本文主要是介绍2021-09-10ESSM, CVR预估到底要预估什么,希望对大家解决编程问题提供一定的参考价值,需要的开发者们随着小编来一起学习吧!
二、Model
介绍ESMM之前,我们还是先来思考一个问题——“CVR预估到底要预估什么”,论文虽未明确提及,但理解这个问题才能真正理解CVR预估困境的本质。想象一个场景,一个item,由于某些原因,例如在feeds中的展示头图很丑,它被某个user点击的概率很低,但这个item内容本身完美符合这个user的偏好,若user点击进去,那么此item被user转化的概率极高。CVR预估模型,预估的正是这个转化概率,它与CTR没有绝对的关系,很多人有一个先入为主的认知,即若user对某item的点击概率很低,则user对这个item的转化概率也肯定低,这是不成立的。更准确的说,CVR预估模型的本质,不是预测“item被点击,然后被转化”的概率(CTCVR),而是“假设item被点击,那么它被转化”的概率(CVR)。这就是不能直接使用全部样本训练CVR模型的原因,因为咱们压根不知道这个信息:那些unclicked的item,假设他们被user点击了,它们是否会被转化。如果直接使用0作为它们的label,会很大程度上误导CVR模型的学习。
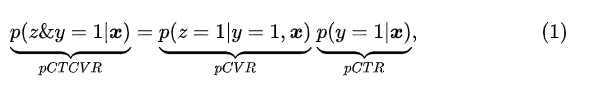
认识到点击(CTR)、转化(CVR)、点击然后转化(CTCVR)是三个不同的任务后,我们再来看三者的关联:

其中 分别表示conversion和click。注意到,在全部样本空间中,CTR对应的label为click,而CTCVR对应的label为click & conversion,这两个任务是可以使用全部样本的。那为啥不绕个弯,通过这学习两个任务,再根据上式隐式地学习CVR任务呢?ESMM正是这么做的,具体结构如下:

图1. ESMM网络结构
仔细观察上图,留意以下几点:1)共享Embedding CVR-task和CTR-task使用相同的特征和特征embedding,即两者从Concatenate之后才学习各自部分独享的参数;2)隐式学习pCVR 啥意思呢?这里pCVR(粉色节点)仅是网络中的一个variable,没有显示的监督信号。
具体地,反映在目标函数中:
这篇关于2021-09-10ESSM, CVR预估到底要预估什么的文章就介绍到这儿,希望我们推荐的文章对编程师们有所帮助!