本文主要是介绍乐优商城注册登陆鉴权流程图 及相关面试题整理,希望对大家解决编程问题提供一定的参考价值,需要的开发者们随着小编来一起学习吧!
用户注册流程

用户登陆流程

用户登出流程图

用户登陆验证流程图

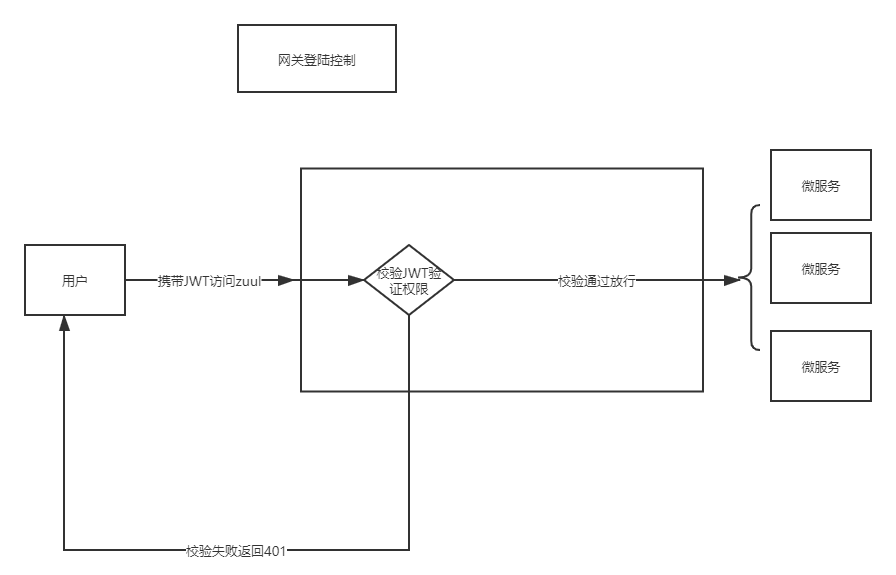
网关登陆控制流程图

面试题:
1. JWT的3W1H
①jwt的3w1h是什么?
jwt 简称Json web Token 是json风格轻量级的授权和身份认证规范,可以实现无状态 分布式的web应用授权
②jwt分为3部分:
1).header 头部 声明这是jwt 和选用的签名算法
2) .payload 载荷 就是有效数据 我们存放了jwr的id 用户信息 过期时间
3). signature: 签名 是整个数据的认证信息 一般根据前两步的数据 在加上服务的秘钥,通过加密算法生成 用于验证整数据完整 和可靠性
2. 为什么使用jwt的sw1h?
因为我们使用springcloud 搭建的微服务架构 想使用jwt 来做无状态登陆 使用jwr + rsa 加密算法生成token 客户端保存token信息 服务器端不在保存用户的登陆状态
3. 在哪里用?
一般用于授权和权限认证
4. 怎么用?
引入maven的依赖
创建一个jwt的工具类
使用私钥加密token
公钥解密token
获取token的user信息
获取token的载荷信
这篇关于乐优商城注册登陆鉴权流程图 及相关面试题整理的文章就介绍到这儿,希望我们推荐的文章对编程师们有所帮助!