本文主要是介绍用matlab求均匀带电圆环在空间任意一点的电场强度,希望对大家解决编程问题提供一定的参考价值,需要的开发者们随着小编来一起学习吧!
|
|
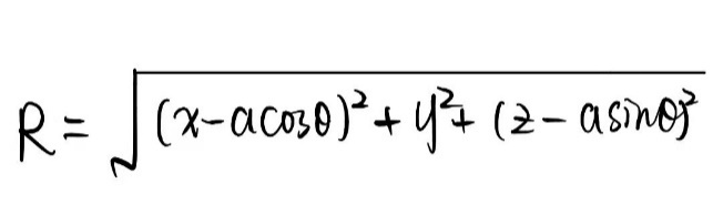
建立如图所示的坐标系,圆环在xoz平面内,在B点处的电荷元dL所带电量为dq,到达A点的距离为R,在空间A点产生的电势为

其中,

a为带电圆环半径;θ为电荷元dL的位置矢量与Ox轴的夹角,则整个带点圆环在A点产生的电势为

计算出空间任一点的电势后根据电场强度与电势的关系

即可得到空间任意点的电场强度
部分代码如下
function[v,ex,ey,ez] = dianchang
a=1 %设圆环半径为1
pi=3.1415926
[X,Y,Z]=meshgrid(-2:0.08:2);
for k=1:41
phi = pi/20*(k-1);
r=sqrt((X-a*cos(phi)).^2+Y.^2+(Z-a*sin(phi)).^2);
dv(:,:,:,k)=1./(2*pi.*r);
v=pi/20*trapz(dv,4);
[ex,ey,ez]=gradient(-v,0.08);
end
quiver3(X,Y,Z,ex,ey,ez)
这篇关于用matlab求均匀带电圆环在空间任意一点的电场强度的文章就介绍到这儿,希望我们推荐的文章对编程师们有所帮助!
