static power,depends on the number of antennas)

- Problem formulation


Nmerical Results
- Simulation parameters
maximum number of iterations:Lmax=15
transmit power budget:Pmax=15dBm
covergence tolerance: 1 0 − 5 10^{-5} 10−5
bandwidth of each subcarrier:15kHz
path loss model: 35.3 + 37.6 ∗ l o g 10 ( d ) 35.3+37.6*log_{10}(d) 35.3+37.6∗log10(d),where d=100m
static power consumption:PST=10dBm
thermal noise density:-174dBm
ϵ k , m a x = 1 0 − 5 \epsilon_{k,max}=10^{-5} ϵk,max=10−5 or 1 0 − 7 10^{-7} 10−7




这篇关于论文学习---Resource allocation in EE URLLC in Relay System的文章就介绍到这儿,希望我们推荐的文章对编程师们有所帮助!